Номер 1.236, страница 61 - гдз по алгебре 8 класс учебник Арефьева, Пирютко

Алгебра, 8 класс Учебник, авторы: Арефьева Ирина Глебовна, Пирютко Ольга Николаевна, издательство Адукацыя i выхаванне, Минск, 2024, бирюзового цвета

Авторы: Арефьева И. Г., Пирютко О. Н.

Тип: Учебник

Издательство: Адукацыя i выхаванне

Год издания: 2024 - 2026

Цвет обложки: бирюзовый с графиком

ISBN: ISBN 978-985-03-4081-8

Допущено Министерством образования Республики Беларусь

Популярные ГДЗ в 8 классе

Глава 1. Квадратные корни и их свойства. Действительные числа. Параграф 4. Применение свойств квадратных корней - номер 1.236, страница 61.

№1.236 (с. 61)
Условие. №1.236 (с. 61)
скриншот условия
Алгебра, 8 класс Учебник, авторы: Арефьева Ирина Глебовна, Пирютко Ольга Николаевна, издательство Адукацыя i выхаванне, Минск, 2024, бирюзового цвета, страница 61, номер 1.236, Условие

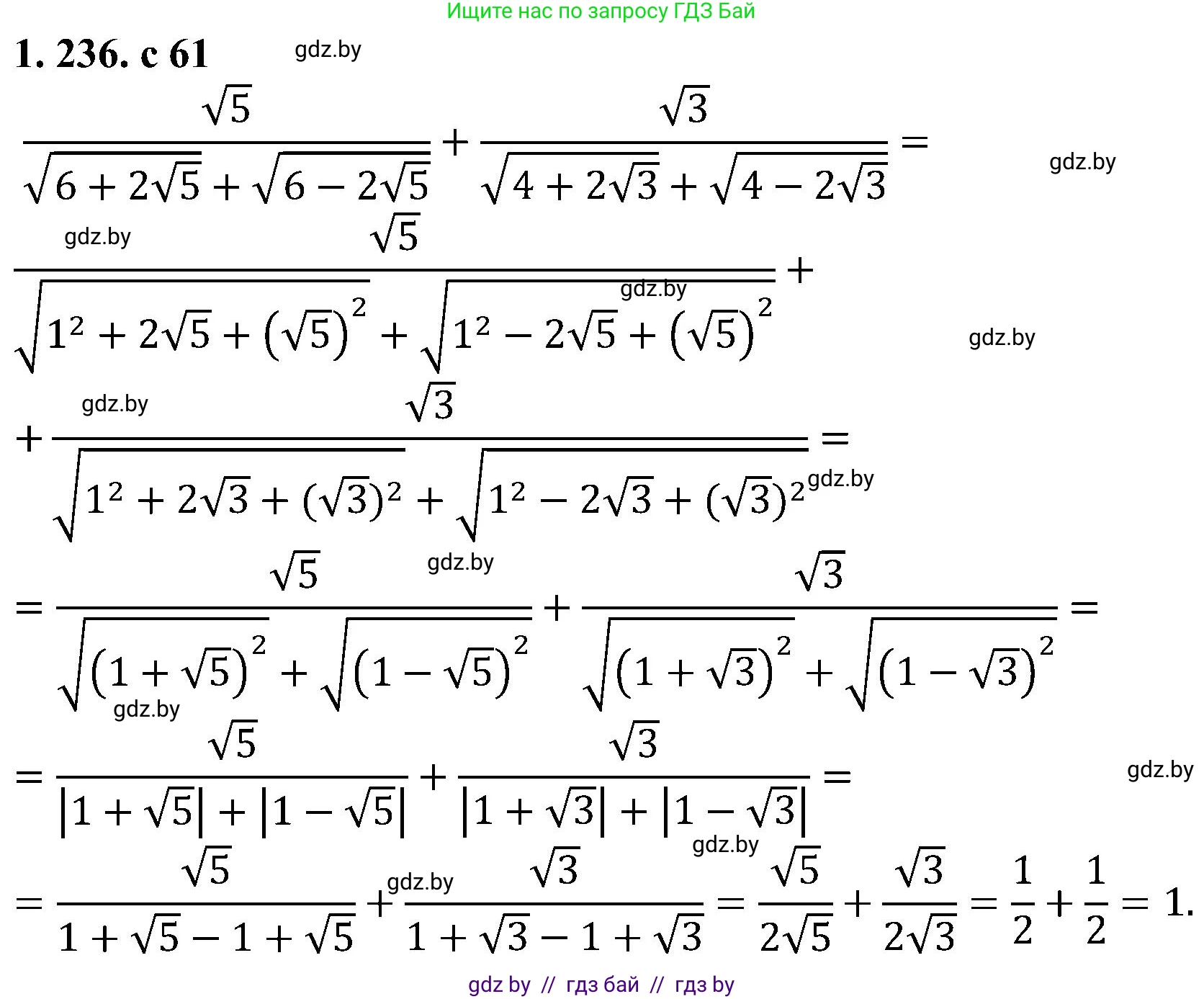
1.236. Найдите значение выражения

$\frac{\sqrt{5}}{\sqrt{6+2\sqrt{5}} + \sqrt{6-2\sqrt{5}}} + \frac{\sqrt{3}}{\sqrt{4+2\sqrt{3}} + \sqrt{4-2\sqrt{3}}}$.

Решение. №1.236 (с. 61)
Алгебра, 8 класс Учебник, авторы: Арефьева Ирина Глебовна, Пирютко Ольга Николаевна, издательство Адукацыя i выхаванне, Минск, 2024, бирюзового цвета, страница 61, номер 1.236, Решение
Решение 2. №1.236 (с. 61)

Для нахождения значения выражения необходимо упростить каждое из двух слагаемых, а затем сложить полученные результаты.

Исходное выражение:

$$ \frac{\sqrt{5}}{\sqrt{6+2\sqrt{5}} + \sqrt{6-2\sqrt{5}}} + \frac{\sqrt{3}}{\sqrt{4+2\sqrt{3}} + \sqrt{4-2\sqrt{3}}} $$

1. Упрощение первого слагаемого.

Рассмотрим первое слагаемое: $ \frac{\sqrt{5}}{\sqrt{6+2\sqrt{5}} + \sqrt{6-2\sqrt{5}}} $.

Для упрощения знаменателя воспользуемся формулой выделения полного квадрата под корнем: $ \sqrt{A \pm 2\sqrt{B}} = \sqrt{(\sqrt{a} \pm \sqrt{b})^2} = \sqrt{a} \pm \sqrt{b} $, где $ a+b=A $ и $ ab=B $. Или можно использовать общую формулу $ (a \pm b)^2 = a^2 \pm 2ab + b^2 $.

Для выражения $ 6+2\sqrt{5} $, ищем числа $a$ и $b$ такие, что $ a^2+b^2=6 $ и $ 2ab=2\sqrt{5} $, откуда $ ab=\sqrt{5} $.

Подбором находим, что $ a=\sqrt{5} $ и $ b=1 $. Проверяем: $ a^2+b^2 = (\sqrt{5})^2+1^2 = 5+1 = 6 $. Условия выполняются.

Таким образом, $ 6+2\sqrt{5} = (\sqrt{5}+1)^2 $.

Следовательно, $ \sqrt{6+2\sqrt{5}} = \sqrt{(\sqrt{5}+1)^2} = |\sqrt{5}+1| = \sqrt{5}+1 $.

Аналогично для выражения $ 6-2\sqrt{5} $, используя те же $ a=\sqrt{5} $ и $ b=1 $:

$ 6-2\sqrt{5} = (\sqrt{5}-1)^2 $.

Следовательно, $ \sqrt{6-2\sqrt{5}} = \sqrt{(\sqrt{5}-1)^2} = |\sqrt{5}-1| = \sqrt{5}-1 $ (поскольку $ \sqrt{5} > 1 $).

Теперь знаменатель первого слагаемого равен:

$$ \sqrt{6+2\sqrt{5}} + \sqrt{6-2\sqrt{5}} = (\sqrt{5}+1) + (\sqrt{5}-1) = 2\sqrt{5} $$

Тогда значение первого слагаемого:

$$ \frac{\sqrt{5}}{2\sqrt{5}} = \frac{1}{2} $$

2. Упрощение второго слагаемого.

Рассмотрим второе слагаемое: $ \frac{\sqrt{3}}{\sqrt{4+2\sqrt{3}} + \sqrt{4-2\sqrt{3}}} $.

Действуем аналогично. Для выражения $ 4+2\sqrt{3} $, ищем $a$ и $b$ такие, что $ a^2+b^2=4 $ и $ 2ab=2\sqrt{3} $, откуда $ ab=\sqrt{3} $.

Подбором находим, что $ a=\sqrt{3} $ и $ b=1 $. Проверяем: $ a^2+b^2 = (\sqrt{3})^2+1^2 = 3+1 = 4 $. Условия выполняются.

Таким образом, $ 4+2\sqrt{3} = (\sqrt{3}+1)^2 $, и отсюда $ \sqrt{4+2\sqrt{3}} = \sqrt{(\sqrt{3}+1)^2} = |\sqrt{3}+1| = \sqrt{3}+1 $.

Аналогично, $ 4-2\sqrt{3} = (\sqrt{3}-1)^2 $, и отсюда $ \sqrt{4-2\sqrt{3}} = \sqrt{(\sqrt{3}-1)^2} = |\sqrt{3}-1| = \sqrt{3}-1 $ (поскольку $ \sqrt{3} > 1 $).

Знаменатель второго слагаемого равен:

$$ \sqrt{4+2\sqrt{3}} + \sqrt{4-2\sqrt{3}} = (\sqrt{3}+1) + (\sqrt{3}-1) = 2\sqrt{3} $$

Тогда значение второго слагаемого:

$$ \frac{\sqrt{3}}{2\sqrt{3}} = \frac{1}{2} $$

3. Сложение результатов.

Складываем значения двух упрощенных слагаемых:

$$ \frac{1}{2} + \frac{1}{2} = 1 $$

Найдите значение выражения: Ответ: 1

Помогло решение? Оставьте отзыв в комментариях ниже.

Присоединяйтесь к Телеграм-группе @gdz_by_belarus

Присоединиться

Мы подготовили для вас ответ c подробным объяснением домашего задания по алгебре за 8 класс, для упражнения номер 1.236 расположенного на странице 61 к учебнику 2024 года издания для учащихся школ и гимназий.

Теперь на нашем сайте ГДЗ.ТОП вы всегда легко и бесплатно найдёте условие с правильным ответом на вопрос «Как решить ДЗ» и «Как сделать» задание по алгебре к упражнению №1.236 (с. 61), авторов: Арефьева (Ирина Глебовна), Пирютко (Ольга Николаевна), учебного пособия издательства Адукацыя i выхаванне.