Номер 3.38, страница 157 - гдз по алгебре 7 класс учебник Арефьева, Пирютко

Алгебра, 7 класс Учебник, авторы: Арефьева Ирина Глебовна, Пирютко Ольга Николаевна, издательство Народная асвета, Минск, 2022, зелёного цвета

Авторы: Арефьева И. Г., Пирютко О. Н.

Тип: Учебник

Издательство: Народная асвета

Год издания: 2022 - 2026

Цвет обложки: зелёный с графиком

ISBN: ISBN 978-985-03-3770-2

Допущено Министерством образования Республики Беларусь

Глава 3. Линейные уравнения. Линейные неравенства. Линейная функция. Параграф 15. Линейные уравнения с одной переменной - номер 3.38, страница 157.

№3.38 (с. 157)
Условие. №3.38 (с. 157)
скриншот условия
Алгебра, 7 класс Учебник, авторы: Арефьева Ирина Глебовна, Пирютко Ольга Николаевна, издательство Народная асвета, Минск, 2022, зелёного цвета, страница 157, номер 3.38, Условие

3.38. Решите линейное уравнение:

а) $-6x = 18;$

б) $15x = 5;$

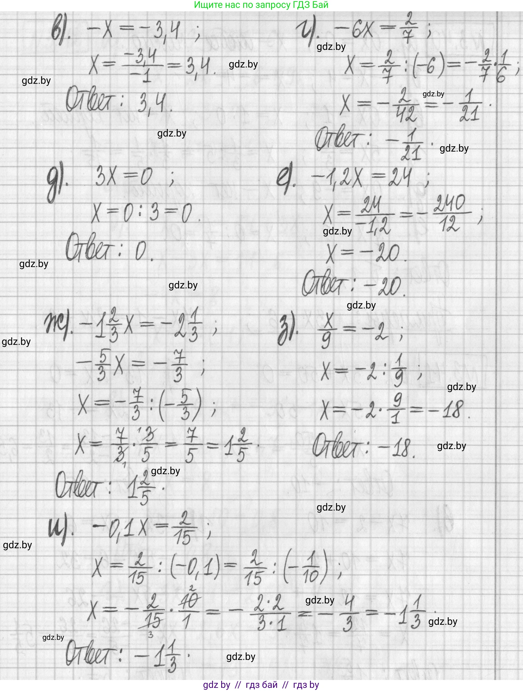
в) $-x = -3,4;$

г) $-6x = \frac{2}{7};$

д) $3x = 0;$

е) $-1,2x = 24;$

ж) $-1\frac{2}{3}x = -2\frac{1}{3};$

з) $\frac{x}{9} = -2;$

и) $-0,1x = \frac{2}{15}.$

Решение. №3.38 (с. 157)
Алгебра, 7 класс Учебник, авторы: Арефьева Ирина Глебовна, Пирютко Ольга Николаевна, издательство Народная асвета, Минск, 2022, зелёного цвета, страница 157, номер 3.38, Решение Алгебра, 7 класс Учебник, авторы: Арефьева Ирина Глебовна, Пирютко Ольга Николаевна, издательство Народная асвета, Минск, 2022, зелёного цвета, страница 157, номер 3.38, Решение (продолжение 2)
Решение 2. №3.38 (с. 157)

а) $-6x = 18$
Чтобы найти неизвестный множитель $x$, нужно произведение (18) разделить на известный множитель (-6).
$x = 18 \div (-6)$
$x = -3$
Ответ: -3.

б) $15x = 5$
Чтобы найти $x$, разделим обе части уравнения на 15.
$x = \frac{5}{15}$
Сократим дробь, разделив числитель и знаменатель на 5.
$x = \frac{1}{3}$
Ответ: $\frac{1}{3}$.

в) $-x = -3,4$
Чтобы найти $x$, умножим обе части уравнения на -1.
$(-1) \cdot (-x) = (-1) \cdot (-3,4)$
$x = 3,4$
Ответ: 3,4.

г) $-6x = \frac{2}{7}$
Разделим обе части уравнения на -6.
$x = \frac{2}{7} \div (-6)$
Деление на число равносильно умножению на обратное ему число.
$x = \frac{2}{7} \cdot (-\frac{1}{6})$
$x = -\frac{2}{42}$
Сократим дробь на 2.
$x = -\frac{1}{21}$
Ответ: $-\frac{1}{21}$.

д) $3x = 0$
Разделим обе части уравнения на 3.
$x = \frac{0}{3}$
$x = 0$
Ответ: 0.

е) $-1,2x = 24$
Разделим обе части уравнения на -1,2.
$x = 24 \div (-1,2)$
Для удобства вычислений, представим -1,2 как $-\frac{12}{10}$.
$x = 24 \div (-\frac{12}{10}) = 24 \cdot (-\frac{10}{12})$
$x = -\frac{24 \cdot 10}{12} = -2 \cdot 10 = -20$
Ответ: -20.

ж) $-1\frac{2}{3}x = -2\frac{1}{3}$
Сначала преобразуем смешанные числа в неправильные дроби.
$-1\frac{2}{3} = -\frac{1 \cdot 3 + 2}{3} = -\frac{5}{3}$
$-2\frac{1}{3} = -\frac{2 \cdot 3 + 1}{3} = -\frac{7}{3}$
Уравнение принимает вид: $-\frac{5}{3}x = -\frac{7}{3}$
Чтобы найти $x$, разделим правую часть на коэффициент при $x$.
$x = (-\frac{7}{3}) \div (-\frac{5}{3})$
$x = \frac{7}{3} \cdot \frac{3}{5} = \frac{7}{5}$
Преобразуем неправильную дробь в смешанное число.
$x = 1\frac{2}{5}$
Ответ: 1$\frac{2}{5}$.

з) $\frac{x}{9} = -2$
Чтобы найти делимое $x$, нужно частное (-2) умножить на делитель (9).
$x = -2 \cdot 9$
$x = -18$
Ответ: -18.

и) $-0,1x = \frac{2}{15}$
Представим десятичную дробь -0,1 в виде обыкновенной: $-0,1 = -\frac{1}{10}$.
Уравнение принимает вид: $-\frac{1}{10}x = \frac{2}{15}$
Чтобы найти $x$, разделим правую часть на коэффициент при $x$.
$x = \frac{2}{15} \div (-\frac{1}{10})$
$x = \frac{2}{15} \cdot (-10) = -\frac{20}{15}$
Сократим дробь на 5.
$x = -\frac{4}{3}$
Преобразуем неправильную дробь в смешанное число.
$x = -1\frac{1}{3}$
Ответ: -1$\frac{1}{3}$.

Помогло решение? Оставьте отзыв в комментариях ниже.

Присоединяйтесь к Телеграм-группе @gdz_by_belarus

Присоединиться

Мы подготовили для вас ответ c подробным объяснением домашего задания по алгебре за 7 класс, для упражнения номер 3.38 расположенного на странице 157 к учебнику 2022 года издания для учащихся школ и гимназий.

Теперь на нашем сайте ГДЗ.ТОП вы всегда легко и бесплатно найдёте условие с правильным ответом на вопрос «Как решить ДЗ» и «Как сделать» задание по алгебре к упражнению №3.38 (с. 157), авторов: Арефьева (Ирина Глебовна), Пирютко (Ольга Николаевна), учебного пособия издательства Народная асвета.