Номер 3.356, страница 245 - гдз по алгебре 7 класс учебник Арефьева, Пирютко

Алгебра, 7 класс Учебник, авторы: Арефьева Ирина Глебовна, Пирютко Ольга Николаевна, издательство Народная асвета, Минск, 2022, зелёного цвета

Авторы: Арефьева И. Г., Пирютко О. Н.

Тип: Учебник

Издательство: Народная асвета

Год издания: 2022 - 2026

Цвет обложки: зелёный с графиком

ISBN: ISBN 978-985-03-3770-2

Допущено Министерством образования Республики Беларусь

Глава 3. Линейные уравнения. Линейные неравенства. Линейная функция. Параграф 20. Линейная функция и ее свойства - номер 3.356, страница 245.

№3.356 (с. 245)
Условие. №3.356 (с. 245)
скриншот условия
Алгебра, 7 класс Учебник, авторы: Арефьева Ирина Глебовна, Пирютко Ольга Николаевна, издательство Народная асвета, Минск, 2022, зелёного цвета, страница 245, номер 3.356, Условие

3.356*. Постройте прямую $y = -2x + 1$ и прямую, симметричную ей относительно:

а) оси ординат;

б) оси абсцисс;

в) начала координат.

В каждом случае запишите уравнение построенной прямой.

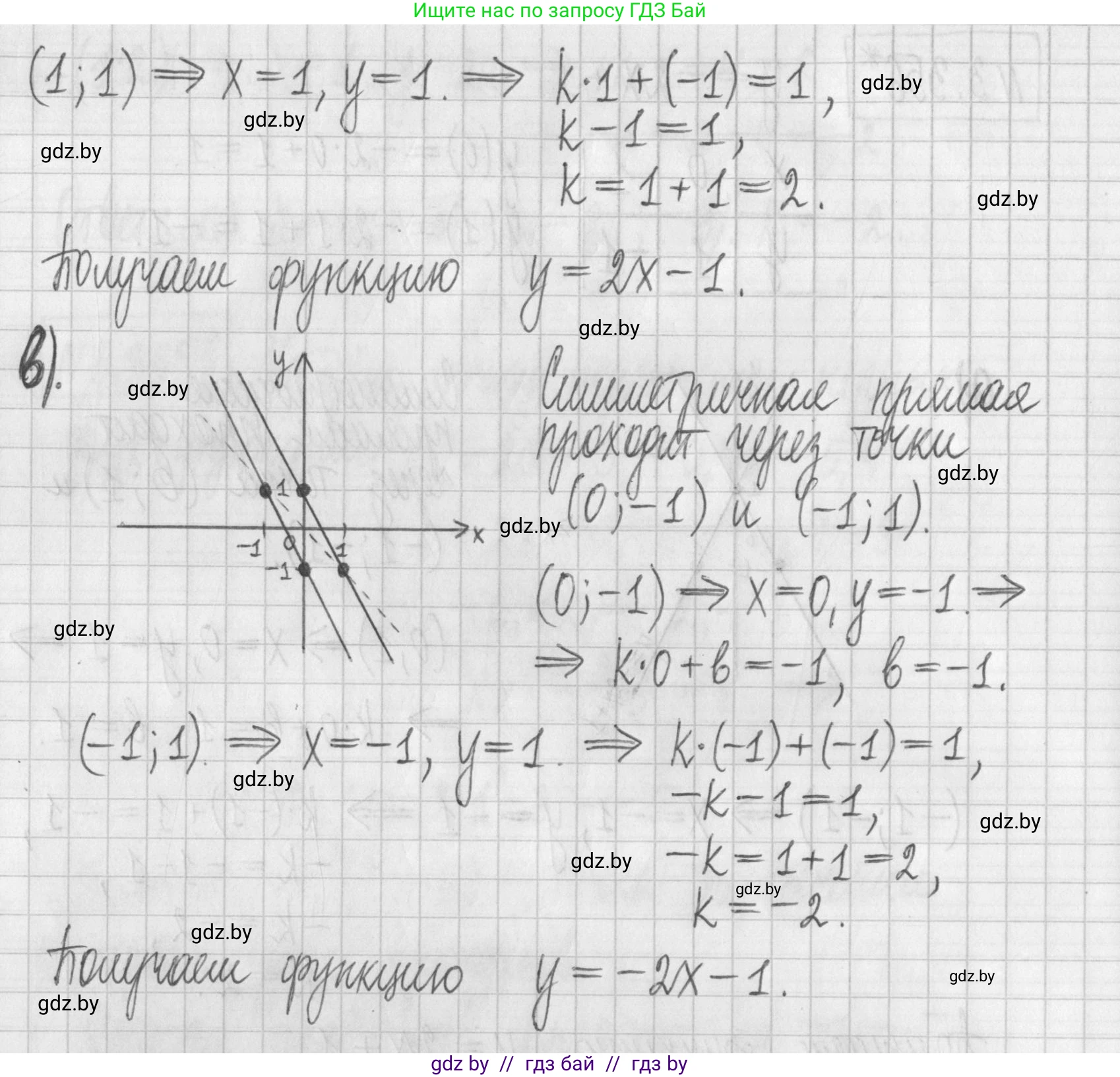
Решение. №3.356 (с. 245)
Алгебра, 7 класс Учебник, авторы: Арефьева Ирина Глебовна, Пирютко Ольга Николаевна, издательство Народная асвета, Минск, 2022, зелёного цвета, страница 245, номер 3.356, Решение Алгебра, 7 класс Учебник, авторы: Арефьева Ирина Глебовна, Пирютко Ольга Николаевна, издательство Народная асвета, Минск, 2022, зелёного цвета, страница 245, номер 3.356, Решение (продолжение 2)
Решение 2. №3.356 (с. 245)

Дана прямая, заданная уравнением $y = -2x + 1$. Необходимо найти уравнения прямых, симметричных данной относительно оси ординат, оси абсцисс и начала координат.

Для решения задачи будем использовать правила преобразования координат точек при симметрии.

а) оси ординат
При симметрии относительно оси ординат (оси OY), любая точка с координатами $(x, y)$ переходит в точку с координатами $(-x, y)$.
Чтобы найти уравнение новой прямой, необходимо в исходном уравнении $y = -2x + 1$ заменить переменную $x$ на $-x$:
$y = -2(-x) + 1$
Упростим полученное выражение:
$y = 2x + 1$
Ответ: $y = 2x + 1$.

б) оси абсцисс
При симметрии относительно оси абсцисс (оси OX), любая точка с координатами $(x, y)$ переходит в точку с координатами $(x, -y)$.
Чтобы найти уравнение новой прямой, необходимо в исходном уравнении $y = -2x + 1$ заменить переменную $y$ на $-y$:
$-y = -2x + 1$
Теперь выразим $y$, умножив обе части уравнения на -1:
$y = -(-2x + 1)$
$y = 2x - 1$
Ответ: $y = 2x - 1$.

в) начала координат
При симметрии относительно начала координат (точки O(0,0)), любая точка с координатами $(x, y)$ переходит в точку с координатами $(-x, -y)$.
Чтобы найти уравнение новой прямой, необходимо в исходном уравнении $y = -2x + 1$ заменить $x$ на $-x$ и $y$ на $-y$:
$-y = -2(-x) + 1$
Упростим правую часть:
$-y = 2x + 1$
Теперь выразим $y$, умножив обе части уравнения на -1:
$y = -(2x + 1)$
$y = -2x - 1$
Ответ: $y = -2x - 1$.

Помогло решение? Оставьте отзыв в комментариях ниже.

Присоединяйтесь к Телеграм-группе @gdz_by_belarus

Присоединиться

Мы подготовили для вас ответ c подробным объяснением домашего задания по алгебре за 7 класс, для упражнения номер 3.356 расположенного на странице 245 к учебнику 2022 года издания для учащихся школ и гимназий.

Теперь на нашем сайте ГДЗ.ТОП вы всегда легко и бесплатно найдёте условие с правильным ответом на вопрос «Как решить ДЗ» и «Как сделать» задание по алгебре к упражнению №3.356 (с. 245), авторов: Арефьева (Ирина Глебовна), Пирютко (Ольга Николаевна), учебного пособия издательства Народная асвета.