Номер 2.147, страница 130 - гдз по алгебре 8 класс учебник Арефьева, Пирютко

Алгебра, 8 класс Учебник, авторы: Арефьева Ирина Глебовна, Пирютко Ольга Николаевна, издательство Адукацыя i выхаванне, Минск, 2024, бирюзового цвета

Авторы: Арефьева И. Г., Пирютко О. Н.

Тип: Учебник

Издательство: Адукацыя i выхаванне

Год издания: 2024 - 2026

Цвет обложки: бирюзовый с графиком

ISBN: ISBN 978-985-03-4081-8

Допущено Министерством образования Республики Беларусь

Популярные ГДЗ в 8 классе

Глава 2. Квадратные уравнения. Параграф 10. Квадратный трехчлен. Разложение квадратного трехчлена на множители - номер 2.147, страница 130.

№2.147 (с. 130)
Условие. №2.147 (с. 130)
скриншот условия
Алгебра, 8 класс Учебник, авторы: Арефьева Ирина Глебовна, Пирютко Ольга Николаевна, издательство Адукацыя i выхаванне, Минск, 2024, бирюзового цвета, страница 130, номер 2.147, Условие

2.147. Разложите на множители многочлен:

а) $x^3 - 7x^2 - 18x;$

б) $2x^3 + 5x^2 - 3x;$

в) $-x^3 - x^2 + 12x;$

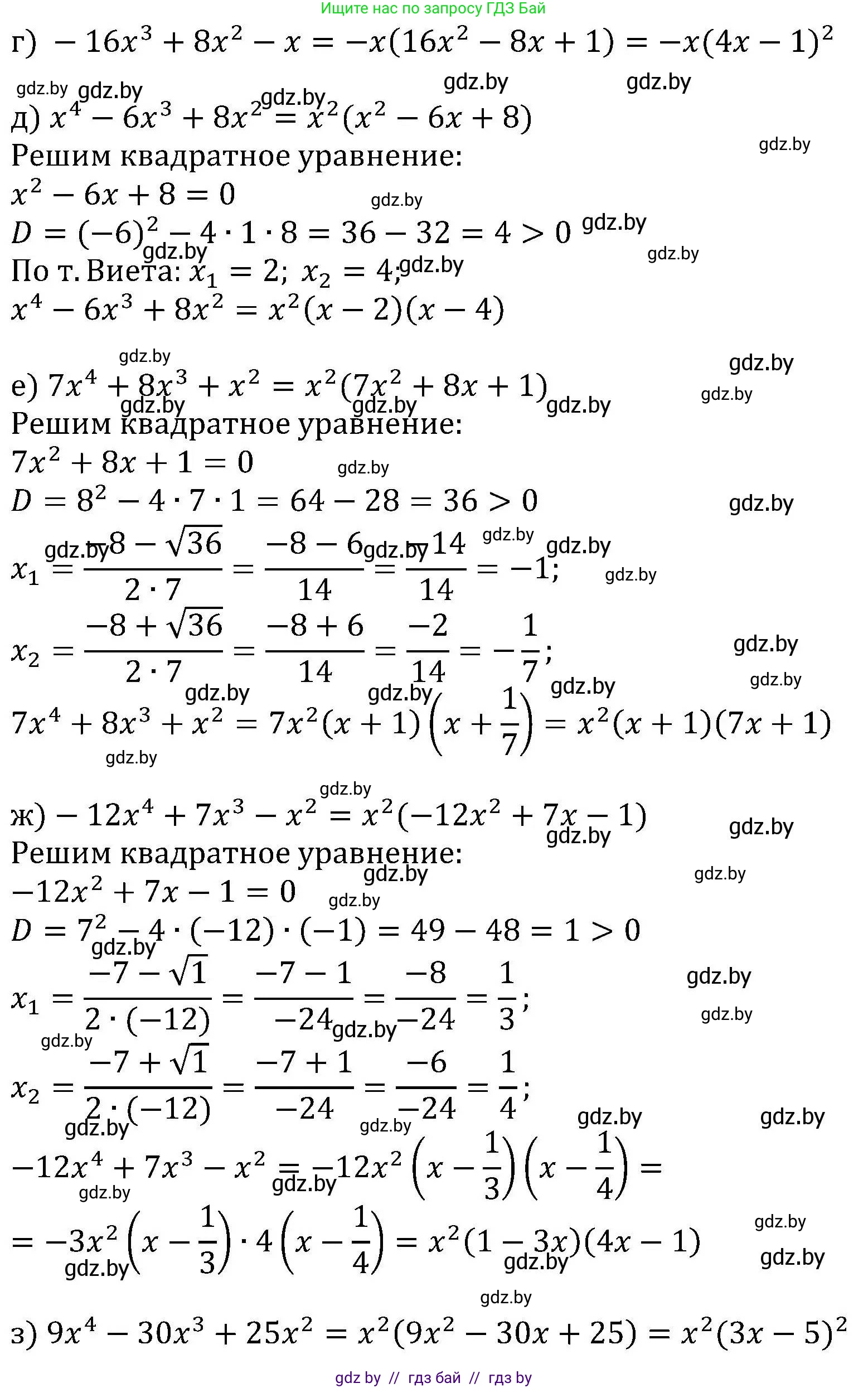
г) $-16x^3 + 8x^2 - x;$

д) $x^4 - 6x^3 + 8x^2;$

е) $7x^4 + 8x^3 + x^2;$

ж) $-12x^4 + 7x^3 - x^2;$

з) $9x^4 - 30x^3 + 25x^2.$

Решение. №2.147 (с. 130)
Алгебра, 8 класс Учебник, авторы: Арефьева Ирина Глебовна, Пирютко Ольга Николаевна, издательство Адукацыя i выхаванне, Минск, 2024, бирюзового цвета, страница 130, номер 2.147, Решение Алгебра, 8 класс Учебник, авторы: Арефьева Ирина Глебовна, Пирютко Ольга Николаевна, издательство Адукацыя i выхаванне, Минск, 2024, бирюзового цвета, страница 130, номер 2.147, Решение (продолжение 2)
Решение 2. №2.147 (с. 130)

а) $x^3 - 7x^2 - 18x$
Вынесем общий множитель $x$ за скобки:
$x(x^2 - 7x - 18)$
Теперь разложим на множители квадратный трехчлен $x^2 - 7x - 18$. Для этого найдем корни соответствующего квадратного уравнения $x^2 - 7x - 18 = 0$.
Дискриминант $D = b^2 - 4ac = (-7)^2 - 4 \cdot 1 \cdot (-18) = 49 + 72 = 121 = 11^2$.
Корни уравнения:
$x_1 = \frac{-b + \sqrt{D}}{2a} = \frac{7 + 11}{2} = \frac{18}{2} = 9$
$x_2 = \frac{-b - \sqrt{D}}{2a} = \frac{7 - 11}{2} = \frac{-4}{2} = -2$
Таким образом, $x^2 - 7x - 18 = (x - 9)(x - (-2)) = (x - 9)(x + 2)$.
Итоговое разложение многочлена:
Ответ: $x(x - 9)(x + 2)$

б) $2x^3 + 5x^2 - 3x$
Вынесем общий множитель $x$ за скобки:
$x(2x^2 + 5x - 3)$
Разложим на множители квадратный трехчлен $2x^2 + 5x - 3$. Решим уравнение $2x^2 + 5x - 3 = 0$.
Дискриминант $D = b^2 - 4ac = 5^2 - 4 \cdot 2 \cdot (-3) = 25 + 24 = 49 = 7^2$.
Корни уравнения:
$x_1 = \frac{-b + \sqrt{D}}{2a} = \frac{-5 + 7}{2 \cdot 2} = \frac{2}{4} = \frac{1}{2}$
$x_2 = \frac{-b - \sqrt{D}}{2a} = \frac{-5 - 7}{2 \cdot 2} = \frac{-12}{4} = -3$
Таким образом, $2x^2 + 5x - 3 = 2(x - \frac{1}{2})(x - (-3)) = 2(x - \frac{1}{2})(x + 3) = (2x - 1)(x + 3)$.
Итоговое разложение многочлена:
Ответ: $x(2x - 1)(x + 3)$

в) $-x^3 - x^2 + 12x$
Вынесем общий множитель $-x$ за скобки, чтобы старший коэффициент в скобках был положительным:
$-x(x^2 + x - 12)$
Разложим на множители квадратный трехчлен $x^2 + x - 12$. Решим уравнение $x^2 + x - 12 = 0$.
По теореме Виета, сумма корней равна $-1$, а произведение $-12$. Корни: $x_1 = 3$ и $x_2 = -4$.
Таким образом, $x^2 + x - 12 = (x - 3)(x - (-4)) = (x - 3)(x + 4)$.
Итоговое разложение многочлена:
Ответ: $-x(x - 3)(x + 4)$

г) $-16x^3 + 8x^2 - x$
Вынесем общий множитель $-x$ за скобки:
$-x(16x^2 - 8x + 1)$
Квадратный трехчлен в скобках является полным квадратом разности: $16x^2 - 8x + 1 = (4x)^2 - 2 \cdot (4x) \cdot 1 + 1^2 = (4x - 1)^2$.
Итоговое разложение многочлена:
Ответ: $-x(4x - 1)^2$

д) $x^4 - 6x^3 + 8x^2$
Вынесем общий множитель $x^2$ за скобки:
$x^2(x^2 - 6x + 8)$
Разложим на множители квадратный трехчлен $x^2 - 6x + 8$. Решим уравнение $x^2 - 6x + 8 = 0$.
По теореме Виета, сумма корней равна $6$, а произведение $8$. Корни: $x_1 = 2$ и $x_2 = 4$.
Таким образом, $x^2 - 6x + 8 = (x - 2)(x - 4)$.
Итоговое разложение многочлена:
Ответ: $x^2(x - 2)(x - 4)$

е) $7x^4 + 8x^3 + x^2$
Вынесем общий множитель $x^2$ за скобки:
$x^2(7x^2 + 8x + 1)$
Разложим на множители квадратный трехчлен $7x^2 + 8x + 1$. Решим уравнение $7x^2 + 8x + 1 = 0$.
Дискриминант $D = b^2 - 4ac = 8^2 - 4 \cdot 7 \cdot 1 = 64 - 28 = 36 = 6^2$.
Корни уравнения:
$x_1 = \frac{-b + \sqrt{D}}{2a} = \frac{-8 + 6}{2 \cdot 7} = \frac{-2}{14} = -\frac{1}{7}$
$x_2 = \frac{-b - \sqrt{D}}{2a} = \frac{-8 - 6}{2 \cdot 7} = \frac{-14}{14} = -1$
Таким образом, $7x^2 + 8x + 1 = 7(x - (-\frac{1}{7}))(x - (-1)) = 7(x + \frac{1}{7})(x + 1) = (7x + 1)(x + 1)$.
Итоговое разложение многочлена:
Ответ: $x^2(7x + 1)(x + 1)$

ж) $-12x^4 + 7x^3 - x^2$
Вынесем общий множитель $-x^2$ за скобки:
$-x^2(12x^2 - 7x + 1)$
Разложим на множители квадратный трехчлен $12x^2 - 7x + 1$. Решим уравнение $12x^2 - 7x + 1 = 0$.
Дискриминант $D = b^2 - 4ac = (-7)^2 - 4 \cdot 12 \cdot 1 = 49 - 48 = 1 = 1^2$.
Корни уравнения:
$x_1 = \frac{-b + \sqrt{D}}{2a} = \frac{7 + 1}{2 \cdot 12} = \frac{8}{24} = \frac{1}{3}$
$x_2 = \frac{-b - \sqrt{D}}{2a} = \frac{7 - 1}{2 \cdot 12} = \frac{6}{24} = \frac{1}{4}$
Таким образом, $12x^2 - 7x + 1 = 12(x - \frac{1}{3})(x - \frac{1}{4}) = 3(x - \frac{1}{3}) \cdot 4(x - \frac{1}{4}) = (3x - 1)(4x - 1)$.
Итоговое разложение многочлена:
Ответ: $-x^2(3x - 1)(4x - 1)$

з) $9x^4 - 30x^3 + 25x^2$
Вынесем общий множитель $x^2$ за скобки:
$x^2(9x^2 - 30x + 25)$
Квадратный трехчлен в скобках является полным квадратом разности: $9x^2 - 30x + 25 = (3x)^2 - 2 \cdot (3x) \cdot 5 + 5^2 = (3x - 5)^2$.
Итоговое разложение многочлена:
Ответ: $x^2(3x - 5)^2$

Помогло решение? Оставьте отзыв в комментариях ниже.

Присоединяйтесь к Телеграм-группе @gdz_by_belarus

Присоединиться

Мы подготовили для вас ответ c подробным объяснением домашего задания по алгебре за 8 класс, для упражнения номер 2.147 расположенного на странице 130 к учебнику 2024 года издания для учащихся школ и гимназий.

Теперь на нашем сайте ГДЗ.ТОП вы всегда легко и бесплатно найдёте условие с правильным ответом на вопрос «Как решить ДЗ» и «Как сделать» задание по алгебре к упражнению №2.147 (с. 130), авторов: Арефьева (Ирина Глебовна), Пирютко (Ольга Николаевна), учебного пособия издательства Адукацыя i выхаванне.