Номер 4.91, страница 282 - гдз по алгебре 7 класс учебник Арефьева, Пирютко

Алгебра, 7 класс Учебник, авторы: Арефьева Ирина Глебовна, Пирютко Ольга Николаевна, издательство Народная асвета, Минск, 2022, зелёного цвета

Авторы: Арефьева И. Г., Пирютко О. Н.

Тип: Учебник

Издательство: Народная асвета

Год издания: 2022 - 2026

Цвет обложки: зелёный с графиком

ISBN: ISBN 978-985-03-3770-2

Допущено Министерством образования Республики Беларусь

Глава 4. Системы двух линейных уравнений с двумя переменными. Параграф 24. Способы решения системы линейных уравнений с двумя переменными - номер 4.91, страница 282.

№4.91 (с. 282)
Условие. №4.91 (с. 282)
скриншот условия
Алгебра, 7 класс Учебник, авторы: Арефьева Ирина Глебовна, Пирютко Ольга Николаевна, издательство Народная асвета, Минск, 2022, зелёного цвета, страница 282, номер 4.91, Условие

4.91. Решите систему уравнений способом подстановки, используя алгоритм:

а) $\begin{cases} x + y = 6 \\ 5x - 2y = 9 \end{cases}$

б) $\begin{cases} x - 2y = 3 \\ 5x + y = 4 \end{cases}$

в) $\begin{cases} 4x - 9y = 3 \\ x + 3y = 6 \end{cases}$

г) $\begin{cases} 3x - y = -5 \\ -5x + 2y = 1 \end{cases}$

Решение. №4.91 (с. 282)
Алгебра, 7 класс Учебник, авторы: Арефьева Ирина Глебовна, Пирютко Ольга Николаевна, издательство Народная асвета, Минск, 2022, зелёного цвета, страница 282, номер 4.91, Решение Алгебра, 7 класс Учебник, авторы: Арефьева Ирина Глебовна, Пирютко Ольга Николаевна, издательство Народная асвета, Минск, 2022, зелёного цвета, страница 282, номер 4.91, Решение (продолжение 2)
Решение 2. №4.91 (с. 282)

а) Дана система уравнений:

$ \begin{cases} x + y = 6 \\ 5x - 2y = 9 \end{cases} $

1. Выразим переменную $x$ из первого уравнения:

$x = 6 - y$

2. Подставим полученное выражение для $x$ во второе уравнение системы:

$5(6 - y) - 2y = 9$

3. Решим полученное уравнение относительно $y$:

$30 - 5y - 2y = 9$

$30 - 7y = 9$

$-7y = 9 - 30$

$-7y = -21$

$y = 3$

4. Теперь найдем соответствующее значение $x$, подставив значение $y$ в выражение из шага 1:

$x = 6 - 3$

$x = 3$

Проверка:
$3 + 3 = 6$
$5(3) - 2(3) = 15 - 6 = 9$
Решение верное.

Ответ: $(3; 3)$

б) Дана система уравнений:

$ \begin{cases} x - 2y = 3 \\ 5x + y = 4 \end{cases} $

1. Выразим переменную $y$ из второго уравнения, так как у нее коэффициент 1:

$y = 4 - 5x$

2. Подставим полученное выражение для $y$ в первое уравнение системы:

$x - 2(4 - 5x) = 3$

3. Решим полученное уравнение относительно $x$:

$x - 8 + 10x = 3$

$11x - 8 = 3$

$11x = 11$

$x = 1$

4. Теперь найдем соответствующее значение $y$:

$y = 4 - 5(1)$

$y = 4 - 5$

$y = -1$

Проверка:
$1 - 2(-1) = 1 + 2 = 3$
$5(1) + (-1) = 5 - 1 = 4$
Решение верное.

Ответ: $(1; -1)$

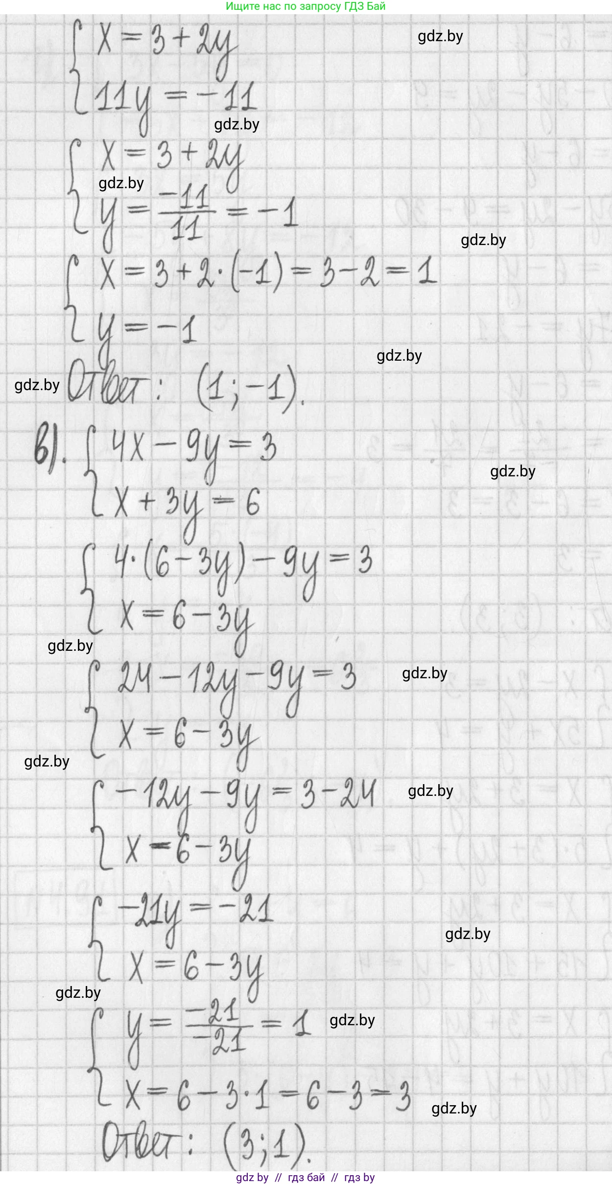
в) Дана система уравнений:

$ \begin{cases} 4x - 9y = 3 \\ x + 3y = 6 \end{cases} $

1. Выразим переменную $x$ из второго уравнения:

$x = 6 - 3y$

2. Подставим полученное выражение для $x$ в первое уравнение системы:

$4(6 - 3y) - 9y = 3$

3. Решим полученное уравнение относительно $y$:

$24 - 12y - 9y = 3$

$24 - 21y = 3$

$-21y = 3 - 24$

$-21y = -21$

$y = 1$

4. Теперь найдем соответствующее значение $x$:

$x = 6 - 3(1)$

$x = 6 - 3$

$x = 3$

Проверка:
$4(3) - 9(1) = 12 - 9 = 3$
$3 + 3(1) = 3 + 3 = 6$
Решение верное.

Ответ: $(3; 1)$

г) Дана система уравнений:

$ \begin{cases} 3x - y = -5 \\ -5x + 2y = 1 \end{cases} $

1. Выразим переменную $y$ из первого уравнения:

$-y = -5 - 3x$

$y = 3x + 5$

2. Подставим полученное выражение для $y$ во второе уравнение системы:

$-5x + 2(3x + 5) = 1$

3. Решим полученное уравнение относительно $x$:

$-5x + 6x + 10 = 1$

$x + 10 = 1$

$x = 1 - 10$

$x = -9$

4. Теперь найдем соответствующее значение $y$:

$y = 3(-9) + 5$

$y = -27 + 5$

$y = -22$

Проверка:
$3(-9) - (-22) = -27 + 22 = -5$
$-5(-9) + 2(-22) = 45 - 44 = 1$
Решение верное.

Ответ: $(-9; -22)$

Помогло решение? Оставьте отзыв в комментариях ниже.

Присоединяйтесь к Телеграм-группе @gdz_by_belarus

Присоединиться

Мы подготовили для вас ответ c подробным объяснением домашего задания по алгебре за 7 класс, для упражнения номер 4.91 расположенного на странице 282 к учебнику 2022 года издания для учащихся школ и гимназий.

Теперь на нашем сайте ГДЗ.ТОП вы всегда легко и бесплатно найдёте условие с правильным ответом на вопрос «Как решить ДЗ» и «Как сделать» задание по алгебре к упражнению №4.91 (с. 282), авторов: Арефьева (Ирина Глебовна), Пирютко (Ольга Николаевна), учебного пособия издательства Народная асвета.