Номер 4.92, страница 282 - гдз по алгебре 7 класс учебник Арефьева, Пирютко

Алгебра, 7 класс Учебник, авторы: Арефьева Ирина Глебовна, Пирютко Ольга Николаевна, издательство Народная асвета, Минск, 2022, зелёного цвета

Авторы: Арефьева И. Г., Пирютко О. Н.

Тип: Учебник

Издательство: Народная асвета

Год издания: 2022 - 2026

Цвет обложки: зелёный с графиком

ISBN: ISBN 978-985-03-3770-2

Допущено Министерством образования Республики Беларусь

Глава 4. Системы двух линейных уравнений с двумя переменными. Параграф 24. Способы решения системы линейных уравнений с двумя переменными - номер 4.92, страница 282.

№4.92 (с. 282)
Условие. №4.92 (с. 282)
скриншот условия
Алгебра, 7 класс Учебник, авторы: Арефьева Ирина Глебовна, Пирютко Ольга Николаевна, издательство Народная асвета, Минск, 2022, зелёного цвета, страница 282, номер 4.92, Условие

4.92. Решите систему уравнений способом подстановки:

a) $\begin{cases} x - 3y + 2 = 0, \\ 2x - 4y + 1 = 0; \end{cases}$

б) $\begin{cases} \frac{1}{2}(x + y) = 8, \\ \frac{1}{4}(x - y) = 4; \end{cases}$

в) $\begin{cases} \frac{7y - x}{3} = -2, \\ \frac{x + 14y}{3} = 4,5; \end{cases}$

г) $\begin{cases} \frac{y}{2} = \frac{x}{5}, \\ 2x + 3y = 16. \end{cases}$

Решение. №4.92 (с. 282)
Алгебра, 7 класс Учебник, авторы: Арефьева Ирина Глебовна, Пирютко Ольга Николаевна, издательство Народная асвета, Минск, 2022, зелёного цвета, страница 282, номер 4.92, Решение Алгебра, 7 класс Учебник, авторы: Арефьева Ирина Глебовна, Пирютко Ольга Николаевна, издательство Народная асвета, Минск, 2022, зелёного цвета, страница 282, номер 4.92, Решение (продолжение 2)
Решение 2. №4.92 (с. 282)

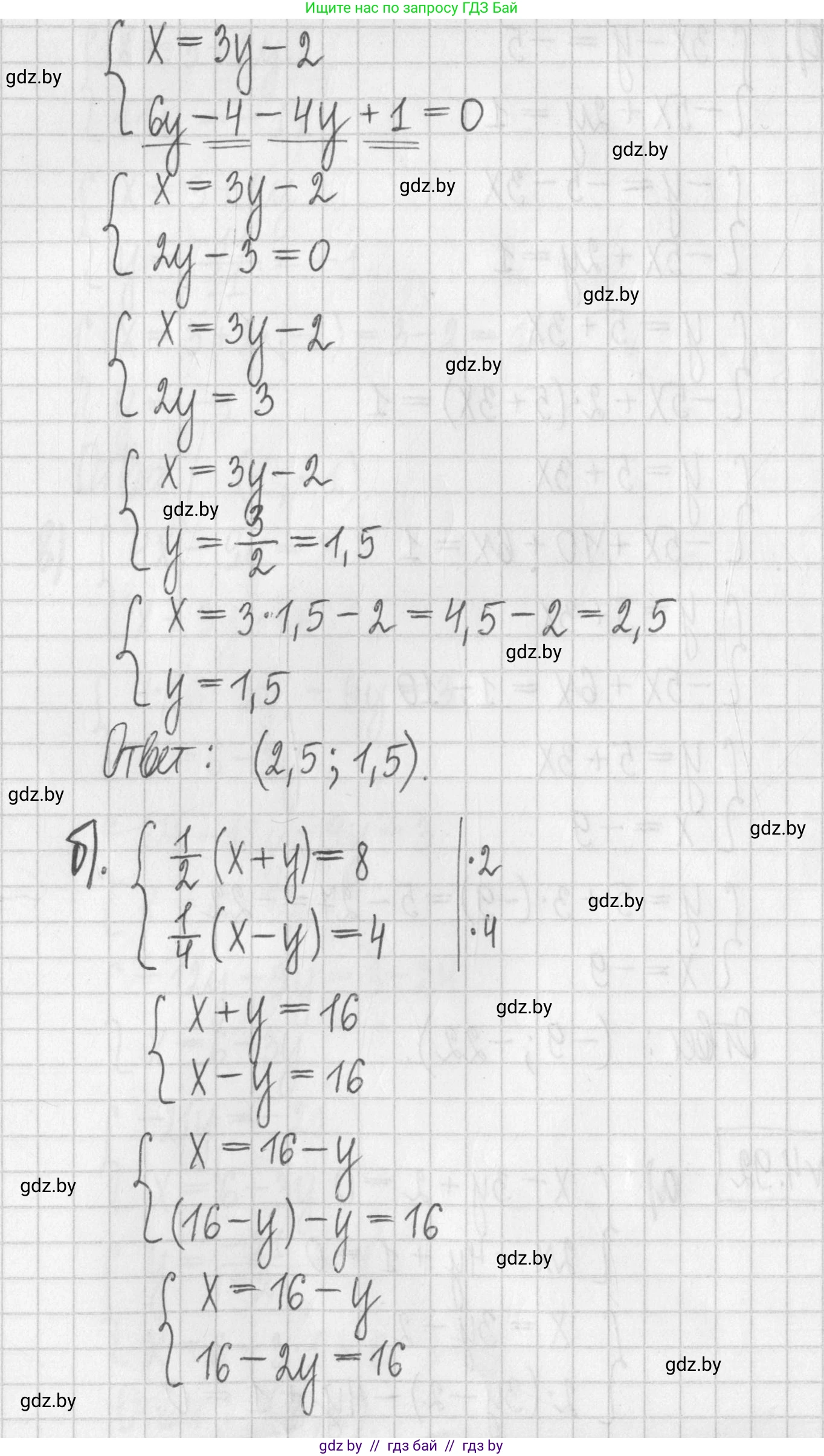
а) Решим систему уравнений способом подстановки: $$ \begin{cases} x - 3y + 2 = 0 \\ 2x - 4y + 1 = 0 \end{cases} $$ 1. Из первого уравнения выразим переменную $x$: $$x = 3y - 2$$ 2. Подставим полученное выражение для $x$ во второе уравнение системы: $$2(3y - 2) - 4y + 1 = 0$$ 3. Решим полученное уравнение, чтобы найти значение $y$: $$6y - 4 - 4y + 1 = 0$$ $$2y - 3 = 0$$ $$2y = 3$$ $$y = \frac{3}{2}$$ 4. Теперь найдем $x$, подставив значение $y = \frac{3}{2}$ в выражение $x = 3y - 2$: $$x = 3 \cdot \frac{3}{2} - 2 = \frac{9}{2} - 2 = \frac{9}{2} - \frac{4}{2} = \frac{5}{2}$$ Решение системы: $x = \frac{5}{2}$, $y = \frac{3}{2}$.
Ответ: $x = 2\frac{1}{2}, y = 1\frac{1}{2}$

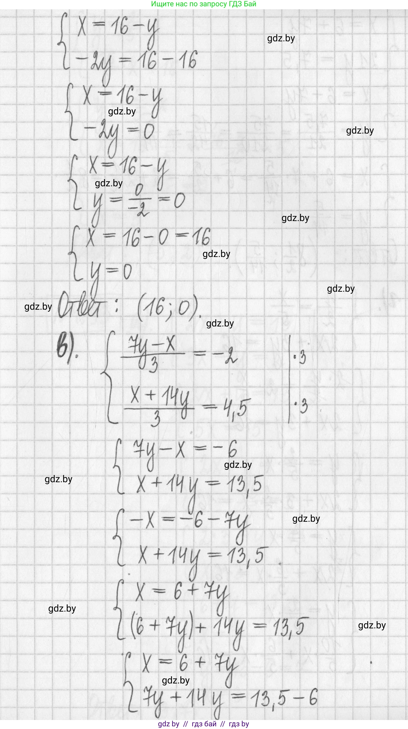
б) Решим систему уравнений способом подстановки: $$ \begin{cases} \frac{1}{2}(x + y) = 8 \\ \frac{1}{4}(x - y) = 4 \end{cases} $$ 1. Упростим оба уравнения, чтобы избавиться от дробей. Умножим первое уравнение на 2, а второе на 4: $$x + y = 8 \cdot 2 \implies x + y = 16$$ $$x - y = 4 \cdot 4 \implies x - y = 16$$ Получим новую, более простую систему: $$ \begin{cases} x + y = 16 \\ x - y = 16 \end{cases} $$ 2. Из первого уравнения выразим $x$: $$x = 16 - y$$ 3. Подставим это выражение во второе уравнение: $$(16 - y) - y = 16$$ $$16 - 2y = 16$$ $$-2y = 0$$ $$y = 0$$ 4. Теперь найдем $x$, подставив $y = 0$ в выражение $x = 16 - y$: $$x = 16 - 0 = 16$$ Ответ: $x = 16, y = 0$

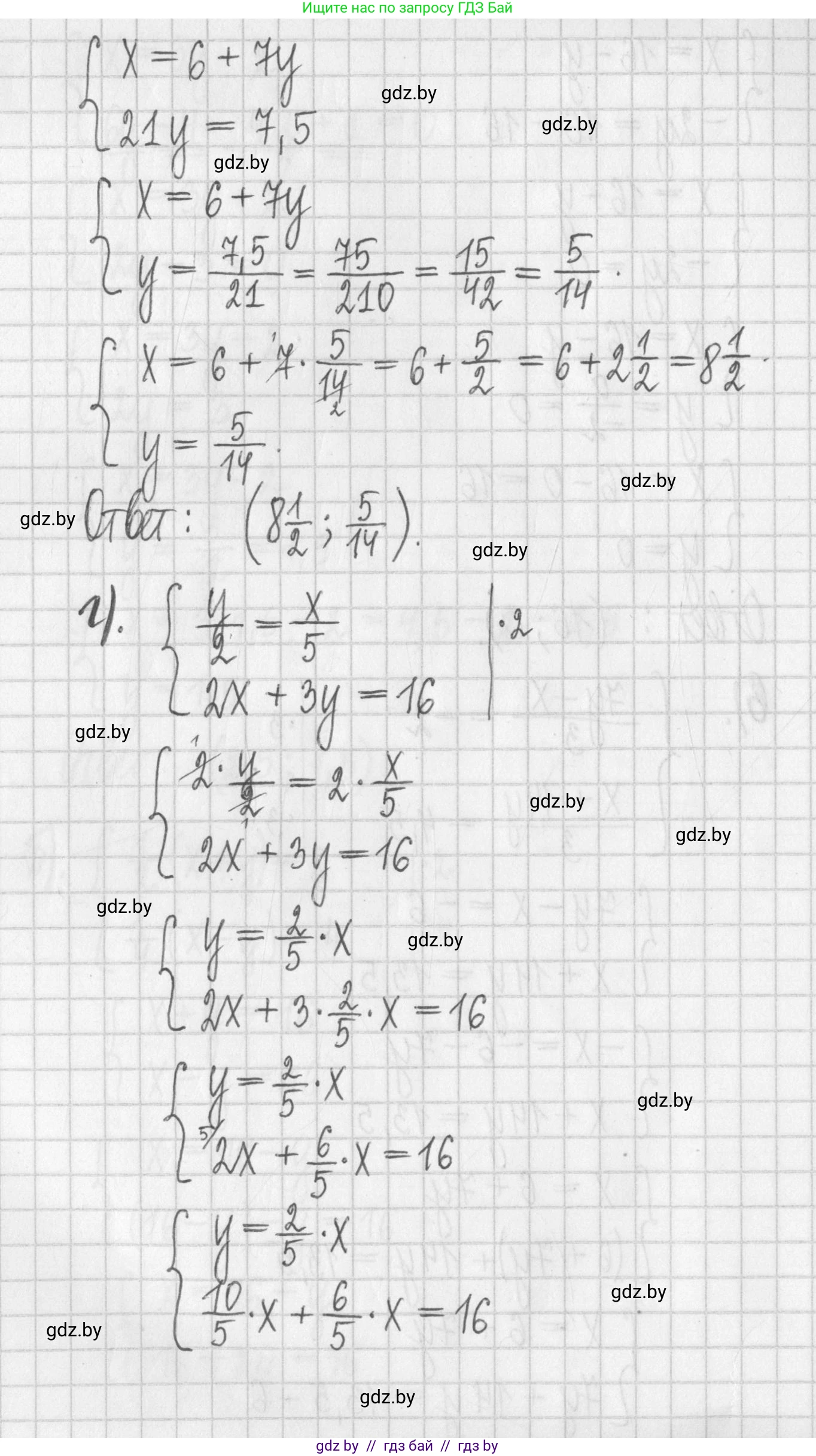
в) Решим систему уравнений способом подстановки: $$ \begin{cases} \frac{7y - x}{3} = -2 \\ \frac{x + 14y}{3} = 4,5 \end{cases} $$ 1. Упростим оба уравнения, умножив каждое на 3: $$7y - x = -2 \cdot 3 \implies 7y - x = -6$$ $$x + 14y = 4,5 \cdot 3 \implies x + 14y = 13,5$$ Получим систему: $$ \begin{cases} 7y - x = -6 \\ x + 14y = 13,5 \end{cases} $$ 2. Из первого уравнения выразим $x$: $$7y + 6 = x \implies x = 7y + 6$$ 3. Подставим это выражение во второе уравнение: $$(7y + 6) + 14y = 13,5$$ $$21y + 6 = 13,5$$ $$21y = 13,5 - 6$$ $$21y = 7,5$$ $$y = \frac{7,5}{21} = \frac{15}{42} = \frac{5}{14}$$ 4. Теперь найдем $x$, подставив $y = \frac{5}{14}$ в выражение $x = 7y + 6$: $$x = 7 \cdot \frac{5}{14} + 6 = \frac{35}{14} + 6 = \frac{5}{2} + 6 = \frac{5}{2} + \frac{12}{2} = \frac{17}{2}$$ Решение системы: $x = \frac{17}{2}$, $y = \frac{5}{14}$.
Ответ: $x = 8\frac{1}{2}, y = \frac{5}{14}$

г) Решим систему уравнений способом подстановки: $$ \begin{cases} \frac{y}{2} = \frac{x}{5} \\ 2x + 3y = 16 \end{cases} $$ 1. Из первого уравнения выразим $y$ через $x$. Для этого умножим обе части на 2: $$y = \frac{2x}{5}$$ 2. Подставим полученное выражение для $y$ во второе уравнение: $$2x + 3\left(\frac{2x}{5}\right) = 16$$ $$2x + \frac{6x}{5} = 16$$ 3. Решим полученное уравнение. Умножим все его части на 5, чтобы избавиться от знаменателя: $$5 \cdot 2x + 5 \cdot \frac{6x}{5} = 5 \cdot 16$$ $$10x + 6x = 80$$ $$16x = 80$$ $$x = \frac{80}{16} = 5$$ 4. Теперь найдем $y$, подставив $x=5$ в выражение $y = \frac{2x}{5}$: $$y = \frac{2 \cdot 5}{5} = 2$$ Ответ: $x = 5, y = 2$

Помогло решение? Оставьте отзыв в комментариях ниже.

Присоединяйтесь к Телеграм-группе @gdz_by_belarus

Присоединиться

Мы подготовили для вас ответ c подробным объяснением домашего задания по алгебре за 7 класс, для упражнения номер 4.92 расположенного на странице 282 к учебнику 2022 года издания для учащихся школ и гимназий.

Теперь на нашем сайте ГДЗ.ТОП вы всегда легко и бесплатно найдёте условие с правильным ответом на вопрос «Как решить ДЗ» и «Как сделать» задание по алгебре к упражнению №4.92 (с. 282), авторов: Арефьева (Ирина Глебовна), Пирютко (Ольга Николаевна), учебного пособия издательства Народная асвета.