Номер 1.364, страница 89 - гдз по алгебре 8 класс учебник Арефьева, Пирютко

Алгебра, 8 класс Учебник, авторы: Арефьева Ирина Глебовна, Пирютко Ольга Николаевна, издательство Адукацыя i выхаванне, Минск, 2024, бирюзового цвета

Авторы: Арефьева И. Г., Пирютко О. Н.

Тип: Учебник

Издательство: Адукацыя i выхаванне

Год издания: 2024 - 2026

Цвет обложки: бирюзовый с графиком

ISBN: ISBN 978-985-03-4081-8

Допущено Министерством образования Республики Беларусь

Популярные ГДЗ в 8 классе

Глава 1. Квадратные корни и их свойства. Действительные числа. Параграф 6. Системы и совокупности линейных неравенств с одной переменной. Решение двойных неравенств - номер 1.364, страница 89.

№1.364 (с. 89)
Условие. №1.364 (с. 89)
скриншот условия
Алгебра, 8 класс Учебник, авторы: Арефьева Ирина Глебовна, Пирютко Ольга Николаевна, издательство Адукацыя i выхаванне, Минск, 2024, бирюзового цвета, страница 89, номер 1.364, Условие

1.364. Найдите наибольшее и наименьшее целые решения системы неравенств:

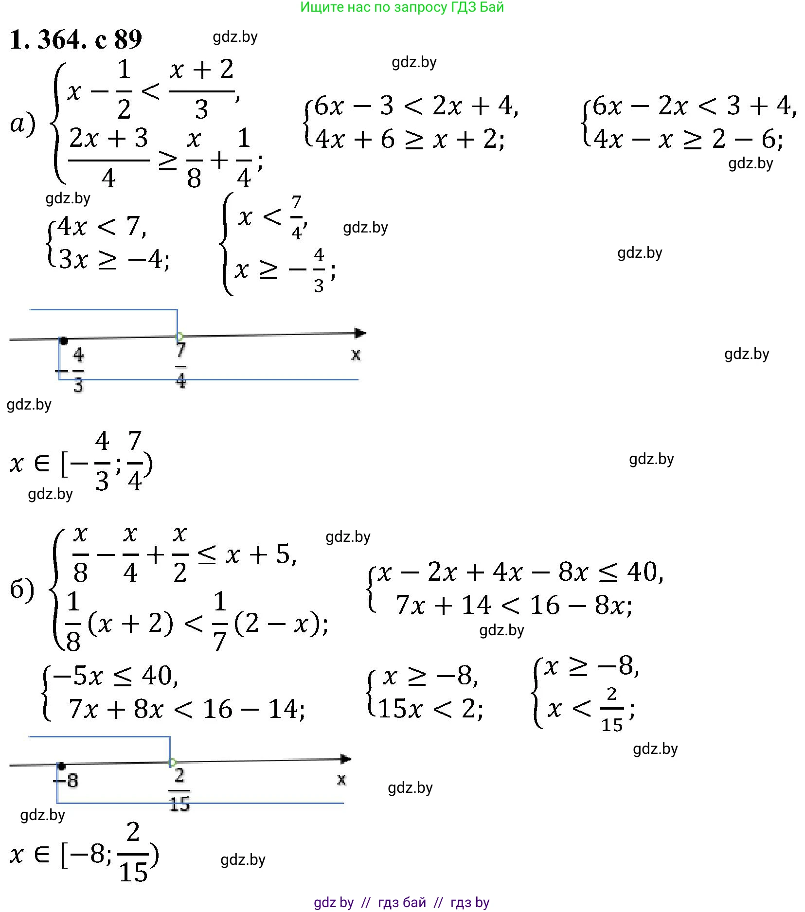
а) $ \begin{cases} x - \frac{1}{2} < \frac{x+2}{3}, \\ \frac{2x+3}{4} \ge \frac{x}{8} + \frac{1}{4}; \end{cases} $

б) $ \begin{cases} \frac{x}{8} - \frac{x}{4} + \frac{x}{2} \le x + 5, \\ \frac{1}{8}(x+2) < \frac{1}{7}(2-x). \end{cases} $

Решение. №1.364 (с. 89)
Алгебра, 8 класс Учебник, авторы: Арефьева Ирина Глебовна, Пирютко Ольга Николаевна, издательство Адукацыя i выхаванне, Минск, 2024, бирюзового цвета, страница 89, номер 1.364, Решение
Решение 2. №1.364 (с. 89)

а) Решим систему неравенств:

$ \begin{cases} x - \frac{1}{2} < \frac{x + 2}{3} \\ \frac{2x + 3}{4} \ge \frac{x}{8} + \frac{1}{4} \end{cases} $

1. Решим первое неравенство:

$x - \frac{1}{2} < \frac{x + 2}{3}$

Чтобы избавиться от дробей, умножим обе части неравенства на наименьшее общее кратное знаменателей 2 и 3, то есть на 6:

$6 \cdot (x - \frac{1}{2}) < 6 \cdot \frac{x + 2}{3}$

$6x - 3 < 2(x + 2)$

$6x - 3 < 2x + 4$

Перенесем слагаемые с переменной $x$ в левую часть, а числовые слагаемые — в правую:

$6x - 2x < 4 + 3$

$4x < 7$

$x < \frac{7}{4}$

Преобразуем неправильную дробь в смешанное число: $x < 1\frac{3}{4}$.

2. Решим второе неравенство:

$\frac{2x + 3}{4} \ge \frac{x}{8} + \frac{1}{4}$

Умножим обе части неравенства на наименьшее общее кратное знаменателей 4 и 8, то есть на 8:

$8 \cdot \frac{2x + 3}{4} \ge 8 \cdot (\frac{x}{8} + \frac{1}{4})$

$2(2x + 3) \ge x + 2$

$4x + 6 \ge x + 2$

$4x - x \ge 2 - 6$

$3x \ge -4$

$x \ge -\frac{4}{3}$

Преобразуем неправильную дробь в смешанное число: $x \ge -1\frac{1}{3}$.

3. Объединим решения:

Мы получили, что $x$ должен удовлетворять двум условиям одновременно: $-1\frac{1}{3} \le x < 1\frac{3}{4}$.

Целыми решениями, входящими в этот промежуток, являются числа -1, 0, 1.

Наименьшее из этих целых решений равно -1, а наибольшее равно 1.

Ответ: наименьшее целое решение: -1, наибольшее целое решение: 1.


б) Решим систему неравенств:

$ \begin{cases} \frac{x}{8} - \frac{x}{4} + \frac{x}{2} \le x + 5 \\ \frac{1}{8}(x + 2) < \frac{1}{7}(2 - x) \end{cases} $

1. Решим первое неравенство:

$\frac{x}{8} - \frac{x}{4} + \frac{x}{2} \le x + 5$

Приведем дроби в левой части к общему знаменателю 8:

$\frac{x}{8} - \frac{2x}{8} + \frac{4x}{8} \le x + 5$

$\frac{x - 2x + 4x}{8} \le x + 5$

$\frac{3x}{8} \le x + 5$

Перенесем $x$ в левую часть:

$\frac{3x}{8} - x \le 5$

$\frac{3x - 8x}{8} \le 5$

$-\frac{5x}{8} \le 5$

Умножим обе части на $-\frac{8}{5}$. При умножении на отрицательное число знак неравенства меняется на противоположный:

$x \ge 5 \cdot (-\frac{8}{5})$

$x \ge -8$

2. Решим второе неравенство:

$\frac{1}{8}(x + 2) < \frac{1}{7}(2 - x)$

Умножим обе части на наименьшее общее кратное 8 и 7, то есть на 56:

$56 \cdot \frac{1}{8}(x + 2) < 56 \cdot \frac{1}{7}(2 - x)$

$7(x + 2) < 8(2 - x)$

$7x + 14 < 16 - 8x$

$7x + 8x < 16 - 14$

$15x < 2$

$x < \frac{2}{15}$

3. Объединим решения:

Решением системы является промежуток $-8 \le x < \frac{2}{15}$.

Целые числа, принадлежащие этому промежутку: -8, -7, -6, -5, -4, -3, -2, -1, 0.

Наименьшее из этих целых решений равно -8, а наибольшее равно 0.

Ответ: наименьшее целое решение: -8, наибольшее целое решение: 0.

Помогло решение? Оставьте отзыв в комментариях ниже.

Присоединяйтесь к Телеграм-группе @gdz_by_belarus

Присоединиться

Мы подготовили для вас ответ c подробным объяснением домашего задания по алгебре за 8 класс, для упражнения номер 1.364 расположенного на странице 89 к учебнику 2024 года издания для учащихся школ и гимназий.

Теперь на нашем сайте ГДЗ.ТОП вы всегда легко и бесплатно найдёте условие с правильным ответом на вопрос «Как решить ДЗ» и «Как сделать» задание по алгебре к упражнению №1.364 (с. 89), авторов: Арефьева (Ирина Глебовна), Пирютко (Ольга Николаевна), учебного пособия издательства Адукацыя i выхаванне.