Номер 3.20, страница 154 - гдз по алгебре 7 класс учебник Арефьева, Пирютко

Алгебра, 7 класс Учебник, авторы: Арефьева Ирина Глебовна, Пирютко Ольга Николаевна, издательство Народная асвета, Минск, 2022, зелёного цвета

Авторы: Арефьева И. Г., Пирютко О. Н.

Тип: Учебник

Издательство: Народная асвета

Год издания: 2022 - 2026

Цвет обложки: зелёный с графиком

ISBN: ISBN 978-985-03-3770-2

Допущено Министерством образования Республики Беларусь

Глава 3. Линейные уравнения. Линейные неравенства. Линейная функция. Параграф 15. Линейные уравнения с одной переменной - номер 3.20, страница 154.

№3.20 (с. 154)
Условие. №3.20 (с. 154)
скриншот условия
Алгебра, 7 класс Учебник, авторы: Арефьева Ирина Глебовна, Пирютко Ольга Николаевна, издательство Народная асвета, Минск, 2022, зелёного цвета, страница 154, номер 3.20, Условие

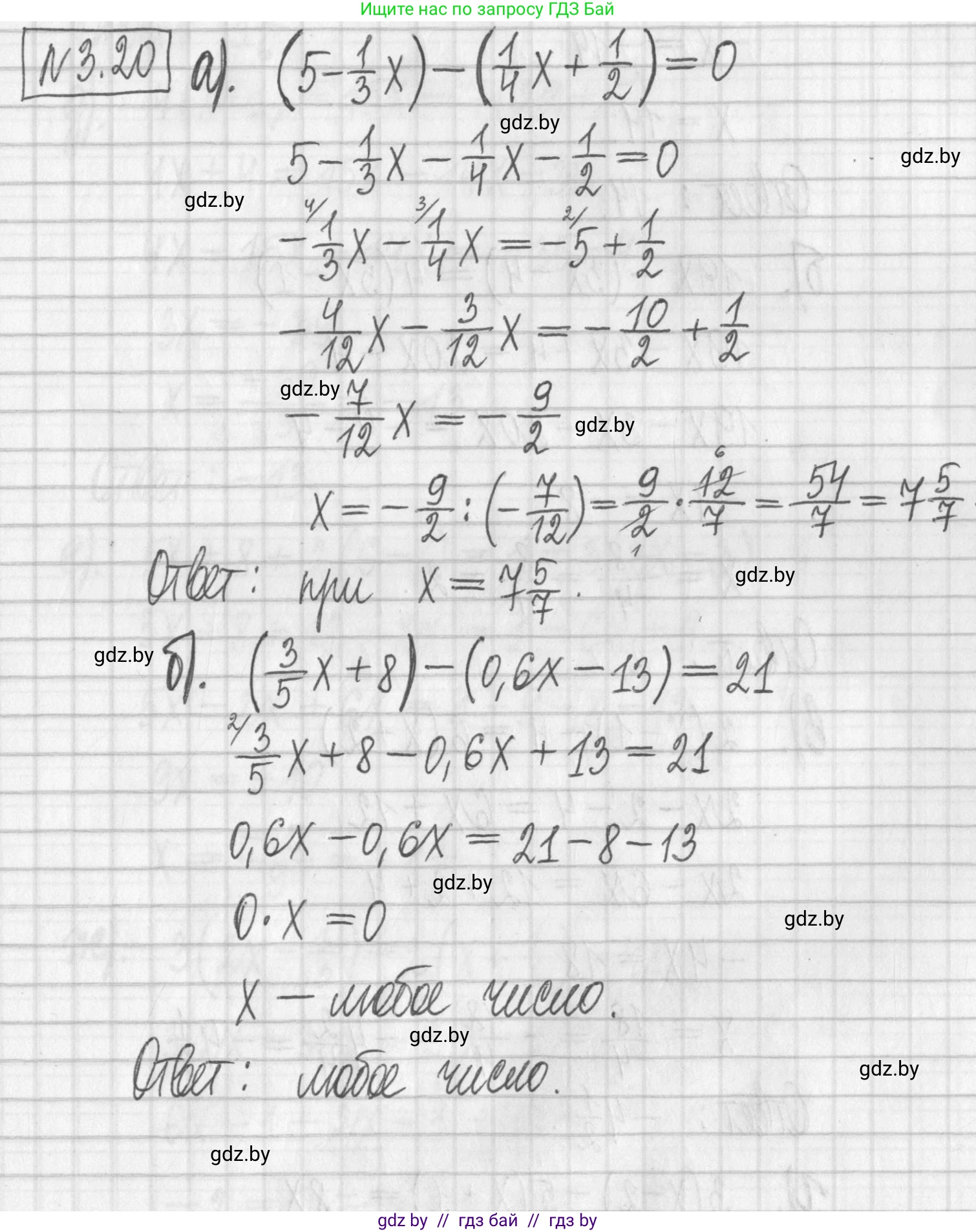
3.20. Найдите значение переменной, при котором:

a) разность значений двучленов $5 - \frac{1}{3}x$ и $\frac{1}{4}x + \frac{1}{2}$ равна нулю;

б) значение выражения $0,6x - 13$ на 21 меньше значения выражения $\frac{3}{5}x + 8$.

Решение. №3.20 (с. 154)
Алгебра, 7 класс Учебник, авторы: Арефьева Ирина Глебовна, Пирютко Ольга Николаевна, издательство Народная асвета, Минск, 2022, зелёного цвета, страница 154, номер 3.20, Решение
Решение 2. №3.20 (с. 154)

а) разность значений двучленов $5-\frac{1}{3}x$ и $\frac{1}{4}x+\frac{1}{2}$ равна нулю;

Чтобы найти значение переменной, при котором разность двух выражений равна нулю, необходимо составить и решить уравнение, приравняв их разность к нулю.

Составим уравнение:

$(5 - \frac{1}{3}x) - (\frac{1}{4}x + \frac{1}{2}) = 0$

Раскроем скобки. Важно помнить, что знак "минус" перед скобкой меняет знаки всех слагаемых внутри нее на противоположные.

$5 - \frac{1}{3}x - \frac{1}{4}x - \frac{1}{2} = 0$

Сгруппируем слагаемые с переменной $x$ и свободные члены (числа):

$(5 - \frac{1}{2}) + (-\frac{1}{3}x - \frac{1}{4}x) = 0$

Вычислим значение каждой группы. Для этого приведем дроби к общему знаменателю.

Вычисление для свободных членов:

$5 - \frac{1}{2} = \frac{5 \cdot 2}{2} - \frac{1}{2} = \frac{10}{2} - \frac{1}{2} = \frac{9}{2}$

Вычисление для слагаемых с $x$ (общий знаменатель для 3 и 4 - это 12):

$-\frac{1}{3}x - \frac{1}{4}x = -(\frac{1 \cdot 4}{3 \cdot 4}x + \frac{1 \cdot 3}{4 \cdot 3}x) = -(\frac{4}{12}x + \frac{3}{12}x) = -\frac{7}{12}x$

Подставим полученные значения в уравнение:

$\frac{9}{2} - \frac{7}{12}x = 0$

Перенесем слагаемое с переменной $x$ в правую часть уравнения:

$\frac{9}{2} = \frac{7}{12}x$

Теперь выразим $x$. Для этого умножим обе части уравнения на дробь, обратную коэффициенту при $x$, то есть на $\frac{12}{7}$:

$x = \frac{9}{2} \cdot \frac{12}{7}$

Выполним умножение и сократим дробь:

$x = \frac{9 \cdot 12}{2 \cdot 7} = \frac{9 \cdot 6}{7} = \frac{54}{7}$

Результат — неправильная дробь. Выделим из нее целую часть:

$54 \div 7 = 7$ (остаток $54 - 7 \cdot 7 = 5$)

$x = 7\frac{5}{7}$

Ответ: $x = \mathbf{7}\frac{5}{7}$

б) значение выражения $0,6x-13$ на 21 меньше значения выражения $\frac{3}{5}x+8$.

Условие "одно выражение на 21 меньше другого" означает, что если к меньшему выражению прибавить 21, то оно станет равно большему. Составим на основе этого уравнение:

$(0,6x - 13) + 21 = \frac{3}{5}x + 8$

Для удобства вычислений преобразуем десятичную дробь $0,6$ в обыкновенную:

$0,6 = \frac{6}{10} = \frac{3}{5}$

Подставим это значение в наше уравнение:

$(\frac{3}{5}x - 13) + 21 = \frac{3}{5}x + 8$

Упростим левую часть уравнения, выполнив сложение чисел:

$\frac{3}{5}x + (-13 + 21) = \frac{3}{5}x + 8$

$\frac{3}{5}x + 8 = \frac{3}{5}x + 8$

Мы получили тождество — равенство, в котором левая и правая части абсолютно одинаковы. Если мы попробуем перенести все слагаемые в одну сторону, то получим:

$\frac{3}{5}x - \frac{3}{5}x + 8 - 8 = 0$

$0 = 0$

Полученное верное числовое равенство означает, что исходное условие выполняется при любом значении переменной $x$. Разность между выражениями $\frac{3}{5}x+8$ и $0,6x-13$ всегда постоянна и равна 21.

Ответ: Условие выполняется при любом значении переменной $x$.

Помогло решение? Оставьте отзыв в комментариях ниже.

Присоединяйтесь к Телеграм-группе @gdz_by_belarus

Присоединиться

Мы подготовили для вас ответ c подробным объяснением домашего задания по алгебре за 7 класс, для упражнения номер 3.20 расположенного на странице 154 к учебнику 2022 года издания для учащихся школ и гимназий.

Теперь на нашем сайте ГДЗ.ТОП вы всегда легко и бесплатно найдёте условие с правильным ответом на вопрос «Как решить ДЗ» и «Как сделать» задание по алгебре к упражнению №3.20 (с. 154), авторов: Арефьева (Ирина Глебовна), Пирютко (Ольга Николаевна), учебного пособия издательства Народная асвета.