Номер 3.21, страница 154 - гдз по алгебре 7 класс учебник Арефьева, Пирютко

Алгебра, 7 класс Учебник, авторы: Арефьева Ирина Глебовна, Пирютко Ольга Николаевна, издательство Народная асвета, Минск, 2022, зелёного цвета

Авторы: Арефьева И. Г., Пирютко О. Н.

Тип: Учебник

Издательство: Народная асвета

Год издания: 2022 - 2026

Цвет обложки: зелёный с графиком

ISBN: ISBN 978-985-03-3770-2

Допущено Министерством образования Республики Беларусь

Глава 3. Линейные уравнения. Линейные неравенства. Линейная функция. Параграф 15. Линейные уравнения с одной переменной - номер 3.21, страница 154.

№3.21 (с. 154)
Условие. №3.21 (с. 154)
скриншот условия
Алгебра, 7 класс Учебник, авторы: Арефьева Ирина Глебовна, Пирютко Ольга Николаевна, издательство Народная асвета, Минск, 2022, зелёного цвета, страница 154, номер 3.21, Условие

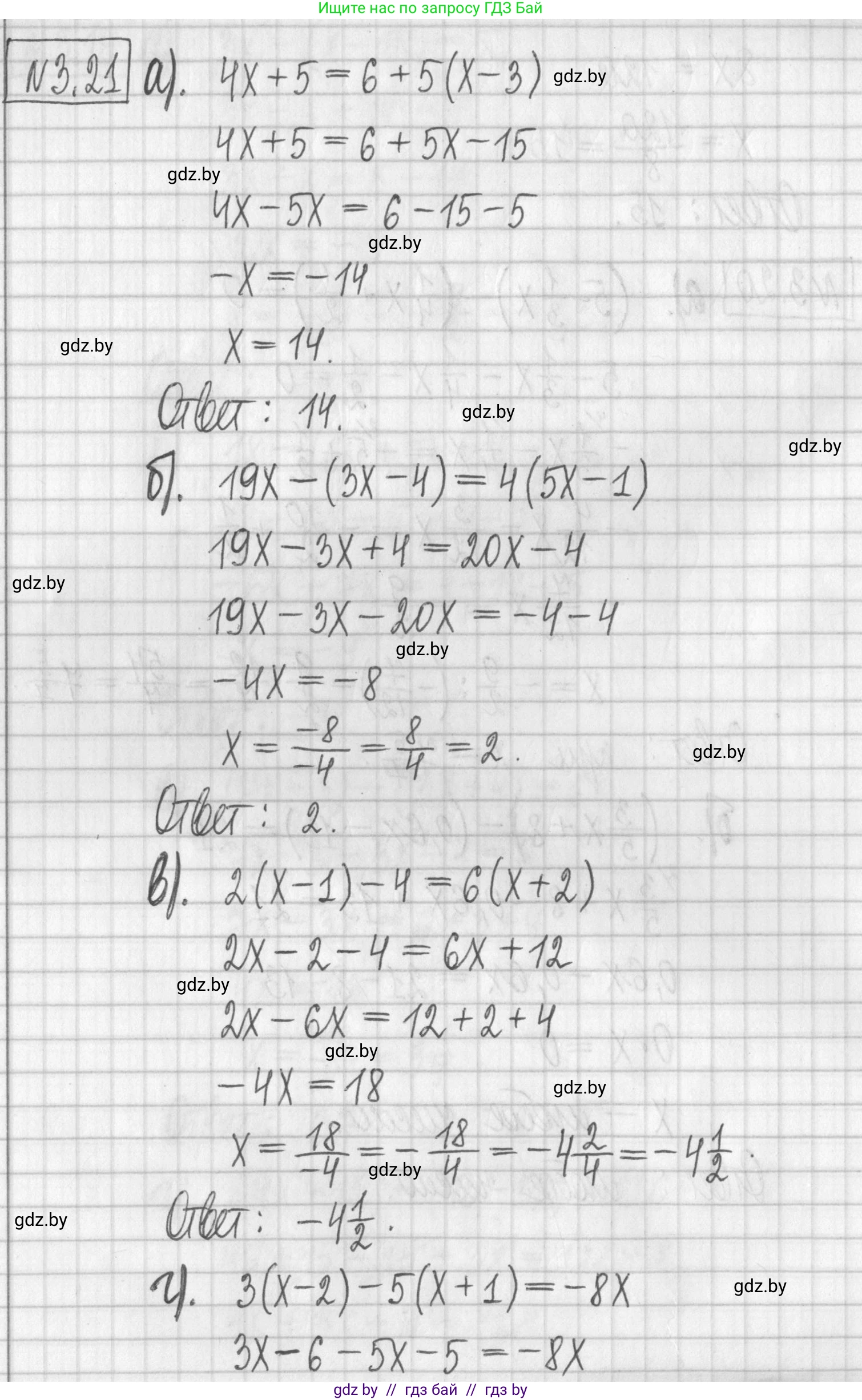
3.21. Решите уравнение:

а) $4x + 5 = 6 + 5(x - 3);$

б) $19x - (3x - 4) = 4(5x - 1);$

в) $2(x - 1) - 4 = 6(x + 2);$

г) $3(x - 2) - 5(x + 1) = -8x;$

д) $4(x + 1) = 15x - 7(2x + 5);$

е) $5x + 8 + 2(6 - x) = 1 - 3(2x - 3);$

ж) $3(2x - \frac{1}{3}) - 2(x + \frac{1}{2}) = 4x.$

Решение. №3.21 (с. 154)
Алгебра, 7 класс Учебник, авторы: Арефьева Ирина Глебовна, Пирютко Ольга Николаевна, издательство Народная асвета, Минск, 2022, зелёного цвета, страница 154, номер 3.21, Решение Алгебра, 7 класс Учебник, авторы: Арефьева Ирина Глебовна, Пирютко Ольга Николаевна, издательство Народная асвета, Минск, 2022, зелёного цвета, страница 154, номер 3.21, Решение (продолжение 2)
Решение 2. №3.21 (с. 154)

а) $4x + 5 = 6 + 5(x - 3)$

Раскроем скобки в правой части уравнения:

$4x + 5 = 6 + 5x - 15$

Приведем подобные слагаемые в правой части:

$4x + 5 = 5x - 9$

Перенесем слагаемые с переменной $x$ в одну сторону, а числовые слагаемые в другую. Для этого вычтем $4x$ из обеих частей и прибавим 9 к обеим частям:

$5 + 9 = 5x - 4x$

$14 = x$

Ответ: $14$

б) $19x - (3x - 4) = 4(5x - 1)$

Раскроем скобки в обеих частях уравнения. Обратим внимание, что перед скобкой в левой части стоит знак минус, поэтому знаки слагаемых внутри скобки изменятся на противоположные.

$19x - 3x + 4 = 20x - 4$

Приведем подобные слагаемые в левой части:

$16x + 4 = 20x - 4$

Перенесем слагаемые с переменной $x$ в одну сторону, а числовые слагаемые в другую. Вычтем $16x$ из обеих частей и прибавим 4 к обеим частям:

$4 + 4 = 20x - 16x$

$8 = 4x$

Разделим обе части на 4, чтобы найти $x$:

$x = \frac{8}{4}$

$x = 2$

Ответ: $2$

в) $2(x - 1) - 4 = 6(x + 2)$

Раскроем скобки в обеих частях уравнения:

$2x - 2 - 4 = 6x + 12$

Приведем подобные слагаемые в левой части:

$2x - 6 = 6x + 12$

Перенесем слагаемые с переменной $x$ в одну сторону, а числовые слагаемые в другую:

$-6 - 12 = 6x - 2x$

$-18 = 4x$

Разделим обе части на 4:

$x = -\frac{18}{4}$

Сократим дробь:

$x = -\frac{9}{2}$

Преобразуем неправильную дробь в смешанное число:

$x = -4\frac{1}{2}$

Ответ: $-4\frac{1}{2}$

г) $3(x - 2) - 5(x + 1) = -8x$

Раскроем скобки в левой части уравнения:

$3x - 6 - 5x - 5 = -8x$

Приведем подобные слагаемые в левой части:

$-2x - 11 = -8x$

Перенесем слагаемые с переменной $x$ в одну сторону, а числовые слагаемые в другую:

$8x - 2x = 11$

$6x = 11$

Разделим обе части на 6:

$x = \frac{11}{6}$

Преобразуем неправильную дробь в смешанное число:

$x = 1\frac{5}{6}$

Ответ: $1\frac{5}{6}$

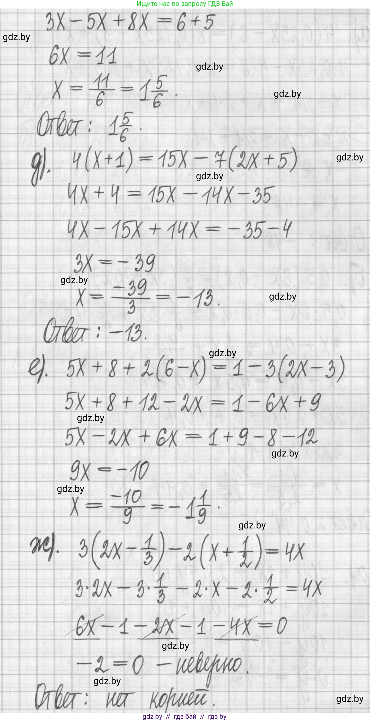
д) $4(x + 1) = 15x - 7(2x + 5)$

Раскроем скобки в обеих частях уравнения:

$4x + 4 = 15x - 14x - 35$

Приведем подобные слагаемые в правой части:

$4x + 4 = x - 35$

Перенесем слагаемые с переменной $x$ в левую сторону, а числовые слагаемые в правую:

$4x - x = -35 - 4$

$3x = -39$

Разделим обе части на 3:

$x = \frac{-39}{3}$

$x = -13$

Ответ: $-13$

е) $5x + 8 + 2(6 - x) = 1 - 3(2x - 3)$

Раскроем скобки в обеих частях уравнения:

$5x + 8 + 12 - 2x = 1 - 6x + 9$

Приведем подобные слагаемые в каждой части уравнения:

$(5x - 2x) + (8 + 12) = (1 + 9) - 6x$

$3x + 20 = 10 - 6x$

Перенесем слагаемые с переменной $x$ в левую сторону, а числовые слагаемые в правую:

$3x + 6x = 10 - 20$

$9x = -10$

Разделим обе части на 9:

$x = -\frac{10}{9}$

Преобразуем неправильную дробь в смешанное число:

$x = -1\frac{1}{9}$

Ответ: $-1\frac{1}{9}$

ж) $3(2x - \frac{1}{3}) - 2(x + \frac{1}{2}) = 4x$

Раскроем скобки в левой части уравнения:

$6x - 3 \cdot \frac{1}{3} - (2x + 2 \cdot \frac{1}{2}) = 4x$

$6x - 1 - (2x + 1) = 4x$

$6x - 1 - 2x - 1 = 4x$

Приведем подобные слагаемые в левой части:

$(6x - 2x) + (-1 - 1) = 4x$

$4x - 2 = 4x$

Вычтем $4x$ из обеих частей уравнения:

$-2 = 0$

Получено неверное равенство, которое не зависит от переменной $x$. Это означает, что уравнение не имеет решений.

Ответ: решений нет

Помогло решение? Оставьте отзыв в комментариях ниже.

Присоединяйтесь к Телеграм-группе @gdz_by_belarus

Присоединиться

Мы подготовили для вас ответ c подробным объяснением домашего задания по алгебре за 7 класс, для упражнения номер 3.21 расположенного на странице 154 к учебнику 2022 года издания для учащихся школ и гимназий.

Теперь на нашем сайте ГДЗ.ТОП вы всегда легко и бесплатно найдёте условие с правильным ответом на вопрос «Как решить ДЗ» и «Как сделать» задание по алгебре к упражнению №3.21 (с. 154), авторов: Арефьева (Ирина Глебовна), Пирютко (Ольга Николаевна), учебного пособия издательства Народная асвета.