Номер 1.208, страница 58 - гдз по алгебре 8 класс учебник Арефьева, Пирютко

Алгебра, 8 класс Учебник, авторы: Арефьева Ирина Глебовна, Пирютко Ольга Николаевна, издательство Адукацыя i выхаванне, Минск, 2024, бирюзового цвета

Авторы: Арефьева И. Г., Пирютко О. Н.

Тип: Учебник

Издательство: Адукацыя i выхаванне

Год издания: 2024 - 2026

Цвет обложки: бирюзовый с графиком

ISBN: ISBN 978-985-03-4081-8

Допущено Министерством образования Республики Беларусь

Популярные ГДЗ в 8 классе

Глава 1. Квадратные корни и их свойства. Действительные числа. Параграф 4. Применение свойств квадратных корней - номер 1.208, страница 58.

№1.208 (с. 58)
Условие. №1.208 (с. 58)
скриншот условия
Алгебра, 8 класс Учебник, авторы: Арефьева Ирина Глебовна, Пирютко Ольга Николаевна, издательство Адукацыя i выхаванне, Минск, 2024, бирюзового цвета, страница 58, номер 1.208, Условие

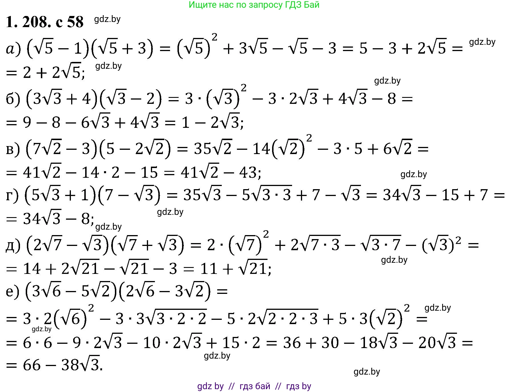
1.208. Выполните умножение:

а) $(\sqrt{5} - 1)(\sqrt{5} + 3)$;

б) $(3\sqrt{3} + 4)(\sqrt{3} - 2)$;

в) $(7\sqrt{2} - 3)(5 - 2\sqrt{2})$;

г) $(5\sqrt{3} + 1)(7 - \sqrt{3})$;

д) $(2\sqrt{7} - \sqrt{3})(\sqrt{7} + \sqrt{3})$;

е) $(3\sqrt{6} - 5\sqrt{2})(2\sqrt{6} - 3\sqrt{2}).

Решение. №1.208 (с. 58)
Алгебра, 8 класс Учебник, авторы: Арефьева Ирина Глебовна, Пирютко Ольга Николаевна, издательство Адукацыя i выхаванне, Минск, 2024, бирюзового цвета, страница 58, номер 1.208, Решение
Решение 2. №1.208 (с. 58)

а) Для того чтобы выполнить умножение $(\sqrt{5}-1)(\sqrt{5}+3)$, используем правило умножения двучленов: каждый член первого двучлена умножается на каждый член второго двучлена.
$(\sqrt{5}-1)(\sqrt{5}+3) = \sqrt{5} \cdot \sqrt{5} + \sqrt{5} \cdot 3 - 1 \cdot \sqrt{5} - 1 \cdot 3$
Упрощаем полученное выражение, помня, что $(\sqrt{a})^2 = a$:
$= (\sqrt{5})^2 + 3\sqrt{5} - \sqrt{5} - 3 = 5 + 3\sqrt{5} - \sqrt{5} - 3$
Группируем и приводим подобные слагаемые:
$= (5 - 3) + (3\sqrt{5} - \sqrt{5}) = 2 + 2\sqrt{5}$
Ответ: $2 + 2\sqrt{5}$

б) Умножим двучлены $(3\sqrt{3}+4)(\sqrt{3}-2)$, применяя правило дистрибутивности.
$(3\sqrt{3}+4)(\sqrt{3}-2) = 3\sqrt{3} \cdot \sqrt{3} + 3\sqrt{3} \cdot (-2) + 4 \cdot \sqrt{3} + 4 \cdot (-2)$
Упрощаем каждый член произведения:
$= 3(\sqrt{3})^2 - 6\sqrt{3} + 4\sqrt{3} - 8 = 3 \cdot 3 - 6\sqrt{3} + 4\sqrt{3} - 8 = 9 - 6\sqrt{3} + 4\sqrt{3} - 8$
Группируем и приводим подобные слагаемые:
$= (9 - 8) + (-6\sqrt{3} + 4\sqrt{3}) = 1 - 2\sqrt{3}$
Ответ: $1 - 2\sqrt{3}$

в) Выполним умножение $(7\sqrt{2}-3)(5-2\sqrt{2})$.
$(7\sqrt{2}-3)(5-2\sqrt{2}) = 7\sqrt{2} \cdot 5 + 7\sqrt{2} \cdot (-2\sqrt{2}) - 3 \cdot 5 - 3 \cdot (-2\sqrt{2})$
Упрощаем выражение:
$= 35\sqrt{2} - 14(\sqrt{2})^2 - 15 + 6\sqrt{2} = 35\sqrt{2} - 14 \cdot 2 - 15 + 6\sqrt{2} = 35\sqrt{2} - 28 - 15 + 6\sqrt{2}$
Приводим подобные слагаемые:
$= (-28 - 15) + (35\sqrt{2} + 6\sqrt{2}) = -43 + 41\sqrt{2}$
Ответ: $-43 + 41\sqrt{2}$

г) Умножим $(5\sqrt{3}+1)(7-\sqrt{3})$.
$(5\sqrt{3}+1)(7-\sqrt{3}) = 5\sqrt{3} \cdot 7 + 5\sqrt{3} \cdot (-\sqrt{3}) + 1 \cdot 7 + 1 \cdot (-\sqrt{3})$
Упрощаем:
$= 35\sqrt{3} - 5(\sqrt{3})^2 + 7 - \sqrt{3} = 35\sqrt{3} - 5 \cdot 3 + 7 - \sqrt{3} = 35\sqrt{3} - 15 + 7 - \sqrt{3}$
Группируем и приводим подобные слагаемые:
$= (-15 + 7) + (35\sqrt{3} - \sqrt{3}) = -8 + 34\sqrt{3}$
Ответ: $-8 + 34\sqrt{3}$

д) Выполним умножение $(2\sqrt{7}-\sqrt{3})(\sqrt{7}+\sqrt{3})$.
$(2\sqrt{7}-\sqrt{3})(\sqrt{7}+\sqrt{3}) = 2\sqrt{7} \cdot \sqrt{7} + 2\sqrt{7} \cdot \sqrt{3} - \sqrt{3} \cdot \sqrt{7} - \sqrt{3} \cdot \sqrt{3}$
Упрощаем полученное выражение:
$= 2(\sqrt{7})^2 + 2\sqrt{21} - \sqrt{21} - (\sqrt{3})^2 = 2 \cdot 7 + 2\sqrt{21} - \sqrt{21} - 3 = 14 + 2\sqrt{21} - \sqrt{21} - 3$
Приводим подобные слагаемые:
$= (14 - 3) + (2\sqrt{21} - \sqrt{21}) = 11 + \sqrt{21}$
Ответ: $11 + \sqrt{21}$

е) Умножим $(3\sqrt{6}-5\sqrt{2})(2\sqrt{6}-3\sqrt{2})$.
$(3\sqrt{6}-5\sqrt{2})(2\sqrt{6}-3\sqrt{2}) = 3\sqrt{6} \cdot 2\sqrt{6} + 3\sqrt{6} \cdot (-3\sqrt{2}) - 5\sqrt{2} \cdot 2\sqrt{6} - 5\sqrt{2} \cdot (-3\sqrt{2})$
Упрощаем каждый член:
$= 6(\sqrt{6})^2 - 9\sqrt{12} - 10\sqrt{12} + 15(\sqrt{2})^2 = 6 \cdot 6 - 9\sqrt{12} - 10\sqrt{12} + 15 \cdot 2 = 36 - 9\sqrt{12} - 10\sqrt{12} + 30$
Приводим подобные слагаемые и упрощаем корень $\sqrt{12}$:
$= (36 + 30) - (9\sqrt{12} + 10\sqrt{12}) = 66 - 19\sqrt{12} = 66 - 19\sqrt{4 \cdot 3} = 66 - 19 \cdot 2\sqrt{3} = 66 - 38\sqrt{3}$
Ответ: $66 - 38\sqrt{3}$

Помогло решение? Оставьте отзыв в комментариях ниже.

Присоединяйтесь к Телеграм-группе @gdz_by_belarus

Присоединиться

Мы подготовили для вас ответ c подробным объяснением домашего задания по алгебре за 8 класс, для упражнения номер 1.208 расположенного на странице 58 к учебнику 2024 года издания для учащихся школ и гимназий.

Теперь на нашем сайте ГДЗ.ТОП вы всегда легко и бесплатно найдёте условие с правильным ответом на вопрос «Как решить ДЗ» и «Как сделать» задание по алгебре к упражнению №1.208 (с. 58), авторов: Арефьева (Ирина Глебовна), Пирютко (Ольга Николаевна), учебного пособия издательства Адукацыя i выхаванне.