Номер 4.104, страница 284 - гдз по алгебре 7 класс учебник Арефьева, Пирютко

Алгебра, 7 класс Учебник, авторы: Арефьева Ирина Глебовна, Пирютко Ольга Николаевна, издательство Народная асвета, Минск, 2022, зелёного цвета

Авторы: Арефьева И. Г., Пирютко О. Н.

Тип: Учебник

Издательство: Народная асвета

Год издания: 2022 - 2026

Цвет обложки: зелёный с графиком

ISBN: ISBN 978-985-03-3770-2

Допущено Министерством образования Республики Беларусь

Глава 4. Системы двух линейных уравнений с двумя переменными. Параграф 24. Способы решения системы линейных уравнений с двумя переменными - номер 4.104, страница 284.

№4.104 (с. 284)
Условие. №4.104 (с. 284)
скриншот условия
Алгебра, 7 класс Учебник, авторы: Арефьева Ирина Глебовна, Пирютко Ольга Николаевна, издательство Народная асвета, Минск, 2022, зелёного цвета, страница 284, номер 4.104, Условие Алгебра, 7 класс Учебник, авторы: Арефьева Ирина Глебовна, Пирютко Ольга Николаевна, издательство Народная асвета, Минск, 2022, зелёного цвета, страница 284, номер 4.104, Условие (продолжение 2)

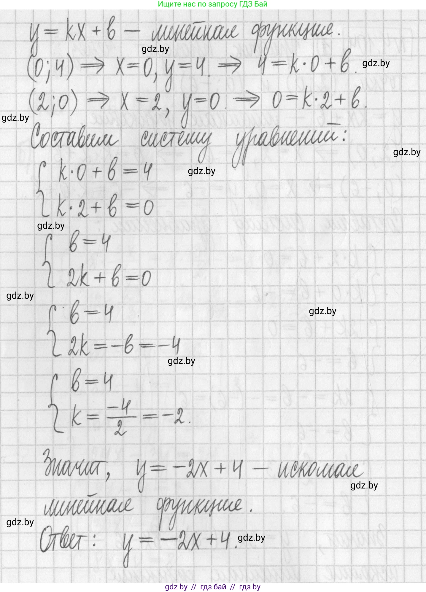
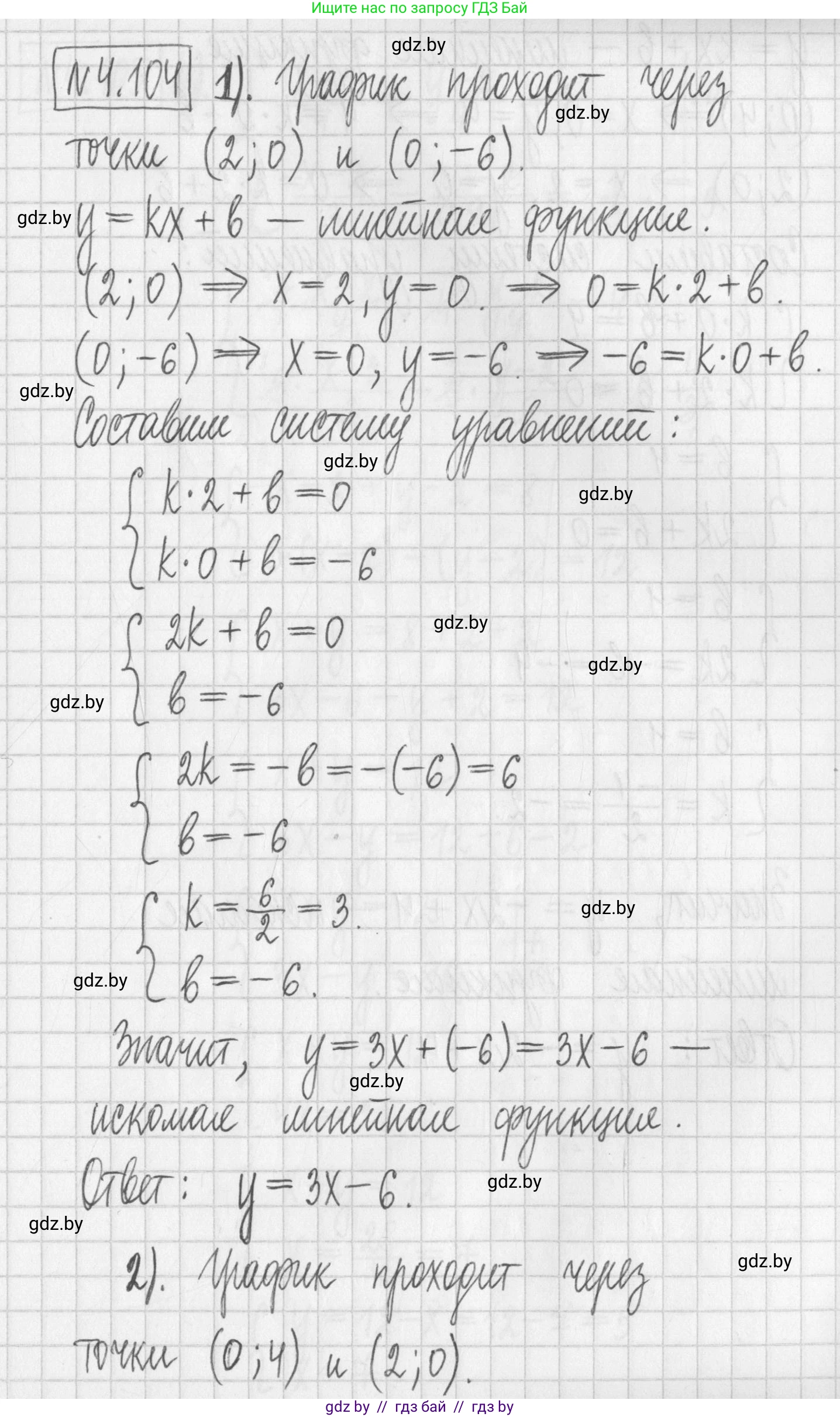
4.104. Запишите формулу, задающую линейную функцию, график которой представлен на рисунке 74.

1) $y = 2x - 4$

2) $y = -2x + 4$

Рис. 74

Решение. №4.104 (с. 284)
Алгебра, 7 класс Учебник, авторы: Арефьева Ирина Глебовна, Пирютко Ольга Николаевна, издательство Народная асвета, Минск, 2022, зелёного цвета, страница 284, номер 4.104, Решение Алгебра, 7 класс Учебник, авторы: Арефьева Ирина Глебовна, Пирютко Ольга Николаевна, издательство Народная асвета, Минск, 2022, зелёного цвета, страница 284, номер 4.104, Решение (продолжение 2)
Решение 2. №4.104 (с. 284)

Общий вид уравнения линейной функции: $y = kx + b$, где:

  • $b$ — ордината точки пересечения графика с осью $y$.
  • $k$ — угловой коэффициент (тангенс угла наклона прямой), который можно найти по формуле $k = \frac{y_2 - y_1}{x_2 - x_1}$, используя координаты двух любых точек $(x_1, y_1)$ и $(x_2, y_2)$ на прямой.

1) 1. Найдём коэффициент $b$.

График пересекает ось $y$ в точке с координатами $(0, -4)$. Следовательно, $b = -4$.

2. Найдём угловой коэффициент $k$.

Для этого выберем две точки на графике, через которые проходит прямая. Удобно взять точку пересечения с осью $y$, A(0, -4), и точку пересечения с осью $x$, B(2, 0).

Подставим их координаты в формулу для углового коэффициента:

$k = \frac{y_2 - y_1}{x_2 - x_1} = \frac{0 - (-4)}{2 - 0} = \frac{4}{2} = 2$.

3. Запишем формулу функции.

Подставим найденные значения $k=2$ и $b=-4$ в уравнение $y = kx + b$.

Получаем итоговую формулу.

Ответ: $y = 2x - 4$.


2) 1. Найдём коэффициент $b$.

График пересекает ось $y$ в точке с координатами $(0, 3)$. Следовательно, $b = 3$.

2. Найдём угловой коэффициент $k$.

Возьмём две точки на графике: точку пересечения с осью $y$, A(0, 3), и точку пересечения с осью $x$, B(2, 0).

Подставим их координаты в формулу для углового коэффициента:

$k = \frac{y_2 - y_1}{x_2 - x_1} = \frac{0 - 3}{2 - 0} = \frac{-3}{2}$.

3. Запишем формулу функции.

Подставим найденные значения $k=-\frac{3}{2}$ и $b=3$ в уравнение $y = kx + b$. Получаем $y = -\frac{3}{2}x + 3$.

Согласно условию, необходимо выделить целую часть из неправильной дроби в коэффициенте $k$.

$-\frac{3}{2} = -1\frac{1}{2}$.

Запишем итоговую формулу.

Ответ: $y = -1\frac{1}{2}x + 3$.

Помогло решение? Оставьте отзыв в комментариях ниже.

Присоединяйтесь к Телеграм-группе @gdz_by_belarus

Присоединиться

Мы подготовили для вас ответ c подробным объяснением домашего задания по алгебре за 7 класс, для упражнения номер 4.104 расположенного на странице 284 к учебнику 2022 года издания для учащихся школ и гимназий.

Теперь на нашем сайте ГДЗ.ТОП вы всегда легко и бесплатно найдёте условие с правильным ответом на вопрос «Как решить ДЗ» и «Как сделать» задание по алгебре к упражнению №4.104 (с. 284), авторов: Арефьева (Ирина Глебовна), Пирютко (Ольга Николаевна), учебного пособия издательства Народная асвета.