Номер 1.362, страница 89 - гдз по алгебре 8 класс учебник Арефьева, Пирютко

Алгебра, 8 класс Учебник, авторы: Арефьева Ирина Глебовна, Пирютко Ольга Николаевна, издательство Адукацыя i выхаванне, Минск, 2024, бирюзового цвета

Авторы: Арефьева И. Г., Пирютко О. Н.

Тип: Учебник

Издательство: Адукацыя i выхаванне

Год издания: 2024 - 2026

Цвет обложки: бирюзовый с графиком

ISBN: ISBN 978-985-03-4081-8

Допущено Министерством образования Республики Беларусь

Популярные ГДЗ в 8 классе

Глава 1. Квадратные корни и их свойства. Действительные числа. Параграф 6. Системы и совокупности линейных неравенств с одной переменной. Решение двойных неравенств - номер 1.362, страница 89.

№1.362 (с. 89)
Условие. №1.362 (с. 89)
скриншот условия
Алгебра, 8 класс Учебник, авторы: Арефьева Ирина Глебовна, Пирютко Ольга Николаевна, издательство Адукацыя i выхаванне, Минск, 2024, бирюзового цвета, страница 89, номер 1.362, Условие

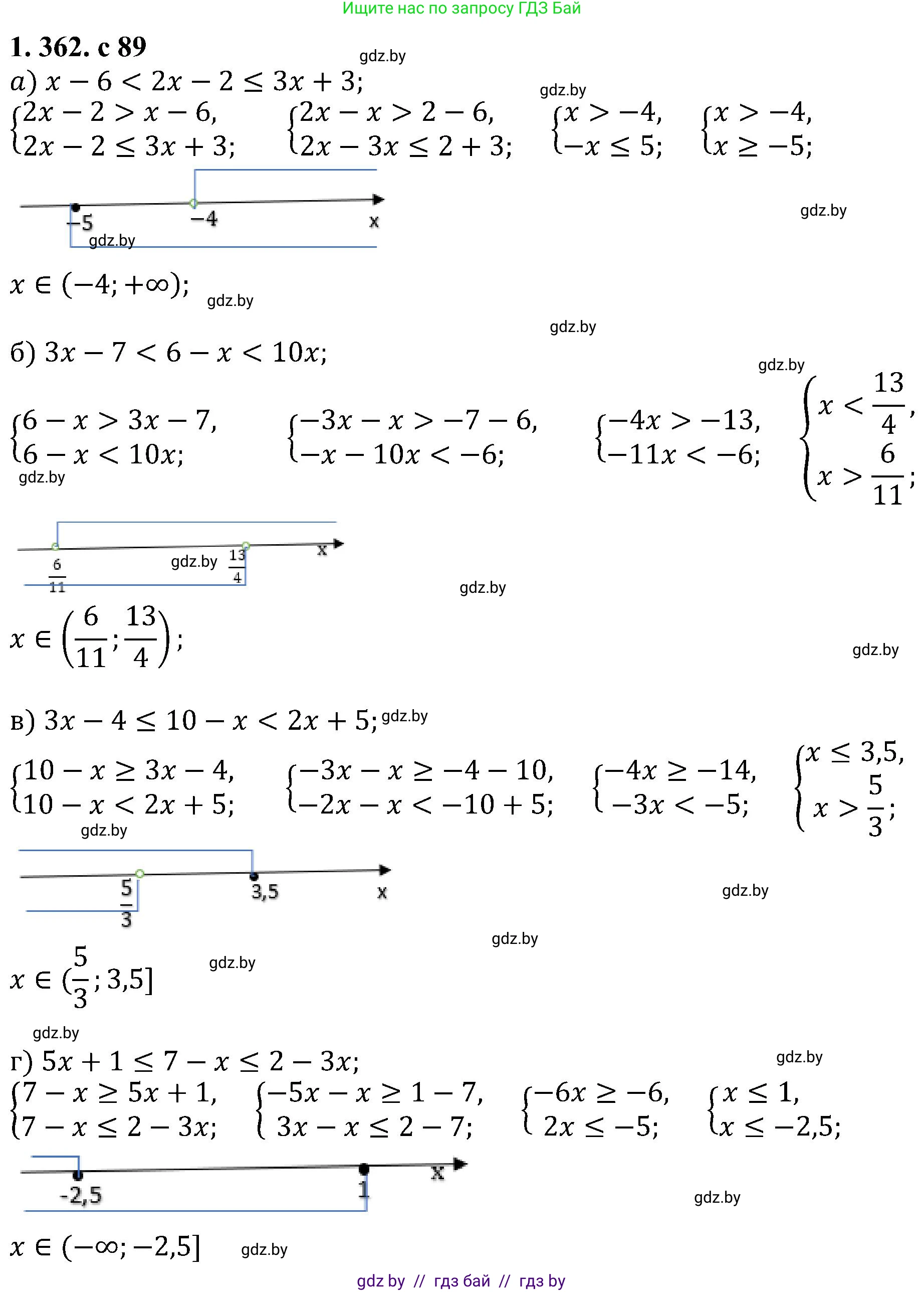
1.362. Решите двойное неравенство, заменив его системой неравенств:

a) $x - 6 < 2x - 2 \le 3x + 3;$

б) $3x - 7 < 6 - x < 10x;$

в) $3x - 4 \le 10 - x < 2x + 5;$

г) $5x + 1 \le 7 - x \le 2 - 3x.$

Решение. №1.362 (с. 89)
Алгебра, 8 класс Учебник, авторы: Арефьева Ирина Глебовна, Пирютко Ольга Николаевна, издательство Адукацыя i выхаванне, Минск, 2024, бирюзового цвета, страница 89, номер 1.362, Решение
Решение 2. №1.362 (с. 89)

а) $x - 6 < 2x - 2 \le 3x + 3$

Заменим данное двойное неравенство системой из двух неравенств:

$ \begin{cases} x - 6 < 2x - 2 \\ 2x - 2 \le 3x + 3 \end{cases} $

Решим каждое неравенство по отдельности:

1) $x - 6 < 2x - 2$

$x - 2x < -2 + 6$

$-x < 4$

$x > -4$

2) $2x - 2 \le 3x + 3$

$2x - 3x \le 3 + 2$

$-x \le 5$

$x \ge -5$

Получили систему:

$ \begin{cases} x > -4 \\ x \ge -5 \end{cases} $

Пересечением этих двух множеств является промежуток $(-4; +\infty)$.

Ответ: $x \in (-4; +\infty)$.


б) $3x - 7 < 6 - x < 10x$

Заменим данное двойное неравенство системой из двух неравенств:

$ \begin{cases} 3x - 7 < 6 - x \\ 6 - x < 10x \end{cases} $

Решим каждое неравенство по отдельности:

1) $3x - 7 < 6 - x$

$3x + x < 6 + 7$

$4x < 13$

$x < \frac{13}{4}$

$x < 3\frac{1}{4}$

2) $6 - x < 10x$

$6 < 10x + x$

$6 < 11x$

$x > \frac{6}{11}$

Получили систему:

$ \begin{cases} x < 3\frac{1}{4} \\ x > \frac{6}{11} \end{cases} $

Пересечением этих двух множеств является промежуток $(\frac{6}{11}; 3\frac{1}{4})$.

Ответ: $x \in (\frac{6}{11}; 3\frac{1}{4})$.


в) $3x - 4 \le 10 - x < 2x + 5$

Заменим данное двойное неравенство системой из двух неравенств:

$ \begin{cases} 3x - 4 \le 10 - x \\ 10 - x < 2x + 5 \end{cases} $

Решим каждое неравенство по отдельности:

1) $3x - 4 \le 10 - x$

$3x + x \le 10 + 4$

$4x \le 14$

$x \le \frac{14}{4}$

$x \le \frac{7}{2}$

$x \le 3\frac{1}{2}$

2) $10 - x < 2x + 5$

$10 - 5 < 2x + x$

$5 < 3x$

$x > \frac{5}{3}$

$x > 1\frac{2}{3}$

Получили систему:

$ \begin{cases} x \le 3\frac{1}{2} \\ x > 1\frac{2}{3} \end{cases} $

Пересечением этих двух множеств является промежуток $(1\frac{2}{3}; 3\frac{1}{2}]$.

Ответ: $x \in (1\frac{2}{3}; 3\frac{1}{2}]$.


г) $5x + 1 \le 7 - x \le 2 - 3x$

Заменим данное двойное неравенство системой из двух неравенств:

$ \begin{cases} 5x + 1 \le 7 - x \\ 7 - x \le 2 - 3x \end{cases} $

Решим каждое неравенство по отдельности:

1) $5x + 1 \le 7 - x$

$5x + x \le 7 - 1$

$6x \le 6$

$x \le 1$

2) $7 - x \le 2 - 3x$

$-x + 3x \le 2 - 7$

$2x \le -5$

$x \le -\frac{5}{2}$

$x \le -2\frac{1}{2}$

Получили систему:

$ \begin{cases} x \le 1 \\ x \le -2\frac{1}{2} \end{cases} $

Пересечением этих двух множеств является промежуток $(-\infty; -2\frac{1}{2}]$, так как это условие является более строгим.

Ответ: $x \in (-\infty; -2\frac{1}{2}]$.

Помогло решение? Оставьте отзыв в комментариях ниже.

Присоединяйтесь к Телеграм-группе @gdz_by_belarus

Присоединиться

Мы подготовили для вас ответ c подробным объяснением домашего задания по алгебре за 8 класс, для упражнения номер 1.362 расположенного на странице 89 к учебнику 2024 года издания для учащихся школ и гимназий.

Теперь на нашем сайте ГДЗ.ТОП вы всегда легко и бесплатно найдёте условие с правильным ответом на вопрос «Как решить ДЗ» и «Как сделать» задание по алгебре к упражнению №1.362 (с. 89), авторов: Арефьева (Ирина Глебовна), Пирютко (Ольга Николаевна), учебного пособия издательства Адукацыя i выхаванне.