Номер 2.221, страница 144 - гдз по алгебре 8 класс учебник Арефьева, Пирютко

Алгебра, 8 класс Учебник, авторы: Арефьева Ирина Глебовна, Пирютко Ольга Николаевна, издательство Адукацыя i выхаванне, Минск, 2024, бирюзового цвета

Авторы: Арефьева И. Г., Пирютко О. Н.

Тип: Учебник

Издательство: Адукацыя i выхаванне

Год издания: 2024 - 2026

Цвет обложки: бирюзовый с графиком

ISBN: ISBN 978-985-03-4081-8

Допущено Министерством образования Республики Беларусь

Популярные ГДЗ в 8 классе

Глава 2. Квадратные уравнения. Параграф 12. Решение целых рациональных уравнений, сводящихся к квадратным уравнениям - номер 2.221, страница 144.

№2.221 (с. 144)
Условие. №2.221 (с. 144)
скриншот условия
Алгебра, 8 класс Учебник, авторы: Арефьева Ирина Глебовна, Пирютко Ольга Николаевна, издательство Адукацыя i выхаванне, Минск, 2024, бирюзового цвета, страница 144, номер 2.221, Условие

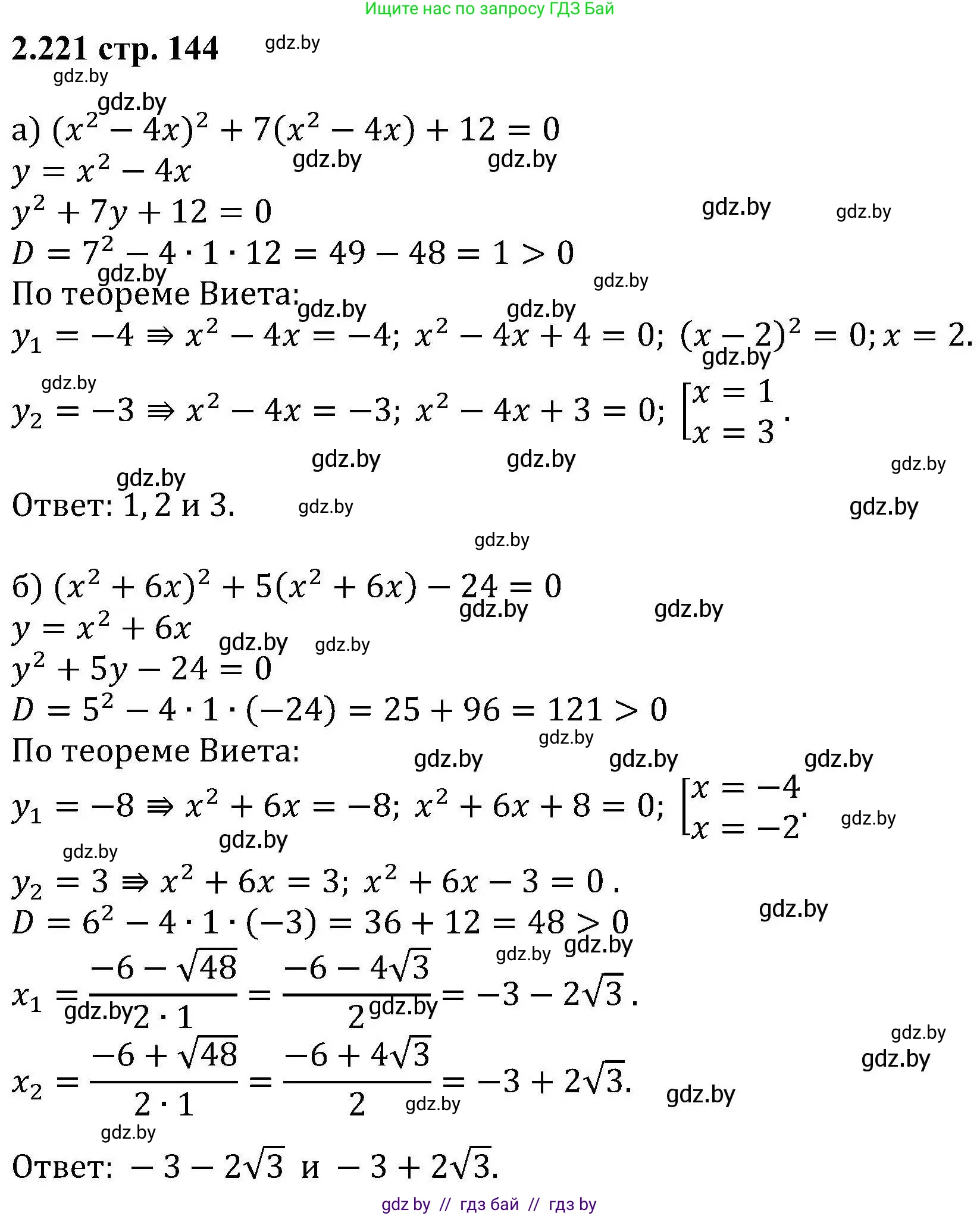
2.221. Выполните замену переменной и решите уравнение:

а) $(x^2 - 4x)^2 + 7(x^2 - 4x) + 12 = 0;$

б) $(x^2 + 6x)^2 + 5(x^2 + 6x) - 24 = 0;$

в) $(x^2 - x - 1)^2 - 10(x^2 - x - 1) + 9 = 0;$

г) $(x^2 - 4x + 3)^2 + 6(x^2 - 4x + 3) - 7 = 0.$

Решение. №2.221 (с. 144)
Алгебра, 8 класс Учебник, авторы: Арефьева Ирина Глебовна, Пирютко Ольга Николаевна, издательство Адукацыя i выхаванне, Минск, 2024, бирюзового цвета, страница 144, номер 2.221, Решение Алгебра, 8 класс Учебник, авторы: Арефьева Ирина Глебовна, Пирютко Ольга Николаевна, издательство Адукацыя i выхаванне, Минск, 2024, бирюзового цвета, страница 144, номер 2.221, Решение (продолжение 2)
Решение 2. №2.221 (с. 144)

а) Дано уравнение: $(x^2 - 4x)^2 + 7(x^2 - 4x) + 12 = 0$.

Для решения этого уравнения введем новую переменную. Пусть $t = x^2 - 4x$. Тогда исходное уравнение можно переписать в виде квадратного уравнения относительно $t$:

$t^2 + 7t + 12 = 0$

Найдем корни этого уравнения с помощью теоремы Виета:

  • Сумма корней: $t_1 + t_2 = -7$
  • Произведение корней: $t_1 \cdot t_2 = 12$

Легко подобрать корни: $t_1 = -4$ и $t_2 = -3$.

Теперь выполним обратную замену, чтобы найти значения $x$.

Случай 1: $t = -4$

$x^2 - 4x = -4$

$x^2 - 4x + 4 = 0$

Свернем левую часть по формуле квадрата разности:

$(x - 2)^2 = 0$

Отсюда получаем один корень: $x_1 = 2$.

Случай 2: $t = -3$

$x^2 - 4x = -3$

$x^2 - 4x + 3 = 0$

По теореме Виета для этого уравнения:

  • Сумма корней: $x_2 + x_3 = 4$
  • Произведение корней: $x_2 \cdot x_3 = 3$

Находим корни: $x_2 = 1$ и $x_3 = 3$.

Ответ: $1; 2; 3$.

б) Дано уравнение: $(x^2 + 6x)^2 + 5(x^2 + 6x) - 24 = 0$.

Введем замену переменной: $t = x^2 + 6x$. Уравнение примет вид:

$t^2 + 5t - 24 = 0$

Решим это квадратное уравнение по теореме Виета:

  • Сумма корней: $t_1 + t_2 = -5$
  • Произведение корней: $t_1 \cdot t_2 = -24$

Корни: $t_1 = 3$ и $t_2 = -8$.

Выполним обратную замену.

Случай 1: $t = 3$

$x^2 + 6x = 3$

$x^2 + 6x - 3 = 0$

Найдем дискриминант: $D = b^2 - 4ac = 6^2 - 4(1)(-3) = 36 + 12 = 48$.

Корни: $x = \frac{-6 \pm \sqrt{48}}{2} = \frac{-6 \pm 4\sqrt{3}}{2} = -3 \pm 2\sqrt{3}$.

Получаем два корня: $x_1 = -3 + 2\sqrt{3}$ и $x_2 = -3 - 2\sqrt{3}$.

Случай 2: $t = -8$

$x^2 + 6x = -8$

$x^2 + 6x + 8 = 0$

По теореме Виета:

  • Сумма корней: $x_3 + x_4 = -6$
  • Произведение корней: $x_3 \cdot x_4 = 8$

Находим корни: $x_3 = -2$ и $x_4 = -4$.

Ответ: $-4; -2; -3 - 2\sqrt{3}; -3 + 2\sqrt{3}$.

в) Дано уравнение: $(x^2 - x - 1)^2 - 10(x^2 - x - 1) + 9 = 0$.

Введем замену: $t = x^2 - x - 1$. Получим уравнение:

$t^2 - 10t + 9 = 0$

По теореме Виета:

  • Сумма корней: $t_1 + t_2 = 10$
  • Произведение корней: $t_1 \cdot t_2 = 9$

Корни: $t_1 = 1$ и $t_2 = 9$.

Выполним обратную замену.

Случай 1: $t = 1$

$x^2 - x - 1 = 1$

$x^2 - x - 2 = 0$

По теореме Виета, корни этого уравнения $x_1 = 2$ и $x_2 = -1$.

Случай 2: $t = 9$

$x^2 - x - 1 = 9$

$x^2 - x - 10 = 0$

Найдем дискриминант: $D = b^2 - 4ac = (-1)^2 - 4(1)(-10) = 1 + 40 = 41$.

Корни: $x = \frac{-(-1) \pm \sqrt{41}}{2(1)} = \frac{1 \pm \sqrt{41}}{2}$.

Получаем еще два корня: $x_3 = \frac{1 + \sqrt{41}}{2}$ и $x_4 = \frac{1 - \sqrt{41}}{2}$.

Ответ: $-1; 2; \frac{1 - \sqrt{41}}{2}; \frac{1 + \sqrt{41}}{2}$.

г) Дано уравнение: $(x^2 - 4x + 3)^2 + 6(x^2 - 4x + 3) - 7 = 0$.

Введем замену: $t = x^2 - 4x + 3$. Уравнение примет вид:

$t^2 + 6t - 7 = 0$

По теореме Виета:

  • Сумма корней: $t_1 + t_2 = -6$
  • Произведение корней: $t_1 \cdot t_2 = -7$

Корни: $t_1 = 1$ и $t_2 = -7$.

Выполним обратную замену.

Случай 1: $t = 1$

$x^2 - 4x + 3 = 1$

$x^2 - 4x + 2 = 0$

Найдем дискриминант: $D = b^2 - 4ac = (-4)^2 - 4(1)(2) = 16 - 8 = 8$.

Корни: $x = \frac{-(-4) \pm \sqrt{8}}{2} = \frac{4 \pm 2\sqrt{2}}{2} = 2 \pm \sqrt{2}$.

Получаем два корня: $x_1 = 2 + \sqrt{2}$ и $x_2 = 2 - \sqrt{2}$.

Случай 2: $t = -7$

$x^2 - 4x + 3 = -7$

$x^2 - 4x + 10 = 0$

Найдем дискриминант: $D = b^2 - 4ac = (-4)^2 - 4(1)(10) = 16 - 40 = -24$.

Так как $D < 0$, в этом случае действительных корней нет.

Ответ: $2 - \sqrt{2}; 2 + \sqrt{2}$.

Помогло решение? Оставьте отзыв в комментариях ниже.

Присоединяйтесь к Телеграм-группе @gdz_by_belarus

Присоединиться

Мы подготовили для вас ответ c подробным объяснением домашего задания по алгебре за 8 класс, для упражнения номер 2.221 расположенного на странице 144 к учебнику 2024 года издания для учащихся школ и гимназий.

Теперь на нашем сайте ГДЗ.ТОП вы всегда легко и бесплатно найдёте условие с правильным ответом на вопрос «Как решить ДЗ» и «Как сделать» задание по алгебре к упражнению №2.221 (с. 144), авторов: Арефьева (Ирина Глебовна), Пирютко (Ольга Николаевна), учебного пособия издательства Адукацыя i выхаванне.