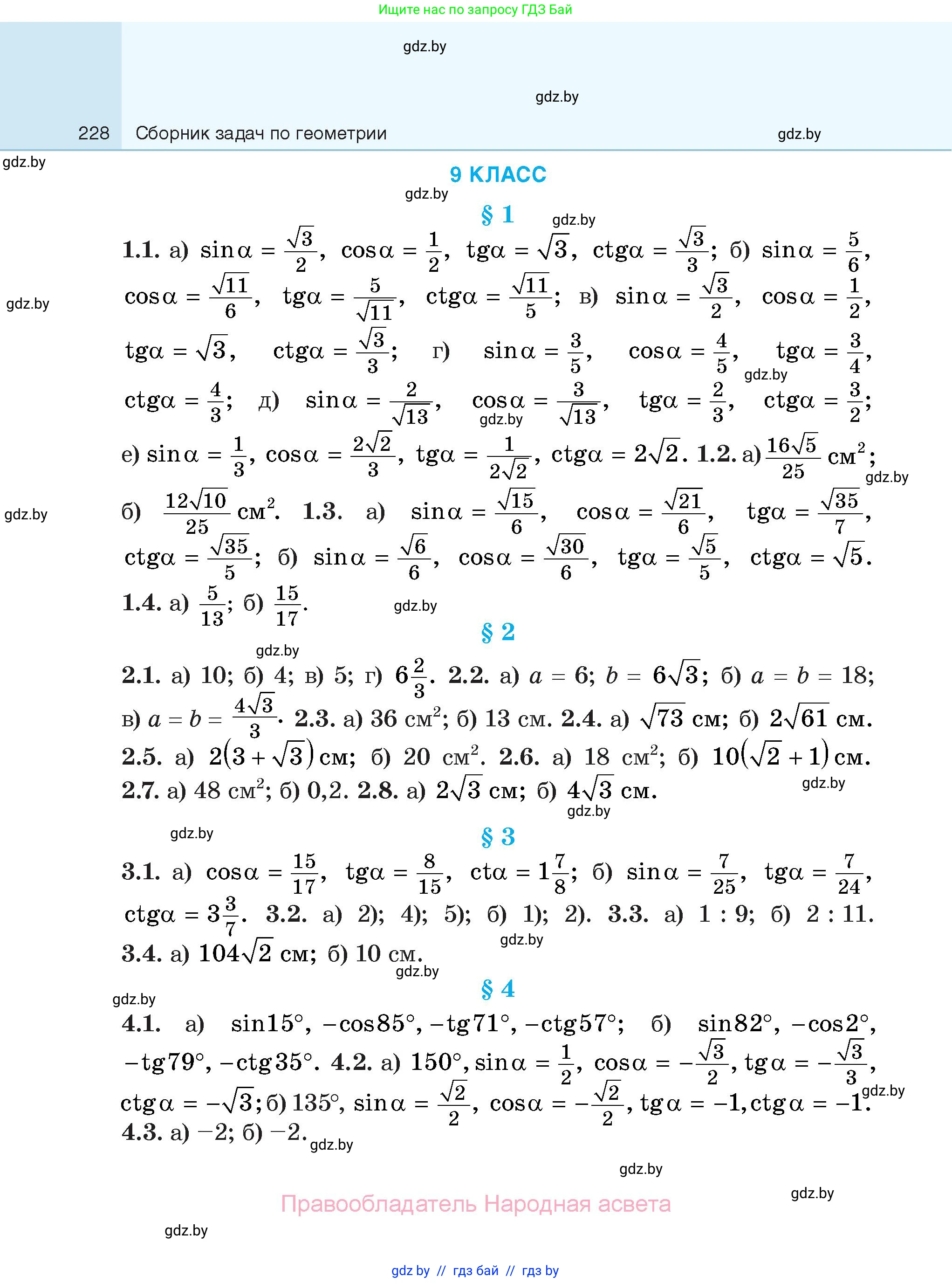
Страница 228 - гдз по геометрии 7-9 класс сборник задач Кононов, Адамович

Геометрия, 7-9 класс Сборник задач, авторы: Кононов Сергей Гаврилович, Адамович Тамара Антоновна, Ефимцева Ирина Валерьяновна, Ячейко Таиса Владимировна, издательство Народная асвета, Минск, 2023

Авторы: Кононов С. Г., Адамович Т. А., Ефимцева И. В., Ячейко Т. В.

Тип: Сборник задач

Издательство: Народная асвета

Год издания: 2023 - 2026

Цвет обложки: синий, розовый с треугольником

Допущено Министерством образования Республики Беларусь

Cтраница 228

Геометрия, 7-9 класс Сборник задач, авторы: Кононов Сергей Гаврилович, Адамович Тамара Антоновна, Ефимцева Ирина Валерьяновна, Ячейко Таиса Владимировна, издательство Народная асвета, Минск, 2023, страница 228
Ваш номер не отображается здесь?
Такое бывает: задание могло начаться на предыдущей или следующей странице.

Помогло решение? Оставьте отзыв в комментариях ниже.

Присоединяйтесь к Телеграм-группе @gdz_by_belarus

Присоединиться