Номер 2.111, страница 123 - гдз по алгебре 8 класс учебник Арефьева, Пирютко

Алгебра, 8 класс Учебник, авторы: Арефьева Ирина Глебовна, Пирютко Ольга Николаевна, издательство Адукацыя i выхаванне, Минск, 2024, бирюзового цвета

Авторы: Арефьева И. Г., Пирютко О. Н.

Тип: Учебник

Издательство: Адукацыя i выхаванне

Год издания: 2024 - 2026

Цвет обложки: бирюзовый с графиком

ISBN: ISBN 978-985-03-4081-8

Допущено Министерством образования Республики Беларусь

Популярные ГДЗ в 8 классе

Глава 2. Квадратные уравнения. Параграф 9. Теорема Виета - номер 2.111, страница 123.

№2.111 (с. 123)
Условие. №2.111 (с. 123)
скриншот условия
Алгебра, 8 класс Учебник, авторы: Арефьева Ирина Глебовна, Пирютко Ольга Николаевна, издательство Адукацыя i выхаванне, Минск, 2024, бирюзового цвета, страница 123, номер 2.111, Условие

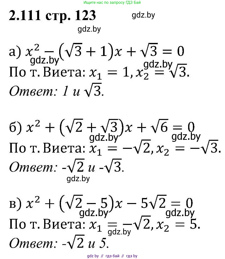
2.111. Решите уравнение, не используя формулы корней квадратного уравнения:

a) $x^2 - (\sqrt{3} + 1)x + \sqrt{3} = 0;$

б) $x^2 + (\sqrt{2} + \sqrt{3})x + \sqrt{6} = 0;$

в) $x^2 + (\sqrt{2} - 5)x - 5\sqrt{2} = 0.$

Решение. №2.111 (с. 123)
Алгебра, 8 класс Учебник, авторы: Арефьева Ирина Глебовна, Пирютко Ольга Николаевна, издательство Адукацыя i выхаванне, Минск, 2024, бирюзового цвета, страница 123, номер 2.111, Решение
Решение 2. №2.111 (с. 123)

Для решения данных приведенных квадратных уравнений вида $x^2+px+q=0$ воспользуемся теоремой Виета. Согласно этой теореме, сумма корней уравнения ($x_1$ и $x_2$) равна коэффициенту при $x$, взятому с противоположным знаком ($-p$), а произведение корней равно свободному члену ($q$):

  • $x_1 + x_2 = -p$
  • $x_1 \cdot x_2 = q$

Этот метод позволяет найти корни подбором, не прибегая к формуле для корней квадратного уравнения.

а) Дано уравнение $x^2 - (\sqrt{3} + 1)x + \sqrt{3} = 0$.

В данном уравнении коэффициент $p = -(\sqrt{3} + 1)$ и свободный член $q = \sqrt{3}$.

Ищем два числа, $x_1$ и $x_2$, для которых выполняются условия по теореме Виета:

  • Сумма корней: $x_1 + x_2 = -(-(\sqrt{3} + 1)) = \sqrt{3} + 1$
  • Произведение корней: $x_1 \cdot x_2 = \sqrt{3}$

Из условия на произведение видно, что корнями могут быть числа $1$ и $\sqrt{3}$. Проверим их сумму: $1 + \sqrt{3}$. Это соответствует условию на сумму.

Следовательно, корни уравнения: $x_1 = 1$ и $x_2 = \sqrt{3}$.

Ответ: $1; \sqrt{3}$.

б) Дано уравнение $x^2 + (\sqrt{2} + \sqrt{3})x + \sqrt{6} = 0$.

Здесь коэффициент $p = \sqrt{2} + \sqrt{3}$ и свободный член $q = \sqrt{6}$.

Ищем два числа, $x_1$ и $x_2$, для которых:

  • Сумма корней: $x_1 + x_2 = -(\sqrt{2} + \sqrt{3})$
  • Произведение корней: $x_1 \cdot x_2 = \sqrt{6}$

Заметим, что $\sqrt{6} = \sqrt{2} \cdot \sqrt{3}$. Поскольку произведение корней положительно, а сумма отрицательна, оба корня должны быть отрицательными. Попробуем $x_1 = -\sqrt{2}$ и $x_2 = -\sqrt{3}$.
Проверим произведение: $(-\sqrt{2}) \cdot (-\sqrt{3}) = \sqrt{6}$.
Проверим сумму: $(-\sqrt{2}) + (-\sqrt{3}) = -(\sqrt{2} + \sqrt{3})$.
Оба условия выполняются.

Следовательно, корни уравнения: $x_1 = -\sqrt{2}$ и $x_2 = -\sqrt{3}$.

Ответ: $-\sqrt{2}; -\sqrt{3}$.

в) Дано уравнение $x^2 + (\sqrt{2} - 5)x - 5\sqrt{2} = 0$.

Здесь коэффициент $p = \sqrt{2} - 5$ и свободный член $q = -5\sqrt{2}$.

Ищем два числа, $x_1$ и $x_2$, для которых:

  • Сумма корней: $x_1 + x_2 = -(\sqrt{2} - 5) = 5 - \sqrt{2}$
  • Произведение корней: $x_1 \cdot x_2 = -5\sqrt{2}$

Поскольку произведение корней отрицательное, корни должны иметь разные знаки. Попробуем в качестве корней числа $5$ и $-\sqrt{2}$.
Проверим произведение: $5 \cdot (-\sqrt{2}) = -5\sqrt{2}$.
Проверим сумму: $5 + (-\sqrt{2}) = 5 - \sqrt{2}$.
Оба условия выполняются.

Следовательно, корни уравнения: $x_1 = 5$ и $x_2 = -\sqrt{2}$.

Ответ: $5; -\sqrt{2}$.

Помогло решение? Оставьте отзыв в комментариях ниже.

Присоединяйтесь к Телеграм-группе @gdz_by_belarus

Присоединиться

Мы подготовили для вас ответ c подробным объяснением домашего задания по алгебре за 8 класс, для упражнения номер 2.111 расположенного на странице 123 к учебнику 2024 года издания для учащихся школ и гимназий.

Теперь на нашем сайте ГДЗ.ТОП вы всегда легко и бесплатно найдёте условие с правильным ответом на вопрос «Как решить ДЗ» и «Как сделать» задание по алгебре к упражнению №2.111 (с. 123), авторов: Арефьева (Ирина Глебовна), Пирютко (Ольга Николаевна), учебного пособия издательства Адукацыя i выхаванне.