Номер 3.44, страница 157 - гдз по алгебре 7 класс учебник Арефьева, Пирютко

Алгебра, 7 класс Учебник, авторы: Арефьева Ирина Глебовна, Пирютко Ольга Николаевна, издательство Народная асвета, Минск, 2022, зелёного цвета

Авторы: Арефьева И. Г., Пирютко О. Н.

Тип: Учебник

Издательство: Народная асвета

Год издания: 2022 - 2026

Цвет обложки: зелёный с графиком

ISBN: ISBN 978-985-03-3770-2

Допущено Министерством образования Республики Беларусь

Глава 3. Линейные уравнения. Линейные неравенства. Линейная функция. Параграф 15. Линейные уравнения с одной переменной - номер 3.44, страница 157.

№3.44 (с. 157)
Условие. №3.44 (с. 157)
скриншот условия
Алгебра, 7 класс Учебник, авторы: Арефьева Ирина Глебовна, Пирютко Ольга Николаевна, издательство Народная асвета, Минск, 2022, зелёного цвета, страница 157, номер 3.44, Условие

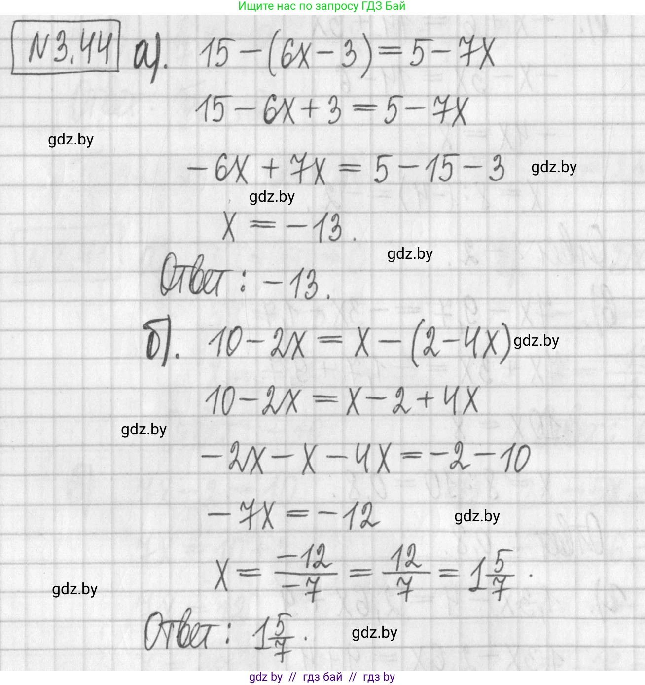
3.44. Решите уравнение:

а) $15 - (6x - 3) = 5 - 7x;$

б) $10 - 2x = x - (2 - 4x).$

Решение. №3.44 (с. 157)
Алгебра, 7 класс Учебник, авторы: Арефьева Ирина Глебовна, Пирютко Ольга Николаевна, издательство Народная асвета, Минск, 2022, зелёного цвета, страница 157, номер 3.44, Решение
Решение 2. №3.44 (с. 157)

а) $15 - (6x - 3) = 5 - 7x$

Первым шагом раскроем скобки в левой части уравнения. Поскольку перед скобками стоит знак «минус», знаки всех членов внутри скобок меняются на противоположные:

$15 - 6x + 3 = 5 - 7x$

Теперь приведем подобные слагаемые в левой части уравнения (сложим числа):

$18 - 6x = 5 - 7x$

Сгруппируем члены с переменной $x$ в левой части уравнения, а свободные члены (числа) — в правой. При переносе члена из одной части уравнения в другую его знак меняется на противоположный:

$7x - 6x = 5 - 18$

Выполним вычитание в обеих частях уравнения:

$x = -13$

Ответ: -13

б) $10 - 2x = x - (2 - 4x)$

Сначала раскроем скобки в правой части уравнения. Знак «минус» перед скобками меняет знаки всех членов внутри них:

$10 - 2x = x - 2 + 4x$

Приведем подобные слагаемые в правой части (сложим члены с $x$):

$10 - 2x = 5x - 2$

Теперь перенесем все члены с переменной $x$ в одну сторону (например, вправо), а все числовые члены — в другую (влево), меняя их знаки при переносе:

$10 + 2 = 5x + 2x$

Выполним сложение в обеих частях:

$12 = 7x$

Чтобы найти $x$, разделим обе части уравнения на 7:

$x = \frac{12}{7}$

Полученная дробь $\frac{12}{7}$ — неправильная. Выделим из нее целую часть: $12$ делим на $7$, получаем $1$ и $5$ в остатке.

$x = 1\frac{5}{7}$

Ответ: $1\frac{5}{7}$

Помогло решение? Оставьте отзыв в комментариях ниже.

Присоединяйтесь к Телеграм-группе @gdz_by_belarus

Присоединиться

Мы подготовили для вас ответ c подробным объяснением домашего задания по алгебре за 7 класс, для упражнения номер 3.44 расположенного на странице 157 к учебнику 2022 года издания для учащихся школ и гимназий.

Теперь на нашем сайте ГДЗ.ТОП вы всегда легко и бесплатно найдёте условие с правильным ответом на вопрос «Как решить ДЗ» и «Как сделать» задание по алгебре к упражнению №3.44 (с. 157), авторов: Арефьева (Ирина Глебовна), Пирютко (Ольга Николаевна), учебного пособия издательства Народная асвета.