Номер 4.97, страница 283 - гдз по алгебре 7 класс учебник Арефьева, Пирютко

Алгебра, 7 класс Учебник, авторы: Арефьева Ирина Глебовна, Пирютко Ольга Николаевна, издательство Народная асвета, Минск, 2022, зелёного цвета

Авторы: Арефьева И. Г., Пирютко О. Н.

Тип: Учебник

Издательство: Народная асвета

Год издания: 2022 - 2026

Цвет обложки: зелёный с графиком

ISBN: ISBN 978-985-03-3770-2

Допущено Министерством образования Республики Беларусь

Глава 4. Системы двух линейных уравнений с двумя переменными. Параграф 24. Способы решения системы линейных уравнений с двумя переменными - номер 4.97, страница 283.

№4.97 (с. 283)
Условие. №4.97 (с. 283)
скриншот условия
Алгебра, 7 класс Учебник, авторы: Арефьева Ирина Глебовна, Пирютко Ольга Николаевна, издательство Народная асвета, Минск, 2022, зелёного цвета, страница 283, номер 4.97, Условие

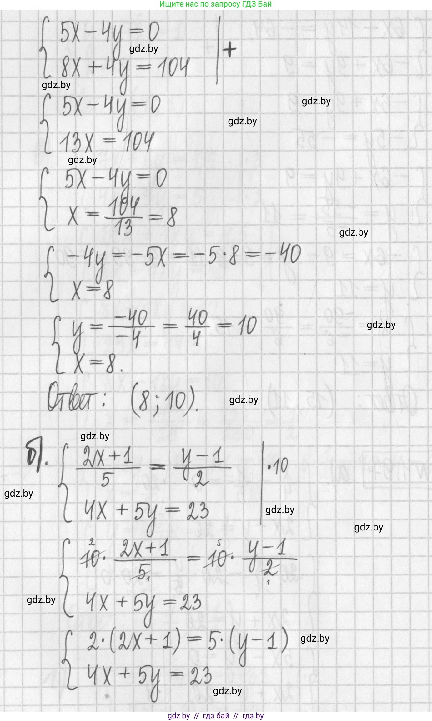
4.97. Приведите уравнения системы к уравнениям с целыми коэффициентами и решите систему уравнений способом сложения:

а) $\begin{cases} \frac{x}{4} - \frac{y}{5} = 0, \\ 2x + y = 26; \end{cases}$

б) $\begin{cases} \frac{2x + 1}{5} = \frac{y - 1}{2}, \\ 4x + 5y = 23. \end{cases}$

Решение. №4.97 (с. 283)
Алгебра, 7 класс Учебник, авторы: Арефьева Ирина Глебовна, Пирютко Ольга Николаевна, издательство Народная асвета, Минск, 2022, зелёного цвета, страница 283, номер 4.97, Решение Алгебра, 7 класс Учебник, авторы: Арефьева Ирина Глебовна, Пирютко Ольга Николаевна, издательство Народная асвета, Минск, 2022, зелёного цвета, страница 283, номер 4.97, Решение (продолжение 2)
Решение 2. №4.97 (с. 283)

a) Решим систему уравнений:

$$\begin{cases}\frac{x}{4} - \frac{y}{5} = 0 \\2x + y = 26\end{cases}$$

Шаг 1: Приведение уравнений к целым коэффициентам.

Первое уравнение содержит дроби. Чтобы избавиться от знаменателей, умножим обе части первого уравнения на наименьшее общее кратное (НОК) знаменателей 4 и 5, которое равно 20.

$$20 \cdot \left(\frac{x}{4} - \frac{y}{5}\right) = 20 \cdot 0$$

$$\frac{20x}{4} - \frac{20y}{5} = 0$$

$$5x - 4y = 0$$

Второе уравнение $2x + y = 26$ уже имеет целые коэффициенты. Таким образом, получаем эквивалентную систему с целыми коэффициентами:

$$\begin{cases}5x - 4y = 0 \\2x + y = 26\end{cases}$$

Шаг 2: Решение системы способом сложения.

Чтобы использовать метод сложения, необходимо, чтобы коэффициенты при одной из переменных были противоположными числами. Умножим второе уравнение на 4, чтобы коэффициент при переменной $y$ стал 4 (противоположный коэффициенту -4 в первом уравнении).

$$4 \cdot (2x + y) = 4 \cdot 26$$

$$8x + 4y = 104$$

Теперь система выглядит так:

$$\begin{cases}5x - 4y = 0 \\8x + 4y = 104\end{cases}$$

Теперь сложим два уравнения системы почленно:

$$(5x - 4y) + (8x + 4y) = 0 + 104$$

$$13x = 104$$

Отсюда находим $x$:

$$x = \frac{104}{13} = 8$$

Шаг 3: Нахождение значения $y$.

Подставим найденное значение $x = 8$ в любое из уравнений системы. Удобнее всего использовать второе уравнение исходной системы $2x + y = 26$:

$$2(8) + y = 26$$

$$16 + y = 26$$

$$y = 26 - 16$$

$$y = 10$$

Решение системы: $(8; 10)$.

Ответ: $x = 8, y = 10$.


б) Решим систему уравнений:

$$\begin{cases}\frac{2x + 1}{5} = \frac{y - 1}{2} \\4x + 5y = 23\end{cases}$$

Шаг 1: Приведение уравнений к целым коэффициентам.

Преобразуем первое уравнение. Используя основное свойство пропорции (произведение крайних членов равно произведению средних), либо умножив обе части на НОК(5, 2)=10, получим:

$$2(2x + 1) = 5(y - 1)$$

Раскроем скобки:

$$4x + 2 = 5y - 5$$

Перенесем члены с переменными в левую часть, а свободные члены — в правую, чтобы привести уравнение к стандартному виду $Ax + By = C$:

$$4x - 5y = -5 - 2$$

$$4x - 5y = -7$$

Второе уравнение $4x + 5y = 23$ уже имеет целые коэффициенты. Итак, наша новая система:

$$\begin{cases}4x - 5y = -7 \\4x + 5y = 23\end{cases}$$

Шаг 2: Решение системы способом сложения.

Коэффициенты при переменной $y$ уже являются противоположными числами ($-5$ и $5$), поэтому можно сразу сложить уравнения:

$$(4x - 5y) + (4x + 5y) = -7 + 23$$

$$8x = 16$$

Находим $x$:

$$x = \frac{16}{8} = 2$$

Шаг 3: Нахождение значения $y$.

Подставим значение $x = 2$ во второе уравнение преобразованной системы $4x + 5y = 23$:

$$4(2) + 5y = 23$$

$$8 + 5y = 23$$

$$5y = 23 - 8$$

$$5y = 15$$

$$y = \frac{15}{5} = 3$$

Решение системы: $(2; 3)$.

Ответ: $x = 2, y = 3$.

Помогло решение? Оставьте отзыв в комментариях ниже.

Присоединяйтесь к Телеграм-группе @gdz_by_belarus

Присоединиться

Мы подготовили для вас ответ c подробным объяснением домашего задания по алгебре за 7 класс, для упражнения номер 4.97 расположенного на странице 283 к учебнику 2022 года издания для учащихся школ и гимназий.

Теперь на нашем сайте ГДЗ.ТОП вы всегда легко и бесплатно найдёте условие с правильным ответом на вопрос «Как решить ДЗ» и «Как сделать» задание по алгебре к упражнению №4.97 (с. 283), авторов: Арефьева (Ирина Глебовна), Пирютко (Ольга Николаевна), учебного пособия издательства Народная асвета.