Номер 1.203, страница 57 - гдз по алгебре 8 класс учебник Арефьева, Пирютко

Алгебра, 8 класс Учебник, авторы: Арефьева Ирина Глебовна, Пирютко Ольга Николаевна, издательство Адукацыя i выхаванне, Минск, 2024, бирюзового цвета

Авторы: Арефьева И. Г., Пирютко О. Н.

Тип: Учебник

Издательство: Адукацыя i выхаванне

Год издания: 2024 - 2026

Цвет обложки: бирюзовый с графиком

ISBN: ISBN 978-985-03-4081-8

Допущено Министерством образования Республики Беларусь

Популярные ГДЗ в 8 классе

Глава 1. Квадратные корни и их свойства. Действительные числа. Параграф 4. Применение свойств квадратных корней - номер 1.203, страница 57.

№1.203 (с. 57)
Условие. №1.203 (с. 57)
скриншот условия
Алгебра, 8 класс Учебник, авторы: Арефьева Ирина Глебовна, Пирютко Ольга Николаевна, издательство Адукацыя i выхаванне, Минск, 2024, бирюзового цвета, страница 57, номер 1.203, Условие

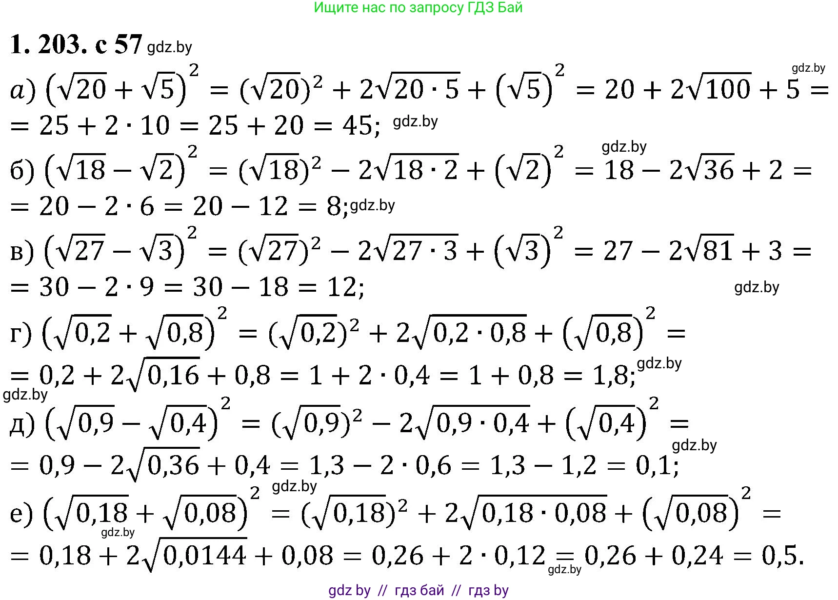
1.203. Найдите значение выражения:

а) $(\sqrt{20} + \sqrt{5})^2;$

б) $(\sqrt{18} - \sqrt{2})^2;$

в) $(\sqrt{27} - \sqrt{3})^2;$

г) $(\sqrt{0,2} + \sqrt{0,8})^2;$

д) $(\sqrt{0,9} - \sqrt{0,4})^2;$

е) $(\sqrt{0,18} + \sqrt{0,08})^2.$

Решение. №1.203 (с. 57)
Алгебра, 8 класс Учебник, авторы: Арефьева Ирина Глебовна, Пирютко Ольга Николаевна, издательство Адукацыя i выхаванне, Минск, 2024, бирюзового цвета, страница 57, номер 1.203, Решение
Решение 2. №1.203 (с. 57)

а) Для того чтобы найти значение выражения $(\sqrt{20} + \sqrt{5})^2$, воспользуемся одним из двух способов.
Способ 1: Применим формулу квадрата суммы $(a+b)^2 = a^2 + 2ab + b^2$.
$(\sqrt{20} + \sqrt{5})^2 = (\sqrt{20})^2 + 2 \cdot \sqrt{20} \cdot \sqrt{5} + (\sqrt{5})^2 = 20 + 2\sqrt{20 \cdot 5} + 5 = 25 + 2\sqrt{100} = 25 + 2 \cdot 10 = 25 + 20 = 45$.
Способ 2: Упростим выражение в скобках, вынеся множитель из-под знака корня.
$\sqrt{20} = \sqrt{4 \cdot 5} = 2\sqrt{5}$.
Тогда: $(2\sqrt{5} + \sqrt{5})^2 = (3\sqrt{5})^2 = 3^2 \cdot (\sqrt{5})^2 = 9 \cdot 5 = 45$.
Ответ: 45.

б) Для выражения $(\sqrt{18} - \sqrt{2})^2$ сначала упростим $\sqrt{18}$, вынеся множитель из-под корня.
$\sqrt{18} = \sqrt{9 \cdot 2} = 3\sqrt{2}$.
Подставим это значение в исходное выражение:
$(3\sqrt{2} - \sqrt{2})^2 = (2\sqrt{2})^2$.
Теперь возведем в квадрат:
$(2\sqrt{2})^2 = 2^2 \cdot (\sqrt{2})^2 = 4 \cdot 2 = 8$.
Ответ: 8.

в) Найдем значение выражения $(\sqrt{27} - \sqrt{3})^2$. Упростим $\sqrt{27}$.
$\sqrt{27} = \sqrt{9 \cdot 3} = 3\sqrt{3}$.
Подставим в выражение:
$(3\sqrt{3} - \sqrt{3})^2 = (2\sqrt{3})^2$.
Возведем в квадрат:
$(2\sqrt{3})^2 = 2^2 \cdot (\sqrt{3})^2 = 4 \cdot 3 = 12$.
Ответ: 12.

г) Для выражения $(\sqrt{0,2} + \sqrt{0,8})^2$ упростим $\sqrt{0,8}$, представив подкоренное выражение как произведение.
$\sqrt{0,8} = \sqrt{4 \cdot 0,2} = 2\sqrt{0,2}$.
Подставим в выражение:
$(\sqrt{0,2} + 2\sqrt{0,2})^2 = (3\sqrt{0,2})^2$.
Возведем в квадрат:
$(3\sqrt{0,2})^2 = 3^2 \cdot (\sqrt{0,2})^2 = 9 \cdot 0,2 = 1,8$.
Число $1,8$ в виде неправильной дроби это $\frac{18}{10}$. Целая часть равна 1.
Ответ: 1,8.

д) Найдем значение $(\sqrt{0,9} - \sqrt{0,4})^2$. Упростим подкоренные выражения.
$\sqrt{0,9} = \sqrt{9 \cdot 0,1} = 3\sqrt{0,1}$.
$\sqrt{0,4} = \sqrt{4 \cdot 0,1} = 2\sqrt{0,1}$.
Подставим в выражение:
$(3\sqrt{0,1} - 2\sqrt{0,1})^2 = (\sqrt{0,1})^2 = 0,1$.
Число $0,1$ в виде дроби это $\frac{1}{10}$, что является правильной дробью.
Ответ: 0,1.

е) Для выражения $(\sqrt{0,18} + \sqrt{0,08})^2$ упростим подкоренные выражения, выделив общий множитель.
$\sqrt{0,18} = \sqrt{9 \cdot 0,02} = 3\sqrt{0,02}$.
$\sqrt{0,08} = \sqrt{4 \cdot 0,02} = 2\sqrt{0,02}$.
Подставим в выражение:
$(3\sqrt{0,02} + 2\sqrt{0,02})^2 = (5\sqrt{0,02})^2$.
Возведем в квадрат:
$(5\sqrt{0,02})^2 = 5^2 \cdot (\sqrt{0,02})^2 = 25 \cdot 0,02 = 0,5$.
Число $0,5$ в виде дроби это $\frac{1}{2}$, что является правильной дробью.
Ответ: 0,5.

Помогло решение? Оставьте отзыв в комментариях ниже.

Присоединяйтесь к Телеграм-группе @gdz_by_belarus

Присоединиться

Мы подготовили для вас ответ c подробным объяснением домашего задания по алгебре за 8 класс, для упражнения номер 1.203 расположенного на странице 57 к учебнику 2024 года издания для учащихся школ и гимназий.

Теперь на нашем сайте ГДЗ.ТОП вы всегда легко и бесплатно найдёте условие с правильным ответом на вопрос «Как решить ДЗ» и «Как сделать» задание по алгебре к упражнению №1.203 (с. 57), авторов: Арефьева (Ирина Глебовна), Пирютко (Ольга Николаевна), учебного пособия издательства Адукацыя i выхаванне.