Номер 2.225, страница 145 - гдз по алгебре 8 класс учебник Арефьева, Пирютко

Алгебра, 8 класс Учебник, авторы: Арефьева Ирина Глебовна, Пирютко Ольга Николаевна, издательство Адукацыя i выхаванне, Минск, 2024, бирюзового цвета

Авторы: Арефьева И. Г., Пирютко О. Н.

Тип: Учебник

Издательство: Адукацыя i выхаванне

Год издания: 2024 - 2026

Цвет обложки: бирюзовый с графиком

ISBN: ISBN 978-985-03-4081-8

Допущено Министерством образования Республики Беларусь

Популярные ГДЗ в 8 классе

Глава 2. Квадратные уравнения. Параграф 12. Решение целых рациональных уравнений, сводящихся к квадратным уравнениям - номер 2.225, страница 145.

№2.225 (с. 145)
Условие. №2.225 (с. 145)
скриншот условия
Алгебра, 8 класс Учебник, авторы: Арефьева Ирина Глебовна, Пирютко Ольга Николаевна, издательство Адукацыя i выхаванне, Минск, 2024, бирюзового цвета, страница 145, номер 2.225, Условие

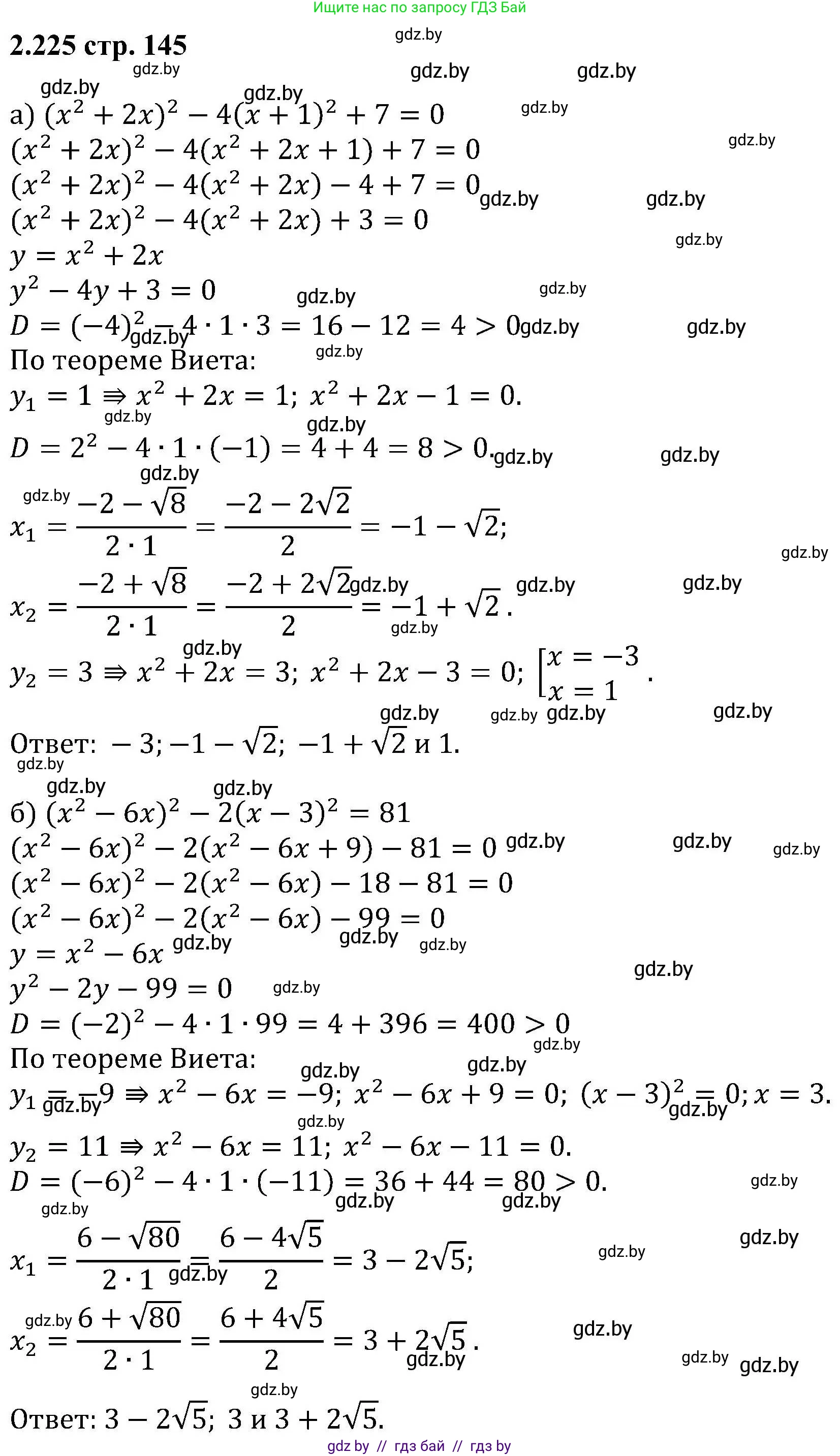
2.225. Выполните замену переменной и решите уравнение:

a) $(x^2 + 2x)^2 - 4(x + 1)^2 + 7 = 0;$

б) $(x^2 - 6x)^2 - 2(x - 3)^2 = 81.$

Решение. №2.225 (с. 145)
Алгебра, 8 класс Учебник, авторы: Арефьева Ирина Глебовна, Пирютко Ольга Николаевна, издательство Адукацыя i выхаванне, Минск, 2024, бирюзового цвета, страница 145, номер 2.225, Решение
Решение 2. №2.225 (с. 145)

а) $(x^2 + 2x)^2 - 4(x + 1)^2 + 7 = 0$

Для решения этого уравнения методом замены переменной, заметим, что выражение $(x+1)^2$ можно раскрыть.
$(x + 1)^2 = x^2 + 2x + 1$.

Подставим это в исходное уравнение:
$(x^2 + 2x)^2 - 4(x^2 + 2x + 1) + 7 = 0$

Теперь видно, что выражение $x^2 + 2x$ повторяется. Сделаем замену переменной.
Пусть $t = x^2 + 2x$.

Уравнение примет вид:
$t^2 - 4(t + 1) + 7 = 0$
$t^2 - 4t - 4 + 7 = 0$
$t^2 - 4t + 3 = 0$

Это квадратное уравнение относительно $t$. Решим его с помощью теоремы Виета:
$t_1 + t_2 = 4$
$t_1 \cdot t_2 = 3$
Отсюда находим корни: $t_1 = 1$ и $t_2 = 3$.

Теперь выполним обратную замену для каждого найденного значения $t$.

1. Если $t = 1$:
$x^2 + 2x = 1$
$x^2 + 2x - 1 = 0$
Решим это квадратное уравнение через дискриминант:
$D = b^2 - 4ac = 2^2 - 4 \cdot 1 \cdot (-1) = 4 + 4 = 8$
$x = \frac{-2 \pm \sqrt{8}}{2} = \frac{-2 \pm 2\sqrt{2}}{2} = -1 \pm \sqrt{2}$

2. Если $t = 3$:
$x^2 + 2x = 3$
$x^2 + 2x - 3 = 0$
По теореме Виета:
$x_1 + x_2 = -2$
$x_1 \cdot x_2 = -3$
Корни: $x_3 = 1$ и $x_4 = -3$.

Ответ: $-3; 1; -1 - \sqrt{2}; -1 + \sqrt{2}$.


б) $(x^2 - 6x)^2 - 2(x - 3)^2 = 81$

Преобразуем выражение $(x - 3)^2$:
$(x - 3)^2 = x^2 - 6x + 9$.

Подставим это в исходное уравнение:
$(x^2 - 6x)^2 - 2(x^2 - 6x + 9) = 81$

Сделаем замену переменной.
Пусть $t = x^2 - 6x$.

Уравнение примет вид:
$t^2 - 2(t + 9) = 81$
$t^2 - 2t - 18 = 81$
$t^2 - 2t - 99 = 0$

Решим полученное квадратное уравнение относительно $t$ через дискриминант:
$D = b^2 - 4ac = (-2)^2 - 4 \cdot 1 \cdot (-99) = 4 + 396 = 400 = 20^2$
$t = \frac{-(-2) \pm \sqrt{400}}{2 \cdot 1} = \frac{2 \pm 20}{2}$
Отсюда находим корни: $t_1 = \frac{2 + 20}{2} = 11$ и $t_2 = \frac{2 - 20}{2} = -9$.

Теперь выполним обратную замену.

1. Если $t = 11$:
$x^2 - 6x = 11$
$x^2 - 6x - 11 = 0$
Решим через дискриминант:
$D = b^2 - 4ac = (-6)^2 - 4 \cdot 1 \cdot (-11) = 36 + 44 = 80$
$x = \frac{6 \pm \sqrt{80}}{2} = \frac{6 \pm \sqrt{16 \cdot 5}}{2} = \frac{6 \pm 4\sqrt{5}}{2} = 3 \pm 2\sqrt{5}$

2. Если $t = -9$:
$x^2 - 6x = -9$
$x^2 - 6x + 9 = 0$
Это формула квадрата разности: $(x - 3)^2 = 0$.
Отсюда $x - 3 = 0$, следовательно, $x_3 = 3$.

Ответ: $3; 3 - 2\sqrt{5}; 3 + 2\sqrt{5}$.

Помогло решение? Оставьте отзыв в комментариях ниже.

Присоединяйтесь к Телеграм-группе @gdz_by_belarus

Присоединиться

Мы подготовили для вас ответ c подробным объяснением домашего задания по алгебре за 8 класс, для упражнения номер 2.225 расположенного на странице 145 к учебнику 2024 года издания для учащихся школ и гимназий.

Теперь на нашем сайте ГДЗ.ТОП вы всегда легко и бесплатно найдёте условие с правильным ответом на вопрос «Как решить ДЗ» и «Как сделать» задание по алгебре к упражнению №2.225 (с. 145), авторов: Арефьева (Ирина Глебовна), Пирютко (Ольга Николаевна), учебного пособия издательства Адукацыя i выхаванне.