Номер 1.241, страница 62 - гдз по алгебре 8 класс учебник Арефьева, Пирютко

Алгебра, 8 класс Учебник, авторы: Арефьева Ирина Глебовна, Пирютко Ольга Николаевна, издательство Адукацыя i выхаванне, Минск, 2024, бирюзового цвета

Авторы: Арефьева И. Г., Пирютко О. Н.

Тип: Учебник

Издательство: Адукацыя i выхаванне

Год издания: 2024 - 2026

Цвет обложки: бирюзовый с графиком

ISBN: ISBN 978-985-03-4081-8

Допущено Министерством образования Республики Беларусь

Популярные ГДЗ в 8 классе

Глава 1. Квадратные корни и их свойства. Действительные числа. Параграф 4. Применение свойств квадратных корней - номер 1.241, страница 62.

№1.241 (с. 62)
Условие. №1.241 (с. 62)
скриншот условия
Алгебра, 8 класс Учебник, авторы: Арефьева Ирина Глебовна, Пирютко Ольга Николаевна, издательство Адукацыя i выхаванне, Минск, 2024, бирюзового цвета, страница 62, номер 1.241, Условие

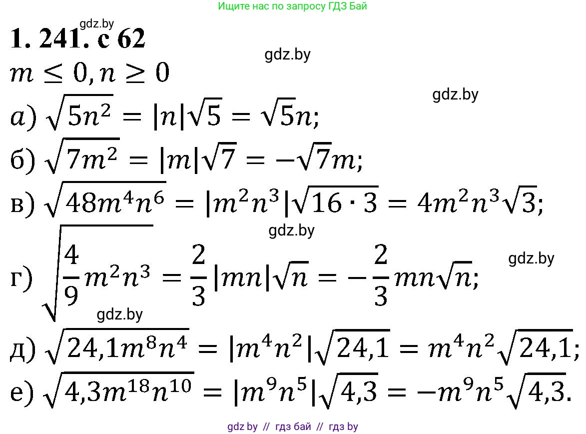
1.241. Зная, что $m \le 0, n \ge 0$, вынесите множитель за знак корня:

а) $\sqrt{5n^2}$;

б) $\sqrt{7m^2}$;

в) $\sqrt{48m^4 n^6}$;

г) $\sqrt{\frac{4}{9}m^2 n^3}$;

д) $\sqrt{24,1m^8 n^4}$;

е) $\sqrt{4,3m^{18} n^{10}}$.

Решение. №1.241 (с. 62)
Алгебра, 8 класс Учебник, авторы: Арефьева Ирина Глебовна, Пирютко Ольга Николаевна, издательство Адукацыя i выхаванне, Минск, 2024, бирюзового цвета, страница 62, номер 1.241, Решение
Решение 2. №1.241 (с. 62)

Для решения этой задачи мы будем использовать свойство квадратного корня $\sqrt{a^2} = |a|$, а также учитывать данные условия: $m \le 0$ и $n \ge 0$. Модуль числа раскрывается следующим образом:

  • $|x| = x$, если $x \ge 0$
  • $|x| = -x$, если $x < 0$

а) Выносим множитель из-под знака корня в выражении $\sqrt{5n^2}$.
$\sqrt{5n^2} = \sqrt{5} \cdot \sqrt{n^2} = \sqrt{5} \cdot |n|$.
Поскольку по условию $n \ge 0$, то $|n| = n$.
Следовательно, $\sqrt{5} \cdot n = n\sqrt{5}$.
Ответ: $n\sqrt{5}$.

б) Выносим множитель из-под знака корня в выражении $\sqrt{7m^2}$.
$\sqrt{7m^2} = \sqrt{7} \cdot \sqrt{m^2} = \sqrt{7} \cdot |m|$.
Поскольку по условию $m \le 0$, то $|m| = -m$.
Следовательно, $\sqrt{7} \cdot (-m) = -m\sqrt{7}$.
Ответ: $-m\sqrt{7}$.

в) Выносим множитель из-под знака корня в выражении $\sqrt{48m^4n^6}$.
Сначала разложим подкоренное выражение на множители: $48 = 16 \cdot 3 = 4^2 \cdot 3$.
$\sqrt{48m^4n^6} = \sqrt{16 \cdot 3 \cdot m^4 \cdot n^6} = \sqrt{16} \cdot \sqrt{m^4} \cdot \sqrt{n^6} \cdot \sqrt{3}$.
$\sqrt{16} = 4$.
$\sqrt{m^4} = \sqrt{(m^2)^2} = |m^2|$. Так как $m^2 \ge 0$ при любом $m$, то $|m^2| = m^2$.
$\sqrt{n^6} = \sqrt{(n^3)^2} = |n^3|$. Так как $n \ge 0$, то $n^3 \ge 0$, следовательно $|n^3| = n^3$.
Собираем все вместе: $4 \cdot m^2 \cdot n^3 \cdot \sqrt{3} = 4m^2n^3\sqrt{3}$.
Ответ: $4m^2n^3\sqrt{3}$.

г) Выносим множитель из-под знака корня в выражении $\sqrt{\frac{4}{9}m^2n^3}$.
Разложим подкоренное выражение: $n^3 = n^2 \cdot n$.
$\sqrt{\frac{4}{9}m^2n^3} = \sqrt{\frac{4}{9} \cdot m^2 \cdot n^2 \cdot n} = \sqrt{\frac{4}{9}} \cdot \sqrt{m^2} \cdot \sqrt{n^2} \cdot \sqrt{n}$.
$\sqrt{\frac{4}{9}} = \frac{2}{3}$.
$\sqrt{m^2} = |m|$. Так как $m \le 0$, то $|m| = -m$.
$\sqrt{n^2} = |n|$. Так как $n \ge 0$, то $|n| = n$.
Собираем все вместе: $\frac{2}{3} \cdot (-m) \cdot n \cdot \sqrt{n} = -\frac{2}{3}mn\sqrt{n}$.
Ответ: $-\frac{2}{3}mn\sqrt{n}$.

д) Выносим множитель из-под знака корня в выражении $\sqrt{24,1m^8n^4}$.
$\sqrt{24,1m^8n^4} = \sqrt{24,1} \cdot \sqrt{m^8} \cdot \sqrt{n^4}$.
$\sqrt{m^8} = \sqrt{(m^4)^2} = |m^4|$. Так как $m^4 \ge 0$ при любом $m$, то $|m^4| = m^4$.
$\sqrt{n^4} = \sqrt{(n^2)^2} = |n^2|$. Так как $n^2 \ge 0$ при любом $n$, то $|n^2| = n^2$.
Собираем все вместе: $m^4 \cdot n^2 \cdot \sqrt{24,1} = m^4n^2\sqrt{24,1}$.
Ответ: $m^4n^2\sqrt{24,1}$.

е) Выносим множитель из-под знака корня в выражении $\sqrt{4,3m^{18}n^{10}}$.
$\sqrt{4,3m^{18}n^{10}} = \sqrt{4,3} \cdot \sqrt{m^{18}} \cdot \sqrt{n^{10}}$.
$\sqrt{m^{18}} = \sqrt{(m^9)^2} = |m^9|$. Так как $m \le 0$, то $m^9 \le 0$ (нечетная степень сохраняет знак), следовательно $|m^9| = -m^9$.
$\sqrt{n^{10}} = \sqrt{(n^5)^2} = |n^5|$. Так как $n \ge 0$, то $n^5 \ge 0$ (нечетная степень сохраняет знак), следовательно $|n^5| = n^5$.
Собираем все вместе: $(-m^9) \cdot n^5 \cdot \sqrt{4,3} = -m^9n^5\sqrt{4,3}$.
Ответ: $-m^9n^5\sqrt{4,3}$.

Помогло решение? Оставьте отзыв в комментариях ниже.

Присоединяйтесь к Телеграм-группе @gdz_by_belarus

Присоединиться

Мы подготовили для вас ответ c подробным объяснением домашего задания по алгебре за 8 класс, для упражнения номер 1.241 расположенного на странице 62 к учебнику 2024 года издания для учащихся школ и гимназий.

Теперь на нашем сайте ГДЗ.ТОП вы всегда легко и бесплатно найдёте условие с правильным ответом на вопрос «Как решить ДЗ» и «Как сделать» задание по алгебре к упражнению №1.241 (с. 62), авторов: Арефьева (Ирина Глебовна), Пирютко (Ольга Николаевна), учебного пособия издательства Адукацыя i выхаванне.