Номер 2.142, страница 130 - гдз по алгебре 8 класс учебник Арефьева, Пирютко

Алгебра, 8 класс Учебник, авторы: Арефьева Ирина Глебовна, Пирютко Ольга Николаевна, издательство Адукацыя i выхаванне, Минск, 2024, бирюзового цвета

Авторы: Арефьева И. Г., Пирютко О. Н.

Тип: Учебник

Издательство: Адукацыя i выхаванне

Год издания: 2024 - 2026

Цвет обложки: бирюзовый с графиком

ISBN: ISBN 978-985-03-4081-8

Допущено Министерством образования Республики Беларусь

Популярные ГДЗ в 8 классе

Глава 2. Квадратные уравнения. Параграф 10. Квадратный трехчлен. Разложение квадратного трехчлена на множители - номер 2.142, страница 130.

№2.142 (с. 130)
Условие. №2.142 (с. 130)
скриншот условия
Алгебра, 8 класс Учебник, авторы: Арефьева Ирина Глебовна, Пирютко Ольга Николаевна, издательство Адукацыя i выхаванне, Минск, 2024, бирюзового цвета, страница 130, номер 2.142, Условие

2.142. Разложите на множители, если это возможно, квадратный трехчлен:

а) $x^2 - x - 30;$

б) $x^2 - 6x + 8;$

в) $2x^2 + 7x - 4;$

г) $3x^2 - 5x - 2;$

д) $2x^2 + x - 3;$

е) $-x^2 - x + 42;$

ж) $5x^2 - 8x - 13;$

з) $-3x^2 - 7x + 6;$

и) $x^2 - 6x + 9;$

к) $x^2 - x - 6;$

л) $4x^2 + 4x + 1;$

м) $-8x^2 + 9x - 1.$

Решение. №2.142 (с. 130)
Алгебра, 8 класс Учебник, авторы: Арефьева Ирина Глебовна, Пирютко Ольга Николаевна, издательство Адукацыя i выхаванне, Минск, 2024, бирюзового цвета, страница 130, номер 2.142, Решение Алгебра, 8 класс Учебник, авторы: Арефьева Ирина Глебовна, Пирютко Ольга Николаевна, издательство Адукацыя i выхаванне, Минск, 2024, бирюзового цвета, страница 130, номер 2.142, Решение (продолжение 2)
Решение 2. №2.142 (с. 130)

а) $x^2 - x - 30$. Для разложения на множители решим квадратное уравнение $x^2 - x - 30 = 0$. Дискриминант $D = (-1)^2 - 4 \cdot 1 \cdot (-30) = 1 + 120 = 121$. Корни уравнения: $x_1 = \frac{1 + \sqrt{121}}{2} = \frac{1+11}{2} = 6$ и $x_2 = \frac{1 - \sqrt{121}}{2} = \frac{1-11}{2} = -5$. Разложение на множители: $(x-6)(x-(-5)) = (x-6)(x+5)$. Ответ: $(x-6)(x+5)$.

б) $x^2 - 6x + 8$. Решим уравнение $x^2 - 6x + 8 = 0$. Дискриминант $D = (-6)^2 - 4 \cdot 1 \cdot 8 = 36 - 32 = 4$. Корни уравнения: $x_1 = \frac{6 + \sqrt{4}}{2} = \frac{6+2}{2} = 4$ и $x_2 = \frac{6 - \sqrt{4}}{2} = \frac{6-2}{2} = 2$. Разложение на множители: $(x-4)(x-2)$. Ответ: $(x-4)(x-2)$.

в) $2x^2 + 7x - 4$. Решим уравнение $2x^2 + 7x - 4 = 0$. Дискриминант $D = 7^2 - 4 \cdot 2 \cdot (-4) = 49 + 32 = 81$. Корни уравнения: $x_1 = \frac{-7 + \sqrt{81}}{4} = \frac{-7+9}{4} = \frac{2}{4} = \frac{1}{2}$ и $x_2 = \frac{-7 - \sqrt{81}}{4} = \frac{-7-9}{4} = -4$. Разложение на множители: $2(x-\frac{1}{2})(x-(-4)) = (2x-1)(x+4)$. Ответ: $(2x-1)(x+4)$.

г) $3x^2 - 5x - 2$. Решим уравнение $3x^2 - 5x - 2 = 0$. Дискриминант $D = (-5)^2 - 4 \cdot 3 \cdot (-2) = 25 + 24 = 49$. Корни уравнения: $x_1 = \frac{5 + \sqrt{49}}{6} = \frac{5+7}{6} = 2$ и $x_2 = \frac{5 - \sqrt{49}}{6} = \frac{5-7}{6} = -\frac{2}{6} = -\frac{1}{3}$. Разложение на множители: $3(x-2)(x-(-\frac{1}{3})) = (x-2)(3x+1)$. Ответ: $(x-2)(3x+1)$.

д) $2x^2 + x - 3$. Решим уравнение $2x^2 + x - 3 = 0$. Дискриминант $D = 1^2 - 4 \cdot 2 \cdot (-3) = 1 + 24 = 25$. Корни уравнения: $x_1 = \frac{-1 + \sqrt{25}}{4} = \frac{-1+5}{4} = 1$ и $x_2 = \frac{-1 - \sqrt{25}}{4} = \frac{-6}{4} = -\frac{3}{2} = -1\frac{1}{2}$. Разложение на множители: $2(x-1)(x-(-\frac{3}{2})) = (x-1)(2x+3)$. Ответ: $(x-1)(2x+3)$.

е) $-x^2 - x + 42$. Вынесем минус за скобки: $-(x^2+x-42)$. Решим уравнение $x^2 + x - 42 = 0$. Дискриминант $D = 1^2 - 4 \cdot 1 \cdot (-42) = 1 + 168 = 169$. Корни уравнения: $x_1 = \frac{-1 + \sqrt{169}}{2} = \frac{-1+13}{2} = 6$ и $x_2 = \frac{-1 - \sqrt{169}}{2} = \frac{-1-13}{2} = -7$. Разложение на множители: $-(x-6)(x-(-7)) = -(x-6)(x+7) = (6-x)(x+7)$. Ответ: $(6-x)(x+7)$.

ж) $5x^2 - 8x - 13$. Решим уравнение $5x^2 - 8x - 13 = 0$. Дискриминант $D = (-8)^2 - 4 \cdot 5 \cdot (-13) = 64 + 260 = 324$. Корни уравнения: $x_1 = \frac{8 + \sqrt{324}}{10} = \frac{8+18}{10} = \frac{26}{10} = \frac{13}{5} = 2\frac{3}{5}$ и $x_2 = \frac{8 - \sqrt{324}}{10} = \frac{8-18}{10} = -1$. Разложение на множители: $5(x-\frac{13}{5})(x-(-1)) = (5x-13)(x+1)$. Ответ: $(5x-13)(x+1)$.

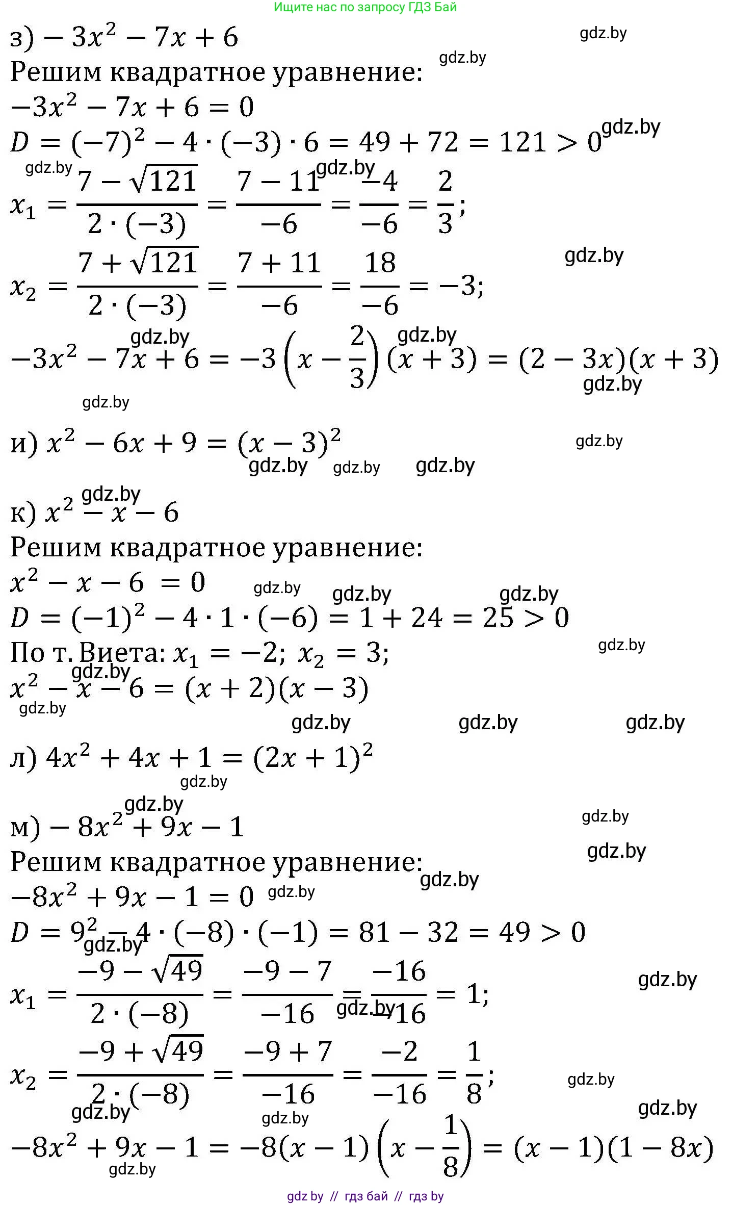
з) $-3x^2 - 7x + 6$. Вынесем минус за скобки: $-(3x^2+7x-6)$. Решим уравнение $3x^2 + 7x - 6 = 0$. Дискриминант $D = 7^2 - 4 \cdot 3 \cdot (-6) = 49 + 72 = 121$. Корни уравнения: $x_1 = \frac{-7 + \sqrt{121}}{6} = \frac{-7+11}{6} = \frac{4}{6} = \frac{2}{3}$ и $x_2 = \frac{-7 - \sqrt{121}}{6} = \frac{-7-11}{6} = -3$. Разложение на множители: $-3(x-\frac{2}{3})(x-(-3)) = (-3x+2)(x+3) = (2-3x)(x+3)$. Ответ: $(2-3x)(x+3)$.

и) $x^2 - 6x + 9$. Данный трехчлен является полным квадратом разности. $x^2 - 2 \cdot x \cdot 3 + 3^2 = (x-3)^2$. Ответ: $(x-3)^2$.

к) $x^2 - x - 6$. Решим уравнение $x^2 - x - 6 = 0$. Дискриминант $D = (-1)^2 - 4 \cdot 1 \cdot (-6) = 1 + 24 = 25$. Корни уравнения: $x_1 = \frac{1 + \sqrt{25}}{2} = \frac{1+5}{2} = 3$ и $x_2 = \frac{1 - \sqrt{25}}{2} = \frac{1-5}{2} = -2$. Разложение на множители: $(x-3)(x-(-2)) = (x-3)(x+2)$. Ответ: $(x-3)(x+2)$.

л) $4x^2 + 4x + 1$. Данный трехчлен является полным квадратом суммы. $(2x)^2 + 2 \cdot 2x \cdot 1 + 1^2 = (2x+1)^2$. Ответ: $(2x+1)^2$.

м) $-8x^2 + 9x - 1$. Вынесем минус за скобки: $-(8x^2-9x+1)$. Решим уравнение $8x^2 - 9x + 1 = 0$. Дискриминант $D = (-9)^2 - 4 \cdot 8 \cdot 1 = 81 - 32 = 49$. Корни уравнения: $x_1 = \frac{9 + \sqrt{49}}{16} = \frac{9+7}{16} = 1$ и $x_2 = \frac{9 - \sqrt{49}}{16} = \frac{9-7}{16} = \frac{2}{16} = \frac{1}{8}$. Разложение на множители: $-8(x-1)(x-\frac{1}{8}) = -(x-1)(8x-1) = (1-x)(8x-1)$. Ответ: $(1-x)(8x-1)$.

Помогло решение? Оставьте отзыв в комментариях ниже.

Присоединяйтесь к Телеграм-группе @gdz_by_belarus

Присоединиться

Мы подготовили для вас ответ c подробным объяснением домашего задания по алгебре за 8 класс, для упражнения номер 2.142 расположенного на странице 130 к учебнику 2024 года издания для учащихся школ и гимназий.

Теперь на нашем сайте ГДЗ.ТОП вы всегда легко и бесплатно найдёте условие с правильным ответом на вопрос «Как решить ДЗ» и «Как сделать» задание по алгебре к упражнению №2.142 (с. 130), авторов: Арефьева (Ирина Глебовна), Пирютко (Ольга Николаевна), учебного пособия издательства Адукацыя i выхаванне.