Номер 17.1, страница 94 - гдз по геометрии 7-9 класс сборник задач Кононов, Адамович

Геометрия, 7-9 класс Сборник задач, авторы: Кононов Сергей Гаврилович, Адамович Тамара Антоновна, Ефимцева Ирина Валерьяновна, Ячейко Таиса Владимировна, издательство Народная асвета, Минск, 2023

Авторы: Кононов С. Г., Адамович Т. А., Ефимцева И. В., Ячейко Т. В.

Тип: Сборник задач

Издательство: Народная асвета

Год издания: 2023 - 2026

Цвет обложки: синий, розовый с треугольником

Допущено Министерством образования Республики Беларусь

Популярные ГДЗ в 7 классе

8 класс. Параграф 17. Площадь трапеции - номер 17.1, страница 94.

№17.1 (с. 94)
Условие. №17.1 (с. 94)
скриншот условия
Геометрия, 7-9 класс Сборник задач, авторы: Кононов Сергей Гаврилович, Адамович Тамара Антоновна, Ефимцева Ирина Валерьяновна, Ячейко Таиса Владимировна, издательство Народная асвета, Минск, 2023, страница 94, номер 17.1, Условие

17.1. Найдите площадь трапеции (рис. 150, а)—г)), если размер одной клетки $1 \times 1$ см.

а)б)в)г)

Рис. 150

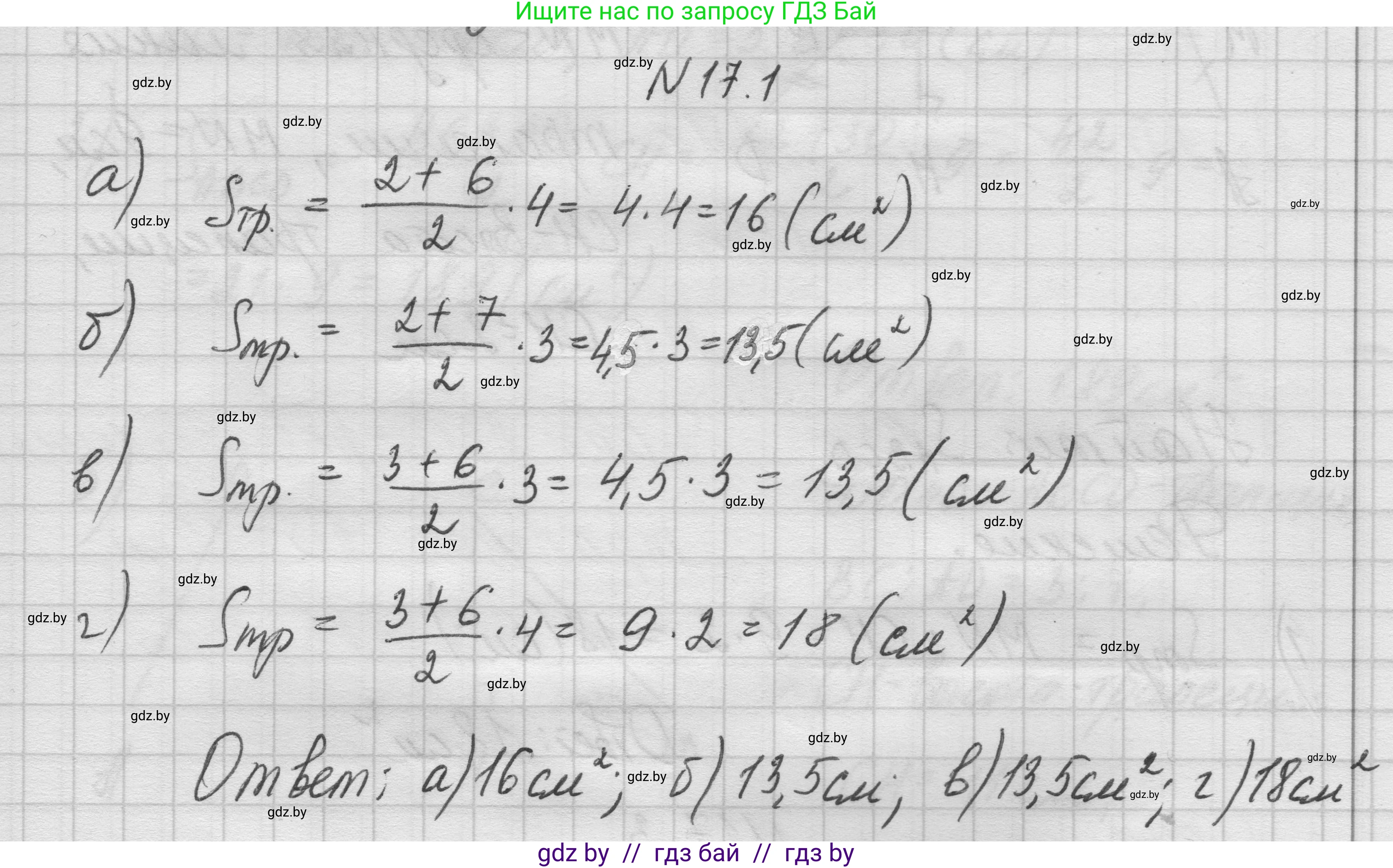
Решение 1. №17.1 (с. 94)
Геометрия, 7-9 класс Сборник задач, авторы: Кононов Сергей Гаврилович, Адамович Тамара Антоновна, Ефимцева Ирина Валерьяновна, Ячейко Таиса Владимировна, издательство Народная асвета, Минск, 2023, страница 94, номер 17.1, Решение 1
Решение 2. №17.1 (с. 94)
Геометрия, 7-9 класс Сборник задач, авторы: Кононов Сергей Гаврилович, Адамович Тамара Антоновна, Ефимцева Ирина Валерьяновна, Ячейко Таиса Владимировна, издательство Народная асвета, Минск, 2023, страница 94, номер 17.1, Решение 2
Решение 3. №17.1 (с. 94)

a) Для нахождения площади трапеции используется формула $S = \frac{a + b}{2} \cdot h$, где $a$ и $b$ — длины параллельных оснований, а $h$ — высота. В данном случае основаниями трапеции являются её горизонтальные стороны. Длина верхнего основания $a$ составляет 2 клетки, то есть $a = 2$ см. Длина нижнего основания $b$ составляет 6 клеток, то есть $b = 6$ см. Высота $h$, перпендикулярное расстояние между основаниями, составляет 3 клетки, то есть $h = 3$ см. Подставим значения в формулу: $S = \frac{2 + 6}{2} \cdot 3 = \frac{8}{2} \cdot 3 = 4 \cdot 3 = 12$ см².
Ответ: 12 см².

б) Используем ту же формулу площади трапеции $S = \frac{a + b}{2} \cdot h$. Длина верхнего основания $a = 4$ см (4 клетки). Длина нижнего основания $b = 6$ см (6 клеток). Высота $h = 3$ см (3 клетки). Вычисляем площадь: $S = \frac{4 + 6}{2} \cdot 3 = \frac{10}{2} \cdot 3 = 5 \cdot 3 = 15$ см².
Ответ: 15 см².

в) Эта трапеция является прямоугольной, её основания — горизонтальные стороны. Длина верхнего основания $a = 3$ см (3 клетки). Длина нижнего основания $b = 5$ см (5 клеток). Высота $h = 2$ см (2 клетки). Подставляем значения в формулу $S = \frac{a + b}{2} \cdot h$: $S = \frac{3 + 5}{2} \cdot 2 = \frac{8}{2} \cdot 2 = 8$ см².
Ответ: 8 см².

г) У данной трапеции основаниями являются вертикальные стороны. Длина левого основания $a = 3$ см (3 клетки). Длина правого основания $b = 1$ см (1 клетка). Высота $h$, то есть горизонтальное расстояние между основаниями, равна 4 см (4 клетки). Применяем формулу $S = \frac{a + b}{2} \cdot h$: $S = \frac{3 + 1}{2} \cdot 4 = \frac{4}{2} \cdot 4 = 2 \cdot 4 = 8$ см².
Ответ: 8 см².

Помогло решение? Оставьте отзыв в комментариях ниже.

Присоединяйтесь к Телеграм-группе @gdz_by_belarus

Присоединиться

Мы подготовили для вас ответ c подробным объяснением домашего задания по геометрии за 7-9 класс, для упражнения номер 17.1 расположенного на странице 94 к сборнику задач 2023 года издания для учащихся школ и гимназий.

Теперь на нашем сайте ГДЗ.ТОП вы всегда легко и бесплатно найдёте условие с правильным ответом на вопрос «Как решить ДЗ» и «Как сделать» задание по геометрии к упражнению №17.1 (с. 94), авторов: Кононов (Сергей Гаврилович), Адамович (Тамара Антоновна), Ефимцева (Ирина Валерьяновна), Ячейко (Таиса Владимировна), учебного пособия издательства Народная асвета.