Номер 3.353, страница 245 - гдз по алгебре 7 класс учебник Арефьева, Пирютко

Алгебра, 7 класс Учебник, авторы: Арефьева Ирина Глебовна, Пирютко Ольга Николаевна, издательство Народная асвета, Минск, 2022, зелёного цвета

Авторы: Арефьева И. Г., Пирютко О. Н.

Тип: Учебник

Издательство: Народная асвета

Год издания: 2022 - 2026

Цвет обложки: зелёный с графиком

ISBN: ISBN 978-985-03-3770-2

Допущено Министерством образования Республики Беларусь

Глава 3. Линейные уравнения. Линейные неравенства. Линейная функция. Параграф 20. Линейная функция и ее свойства - номер 3.353, страница 245.

№3.353 (с. 245)
Условие. №3.353 (с. 245)
скриншот условия
Алгебра, 7 класс Учебник, авторы: Арефьева Ирина Глебовна, Пирютко Ольга Николаевна, издательство Народная асвета, Минск, 2022, зелёного цвета, страница 245, номер 3.353, Условие

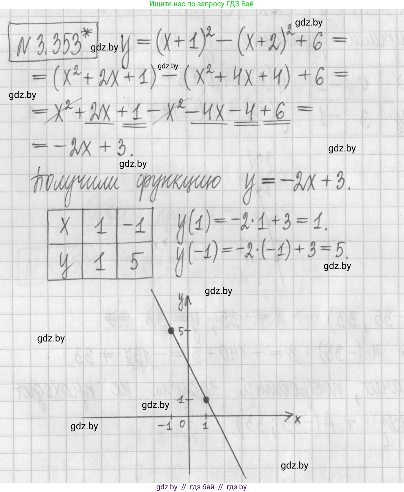
3.353*. Постройте график функции $y=(x+1)^2-(x+2)^2+6$. Найдите координаты точек пересечения графика функции с осями координат.

Решение. №3.353 (с. 245)
Алгебра, 7 класс Учебник, авторы: Арефьева Ирина Глебовна, Пирютко Ольга Николаевна, издательство Народная асвета, Минск, 2022, зелёного цвета, страница 245, номер 3.353, Решение Алгебра, 7 класс Учебник, авторы: Арефьева Ирина Глебовна, Пирютко Ольга Николаевна, издательство Народная асвета, Минск, 2022, зелёного цвета, страница 245, номер 3.353, Решение (продолжение 2)
Решение 2. №3.353 (с. 245)

Дана функция: $y = (x + 1)^2 - (x + 2)^2 + 6$.

Для того чтобы построить график и найти точки пересечения, сначала упростим выражение для функции. Воспользуемся формулой квадрата суммы $(a+b)^2 = a^2 + 2ab + b^2$.

$(x + 1)^2 = x^2 + 2 \cdot x \cdot 1 + 1^2 = x^2 + 2x + 1$

$(x + 2)^2 = x^2 + 2 \cdot x \cdot 2 + 2^2 = x^2 + 4x + 4$

Теперь подставим полученные выражения в исходное уравнение функции:

$y = (x^2 + 2x + 1) - (x^2 + 4x + 4) + 6$

Раскроем скобки, обращая внимание на знак минус перед вторыми скобками, и приведем подобные слагаемые:

$y = x^2 + 2x + 1 - x^2 - 4x - 4 + 6$

$y = (x^2 - x^2) + (2x - 4x) + (1 - 4 + 6)$

$y = -2x + 3$

Таким образом, исходная функция является линейной функцией вида $y = kx + b$, где $k = -2$ и $b = 3$. Графиком такой функции является прямая.

Постройте график функции $y=(x+1)^2-(x+2)^2+6$.

Мы установили, что данная функция эквивалентна линейной функции $y = -2x + 3$. Для построения графика прямой достаточно найти координаты двух точек, принадлежащих этой прямой. Удобнее всего использовать точки пересечения с осями координат.

1. Точка пересечения с осью ординат (Oy): $x=0$.

$y = -2 \cdot 0 + 3 = 3$. Получаем точку $(0, 3)$.

2. Точка пересечения с осью абсцисс (Ox): $y=0$.

$0 = -2x + 3 \implies 2x = 3 \implies x = \frac{3}{2}$. Получаем точку $(\frac{3}{2}, 0)$.

Для построения графика необходимо отметить на координатной плоскости точки $(0, 3)$ и $(\frac{3}{2}, 0)$, что соответствует точке $(1\frac{1}{2}, 0)$, и провести через них прямую линию.

Ответ: Графиком функции является прямая линия, заданная уравнением $y=-2x+3$, которая проходит через точки $(0, 3)$ и $(1\frac{1}{2}, 0)$.

Найдите координаты точек пересечения графика функции с осями координат.

Используем упрощенное уравнение $y = -2x + 3$.

1. Пересечение с осью ординат (Oy):

Координата $x$ в точке пересечения с осью Oy равна нулю. Подставляем $x=0$ в уравнение:

$y = -2 \cdot 0 + 3 = 3$.

Координаты точки пересечения с осью Oy: $(0, 3)$.

2. Пересечение с осью абсцисс (Ox):

Координата $y$ в точке пересечения с осью Ox равна нулю. Подставляем $y=0$ в уравнение:

$0 = -2x + 3$

$2x = 3$

$x = \frac{3}{2}$

Координаты точки пересечения с осью Ox: $(\frac{3}{2}, 0)$.

Ответ: Точка пересечения с осью Oy: $(0, 3)$; точка пересечения с осью Ox: $(1\frac{1}{2}, 0)$.

Помогло решение? Оставьте отзыв в комментариях ниже.

Присоединяйтесь к Телеграм-группе @gdz_by_belarus

Присоединиться

Мы подготовили для вас ответ c подробным объяснением домашего задания по алгебре за 7 класс, для упражнения номер 3.353 расположенного на странице 245 к учебнику 2022 года издания для учащихся школ и гимназий.

Теперь на нашем сайте ГДЗ.ТОП вы всегда легко и бесплатно найдёте условие с правильным ответом на вопрос «Как решить ДЗ» и «Как сделать» задание по алгебре к упражнению №3.353 (с. 245), авторов: Арефьева (Ирина Глебовна), Пирютко (Ольга Николаевна), учебного пособия издательства Народная асвета.