Номер 3.32, страница 156 - гдз по алгебре 7 класс учебник Арефьева, Пирютко

Алгебра, 7 класс Учебник, авторы: Арефьева Ирина Глебовна, Пирютко Ольга Николаевна, издательство Народная асвета, Минск, 2022, зелёного цвета

Авторы: Арефьева И. Г., Пирютко О. Н.

Тип: Учебник

Издательство: Народная асвета

Год издания: 2022 - 2026

Цвет обложки: зелёный с графиком

ISBN: ISBN 978-985-03-3770-2

Допущено Министерством образования Республики Беларусь

Глава 3. Линейные уравнения. Линейные неравенства. Линейная функция. Параграф 15. Линейные уравнения с одной переменной - номер 3.32, страница 156.

№3.32 (с. 156)
Условие. №3.32 (с. 156)
скриншот условия
Алгебра, 7 класс Учебник, авторы: Арефьева Ирина Глебовна, Пирютко Ольга Николаевна, издательство Народная асвета, Минск, 2022, зелёного цвета, страница 156, номер 3.32, Условие

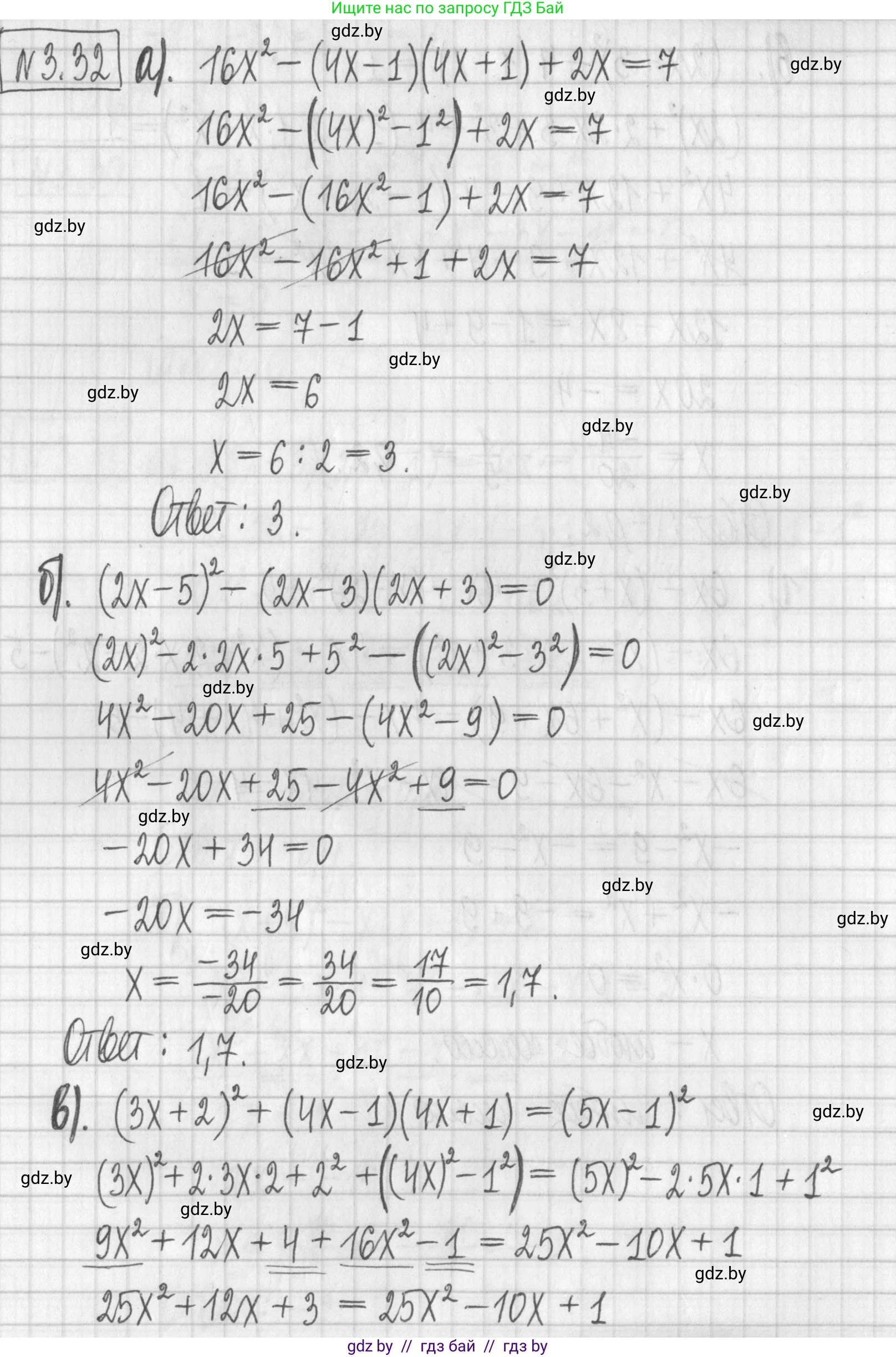
3.32. Примените формулы сокращенного умножения и решите уравнение:

а) $16x^2 - (4x - 1)(4x + 1) + 2x = 7;$

б) $(2x - 5)^2 - (2x - 3)(2x + 3) = 0;$

в) $(3x + 2)^2 + (4x - 1)(4x + 1) = (5x - 1)^2;$

г) $(3x - 1)^2 - 8(x + 1)^2 = (x + 2)(x - 2).$

Решение. №3.32 (с. 156)
Алгебра, 7 класс Учебник, авторы: Арефьева Ирина Глебовна, Пирютко Ольга Николаевна, издательство Народная асвета, Минск, 2022, зелёного цвета, страница 156, номер 3.32, Решение Алгебра, 7 класс Учебник, авторы: Арефьева Ирина Глебовна, Пирютко Ольга Николаевна, издательство Народная асвета, Минск, 2022, зелёного цвета, страница 156, номер 3.32, Решение (продолжение 2)
Решение 2. №3.32 (с. 156)

а) Дано уравнение:
$16x^2 - (4x - 1)(4x + 1) + 2x = 7$

Выражение $(4x - 1)(4x + 1)$ является разностью квадратов. Применим формулу $(a-b)(a+b) = a^2 - b^2$, где $a=4x$ и $b=1$:
$(4x - 1)(4x + 1) = (4x)^2 - 1^2 = 16x^2 - 1$

Подставим полученное выражение обратно в уравнение:
$16x^2 - (16x^2 - 1) + 2x = 7$

Раскроем скобки, обращая внимание на знак минус перед ними:
$16x^2 - 16x^2 + 1 + 2x = 7$

Сократим подобные члены:
$1 + 2x = 7$

Перенесем 1 в правую часть уравнения:
$2x = 7 - 1$
$2x = 6$

Найдем $x$:
$x = \frac{6}{2}$
$x = 3$

Ответ: $3$


б) Дано уравнение:
$(2x - 5)^2 - (2x - 3)(2x + 3) = 0$

Применим формулы сокращенного умножения:
1. Квадрат разности $(a-b)^2 = a^2 - 2ab + b^2$ для $(2x - 5)^2$:
$(2x - 5)^2 = (2x)^2 - 2 \cdot 2x \cdot 5 + 5^2 = 4x^2 - 20x + 25$

2. Разность квадратов $(a-b)(a+b) = a^2 - b^2$ для $(2x - 3)(2x + 3)$:
$(2x - 3)(2x + 3) = (2x)^2 - 3^2 = 4x^2 - 9$

Подставим раскрытые выражения в исходное уравнение:
$(4x^2 - 20x + 25) - (4x^2 - 9) = 0$

Раскроем скобки:
$4x^2 - 20x + 25 - 4x^2 + 9 = 0$

Приведем подобные слагаемые:
$(4x^2 - 4x^2) - 20x + (25 + 9) = 0$
$-20x + 34 = 0$

Перенесем 34 в правую часть:
$-20x = -34$
$20x = 34$

Найдем $x$:
$x = \frac{34}{20} = \frac{17}{10}$

Выделим целую часть из неправильной дроби:
$x = 1\frac{7}{10}$

Ответ: $1\frac{7}{10}$


в) Дано уравнение:
$(3x + 2)^2 + (4x - 1)(4x + 1) = (5x - 1)^2$

Раскроем все скобки, используя формулы сокращенного умножения:
1. Квадрат суммы $(a+b)^2 = a^2 + 2ab + b^2$ для $(3x + 2)^2$:
$(3x + 2)^2 = (3x)^2 + 2 \cdot 3x \cdot 2 + 2^2 = 9x^2 + 12x + 4$

2. Разность квадратов $(a-b)(a+b) = a^2 - b^2$ для $(4x - 1)(4x + 1)$:
$(4x - 1)(4x + 1) = (4x)^2 - 1^2 = 16x^2 - 1$

3. Квадрат разности $(a-b)^2 = a^2 - 2ab + b^2$ для $(5x - 1)^2$:
$(5x - 1)^2 = (5x)^2 - 2 \cdot 5x \cdot 1 + 1^2 = 25x^2 - 10x + 1$

Подставим полученные выражения в уравнение:
$(9x^2 + 12x + 4) + (16x^2 - 1) = 25x^2 - 10x + 1$

Упростим левую часть:
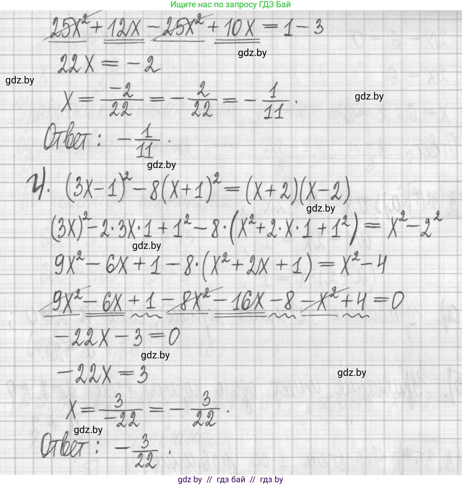
$25x^2 + 12x + 3 = 25x^2 - 10x + 1$

Перенесем все члены с $x$ в левую часть, а свободные члены - в правую:
$25x^2 - 25x^2 + 12x + 10x = 1 - 3$

Приведем подобные слагаемые:
$22x = -2$

Найдем $x$:
$x = -\frac{2}{22} = -\frac{1}{11}$

Ответ: $-\frac{1}{11}$


г) Дано уравнение:
$(3x - 1)^2 - 8(x + 1)^2 = (x + 2)(x - 2)$

Применим формулы сокращенного умножения для каждого выражения:
1. $(3x - 1)^2 = (3x)^2 - 2 \cdot 3x \cdot 1 + 1^2 = 9x^2 - 6x + 1$
2. $(x + 1)^2 = x^2 + 2x + 1$
3. $(x + 2)(x - 2) = x^2 - 2^2 = x^2 - 4$

Подставим в уравнение:
$(9x^2 - 6x + 1) - 8(x^2 + 2x + 1) = x^2 - 4$

Раскроем скобки в левой части:
$9x^2 - 6x + 1 - 8x^2 - 16x - 8 = x^2 - 4$

Приведем подобные слагаемые в левой части:
$(9x^2 - 8x^2) + (-6x - 16x) + (1 - 8) = x^2 - 4$
$x^2 - 22x - 7 = x^2 - 4$

Перенесем все члены в левую часть:
$x^2 - x^2 - 22x - 7 + 4 = 0$

Упростим:
$-22x - 3 = 0$

Найдем $x$:
$-22x = 3$
$x = -\frac{3}{22}$

Ответ: $-\frac{3}{22}$

Помогло решение? Оставьте отзыв в комментариях ниже.

Присоединяйтесь к Телеграм-группе @gdz_by_belarus

Присоединиться

Мы подготовили для вас ответ c подробным объяснением домашего задания по алгебре за 7 класс, для упражнения номер 3.32 расположенного на странице 156 к учебнику 2022 года издания для учащихся школ и гимназий.

Теперь на нашем сайте ГДЗ.ТОП вы всегда легко и бесплатно найдёте условие с правильным ответом на вопрос «Как решить ДЗ» и «Как сделать» задание по алгебре к упражнению №3.32 (с. 156), авторов: Арефьева (Ирина Глебовна), Пирютко (Ольга Николаевна), учебного пособия издательства Народная асвета.