Номер 2.110, страница 123 - гдз по алгебре 8 класс учебник Арефьева, Пирютко

Алгебра, 8 класс Учебник, авторы: Арефьева Ирина Глебовна, Пирютко Ольга Николаевна, издательство Адукацыя i выхаванне, Минск, 2024, бирюзового цвета

Авторы: Арефьева И. Г., Пирютко О. Н.

Тип: Учебник

Издательство: Адукацыя i выхаванне

Год издания: 2024 - 2026

Цвет обложки: бирюзовый с графиком

ISBN: ISBN 978-985-03-4081-8

Допущено Министерством образования Республики Беларусь

Популярные ГДЗ в 8 классе

Глава 2. Квадратные уравнения. Параграф 9. Теорема Виета - номер 2.110, страница 123.

№2.110 (с. 123)
Условие. №2.110 (с. 123)
скриншот условия
Алгебра, 8 класс Учебник, авторы: Арефьева Ирина Глебовна, Пирютко Ольга Николаевна, издательство Адукацыя i выхаванне, Минск, 2024, бирюзового цвета, страница 123, номер 2.110, Условие

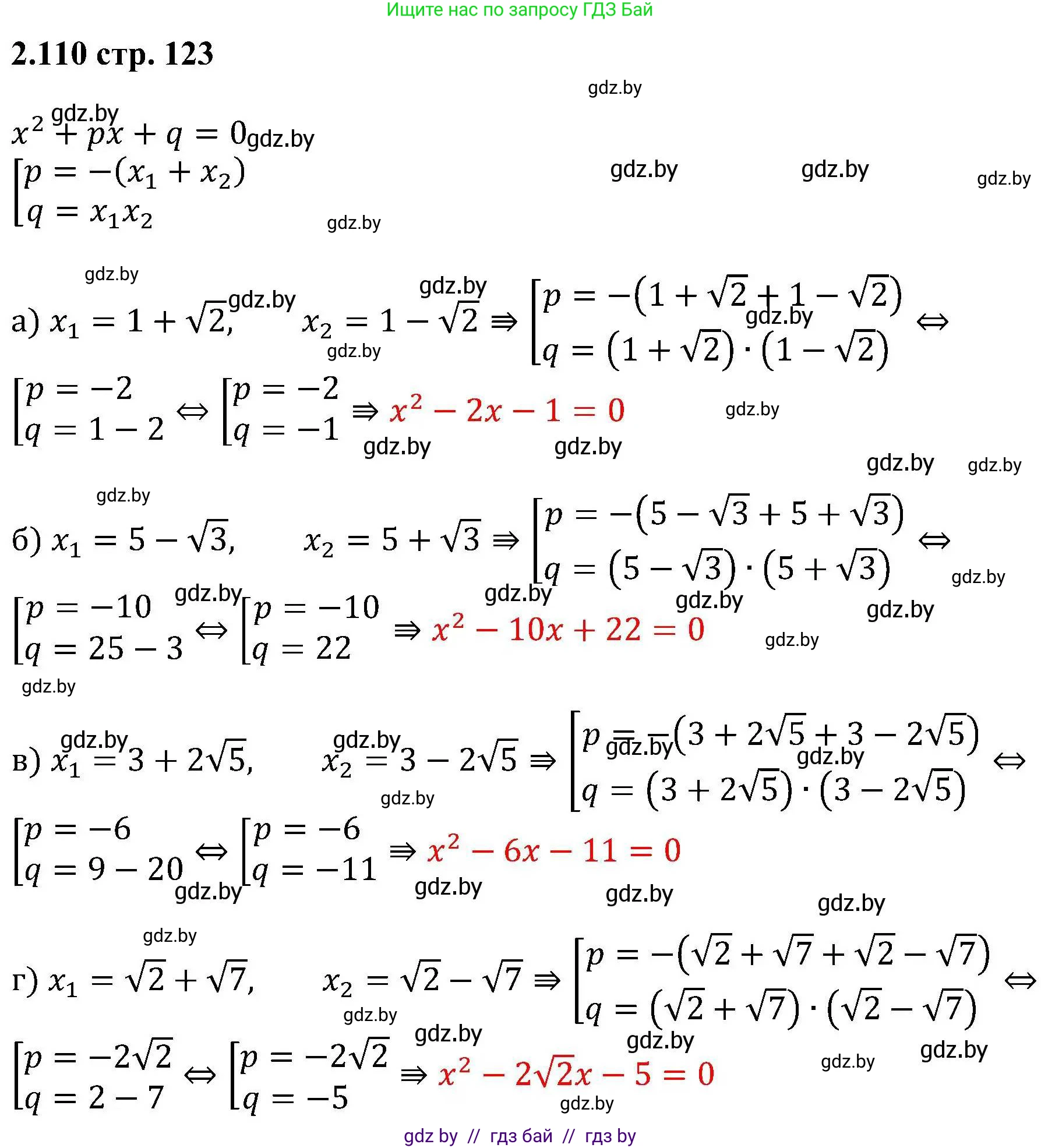
2.110. Составьте квадратное уравнение, корни которого равны:

а) $1+\sqrt{2}$ и $1-\sqrt{2}$;

б) $5-\sqrt{3}$ и $5+\sqrt{3}$;

в) $3+2\sqrt{5}$ и $3-2\sqrt{5}$;

г) $\sqrt{2}+\sqrt{7}$ и $\sqrt{2}-\sqrt{7}$.

Решение. №2.110 (с. 123)
Алгебра, 8 класс Учебник, авторы: Арефьева Ирина Глебовна, Пирютко Ольга Николаевна, издательство Адукацыя i выхаванне, Минск, 2024, бирюзового цвета, страница 123, номер 2.110, Решение
Решение 2. №2.110 (с. 123)

Для того чтобы составить квадратное уравнение по его известным корням $x_1$ и $x_2$, можно воспользоваться теоремой, обратной теореме Виета. Согласно этой теореме, приведенное квадратное уравнение (где коэффициент при $x^2$ равен 1) будет иметь вид:

$$x^2 - (x_1 + x_2)x + (x_1 \cdot x_2) = 0$$

Таким образом, для каждого случая необходимо найти сумму и произведение заданных корней и подставить их в эту формулу.

а) Даны корни $x_1 = 1 + \sqrt{2}$ и $x_2 = 1 - \sqrt{2}$.

Найдем сумму корней:

$x_1 + x_2 = (1 + \sqrt{2}) + (1 - \sqrt{2}) = 2$.

Найдем произведение корней, используя формулу разности квадратов $(a+b)(a-b) = a^2 - b^2$:

$x_1 \cdot x_2 = (1 + \sqrt{2})(1 - \sqrt{2}) = 1^2 - (\sqrt{2})^2 = 1 - 2 = -1$.

Подставляем найденные значения в формулу уравнения:

$x^2 - (2)x + (-1) = 0$

Ответ: $x^2 - 2x - 1 = 0$.

б) Даны корни $x_1 = 5 - \sqrt{3}$ и $x_2 = 5 + \sqrt{3}$.

Найдем сумму корней:

$x_1 + x_2 = (5 - \sqrt{3}) + (5 + \sqrt{3}) = 10$.

Найдем произведение корней:

$x_1 \cdot x_2 = (5 - \sqrt{3})(5 + \sqrt{3}) = 5^2 - (\sqrt{3})^2 = 25 - 3 = 22$.

Подставляем значения в формулу:

$x^2 - 10x + 22 = 0$.

Ответ: $x^2 - 10x + 22 = 0$.

в) Даны корни $x_1 = 3 + 2\sqrt{5}$ и $x_2 = 3 - 2\sqrt{5}$.

Найдем сумму корней:

$x_1 + x_2 = (3 + 2\sqrt{5}) + (3 - 2\sqrt{5}) = 6$.

Найдем произведение корней:

$x_1 \cdot x_2 = (3 + 2\sqrt{5})(3 - 2\sqrt{5}) = 3^2 - (2\sqrt{5})^2 = 9 - (4 \cdot 5) = 9 - 20 = -11$.

Подставляем значения в формулу:

$x^2 - 6x + (-11) = 0$.

Ответ: $x^2 - 6x - 11 = 0$.

г) Даны корни $x_1 = \sqrt{2} + \sqrt{7}$ и $x_2 = \sqrt{2} - \sqrt{7}$.

Найдем сумму корней:

$x_1 + x_2 = (\sqrt{2} + \sqrt{7}) + (\sqrt{2} - \sqrt{7}) = 2\sqrt{2}$.

Найдем произведение корней:

$x_1 \cdot x_2 = (\sqrt{2} + \sqrt{7})(\sqrt{2} - \sqrt{7}) = (\sqrt{2})^2 - (\sqrt{7})^2 = 2 - 7 = -5$.

Подставляем значения в формулу:

$x^2 - (2\sqrt{2})x + (-5) = 0$.

Ответ: $x^2 - 2\sqrt{2}x - 5 = 0$.

Помогло решение? Оставьте отзыв в комментариях ниже.

Присоединяйтесь к Телеграм-группе @gdz_by_belarus

Присоединиться

Мы подготовили для вас ответ c подробным объяснением домашего задания по алгебре за 8 класс, для упражнения номер 2.110 расположенного на странице 123 к учебнику 2024 года издания для учащихся школ и гимназий.

Теперь на нашем сайте ГДЗ.ТОП вы всегда легко и бесплатно найдёте условие с правильным ответом на вопрос «Как решить ДЗ» и «Как сделать» задание по алгебре к упражнению №2.110 (с. 123), авторов: Арефьева (Ирина Глебовна), Пирютко (Ольга Николаевна), учебного пособия издательства Адукацыя i выхаванне.