Номер 3.28, страница 155 - гдз по алгебре 7 класс учебник Арефьева, Пирютко

Алгебра, 7 класс Учебник, авторы: Арефьева Ирина Глебовна, Пирютко Ольга Николаевна, издательство Народная асвета, Минск, 2022, зелёного цвета

Авторы: Арефьева И. Г., Пирютко О. Н.

Тип: Учебник

Издательство: Народная асвета

Год издания: 2022 - 2026

Цвет обложки: зелёный с графиком

ISBN: ISBN 978-985-03-3770-2

Допущено Министерством образования Республики Беларусь

Глава 3. Линейные уравнения. Линейные неравенства. Линейная функция. Параграф 15. Линейные уравнения с одной переменной - номер 3.28, страница 155.

№3.28 (с. 155)
Условие. №3.28 (с. 155)
скриншот условия
Алгебра, 7 класс Учебник, авторы: Арефьева Ирина Глебовна, Пирютко Ольга Николаевна, издательство Народная асвета, Минск, 2022, зелёного цвета, страница 155, номер 3.28, Условие

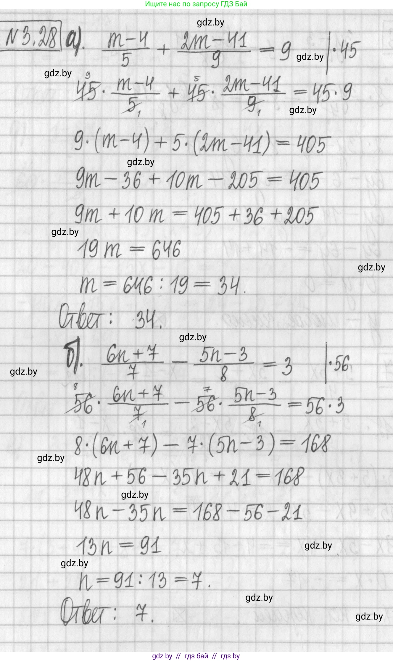
3.28. Найдите значение переменной, при котором:

a) сумма значений выражений $\frac{m-4}{5}$ и $\frac{2m-41}{9}$ равна 9;

б) значение выражения $\frac{6n+7}{7}$ на 3 больше значения выражения $\frac{5n-3}{8}$.

Решение. №3.28 (с. 155)
Алгебра, 7 класс Учебник, авторы: Арефьева Ирина Глебовна, Пирютко Ольга Николаевна, издательство Народная асвета, Минск, 2022, зелёного цвета, страница 155, номер 3.28, Решение
Решение 2. №3.28 (с. 155)

а) сумма значений выражений $\frac{m-4}{5}$ и $\frac{2m-41}{9}$ равна 9

Чтобы найти значение переменной $m$, составим уравнение на основе условия задачи:

$\frac{m-4}{5} + \frac{2m-41}{9} = 9$

Для решения уравнения избавимся от знаменателей, умножив обе части уравнения на наименьшее общее кратное чисел 5 и 9, которое равно 45:

$45 \cdot \left(\frac{m-4}{5}\right) + 45 \cdot \left(\frac{2m-41}{9}\right) = 9 \cdot 45$

$9(m-4) + 5(2m-41) = 405$

Раскроем скобки:

$9m - 36 + 10m - 205 = 405$

Приведем подобные слагаемые в левой части уравнения:

$19m - 241 = 405$

Перенесем -241 в правую часть уравнения, изменив знак на противоположный:

$19m = 405 + 241$

$19m = 646$

Найдем $m$, разделив обе части на 19:

$m = \frac{646}{19}$

$m = 34$

Ответ: 34.

б) значение выражения $\frac{6n+7}{7}$ на 3 больше значения выражения $\frac{5n-3}{8}$

Составим уравнение согласно условию: если одно значение на 3 больше другого, то их разность равна 3.

$\frac{6n+7}{7} - \frac{5n-3}{8} = 3$

Для решения уравнения избавимся от знаменателей, умножив обе части на наименьшее общее кратное чисел 7 и 8, которое равно 56:

$56 \cdot \left(\frac{6n+7}{7}\right) - 56 \cdot \left(\frac{5n-3}{8}\right) = 3 \cdot 56$

$8(6n+7) - 7(5n-3) = 168$

Раскроем скобки. Обратите внимание на знак "минус" перед второй дробью:

$48n + 56 - 35n + 21 = 168$

Приведем подобные слагаемые в левой части уравнения:

$13n + 77 = 168$

Перенесем 77 в правую часть уравнения, изменив знак на противоположный:

$13n = 168 - 77$

$13n = 91$

Найдем $n$, разделив обе части на 13:

$n = \frac{91}{13}$

$n = 7$

Ответ: 7.

Помогло решение? Оставьте отзыв в комментариях ниже.

Присоединяйтесь к Телеграм-группе @gdz_by_belarus

Присоединиться

Мы подготовили для вас ответ c подробным объяснением домашего задания по алгебре за 7 класс, для упражнения номер 3.28 расположенного на странице 155 к учебнику 2022 года издания для учащихся школ и гимназий.

Теперь на нашем сайте ГДЗ.ТОП вы всегда легко и бесплатно найдёте условие с правильным ответом на вопрос «Как решить ДЗ» и «Как сделать» задание по алгебре к упражнению №3.28 (с. 155), авторов: Арефьева (Ирина Глебовна), Пирютко (Ольга Николаевна), учебного пособия издательства Народная асвета.