Номер 2.43, страница 111 - гдз по алгебре 8 класс учебник Арефьева, Пирютко

Алгебра, 8 класс Учебник, авторы: Арефьева Ирина Глебовна, Пирютко Ольга Николаевна, издательство Адукацыя i выхаванне, Минск, 2024, бирюзового цвета

Авторы: Арефьева И. Г., Пирютко О. Н.

Тип: Учебник

Издательство: Адукацыя i выхаванне

Год издания: 2024 - 2026

Цвет обложки: бирюзовый с графиком

ISBN: ISBN 978-985-03-4081-8

Допущено Министерством образования Республики Беларусь

Популярные ГДЗ в 8 классе

Глава 2. Квадратные уравнения. Параграф 8. Формулы корней квадратного уравнения - номер 2.43, страница 111.

№2.43 (с. 111)
Условие. №2.43 (с. 111)
скриншот условия
Алгебра, 8 класс Учебник, авторы: Арефьева Ирина Глебовна, Пирютко Ольга Николаевна, издательство Адукацыя i выхаванне, Минск, 2024, бирюзового цвета, страница 111, номер 2.43, Условие

2.43. Решите квадратное уравнение, используя алгоритм:

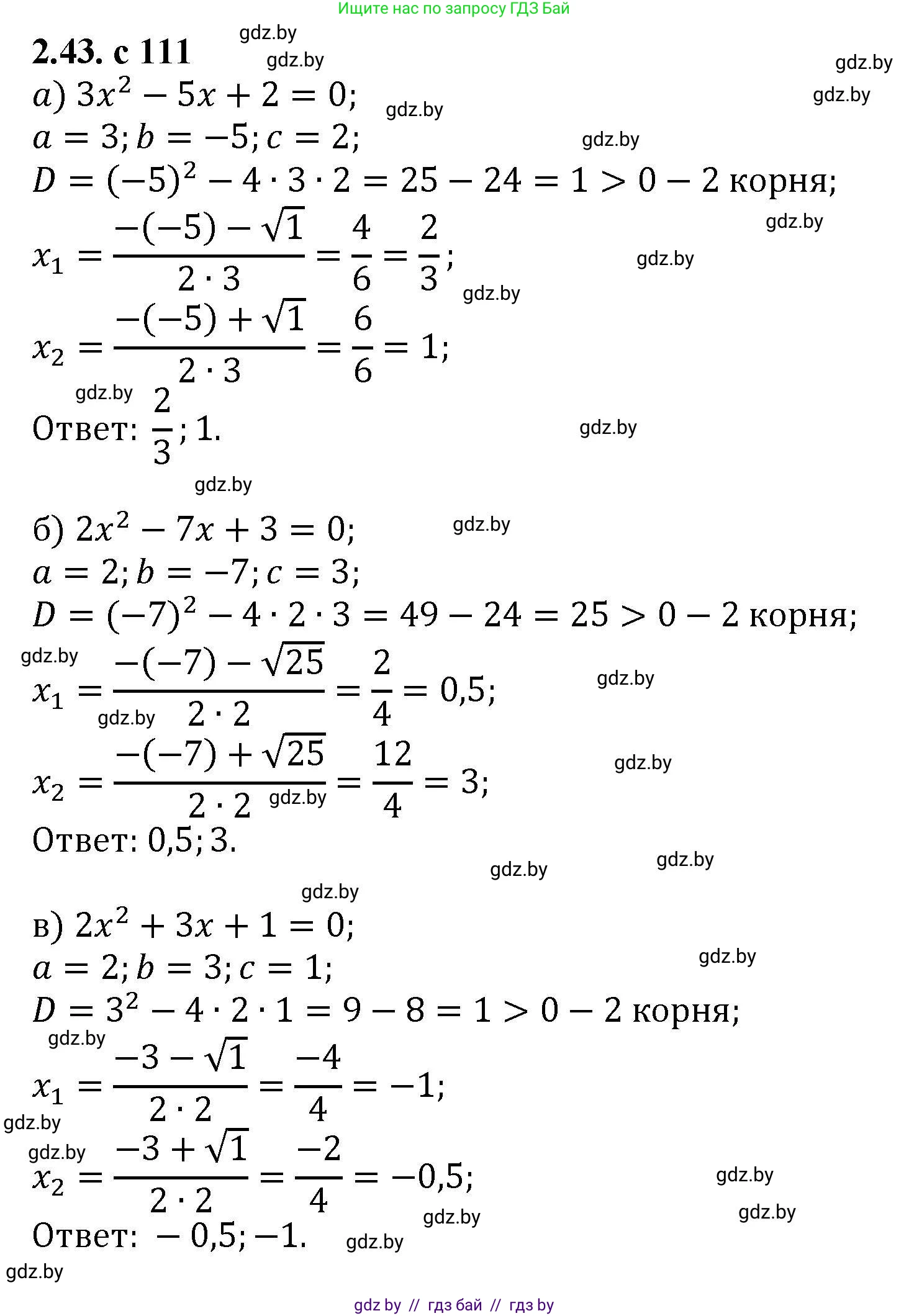
а) $3x^2 - 5x + 2 = 0;$

б) $2x^2 - 7x + 3 = 0;$

в) $2x^2 + 3x + 1 = 0;$

г) $3x^2 + x - 2 = 0;$

д) $x^2 - 6x + 8 = 0;$

е) $8x^2 - 2x + 1 = 0;$

ж) $5x^2 - 4x - 1 = 0;$

з) $4x^2 - 4x + 1 = 0.$

Решение. №2.43 (с. 111)
Алгебра, 8 класс Учебник, авторы: Арефьева Ирина Глебовна, Пирютко Ольга Николаевна, издательство Адукацыя i выхаванне, Минск, 2024, бирюзового цвета, страница 111, номер 2.43, Решение Алгебра, 8 класс Учебник, авторы: Арефьева Ирина Глебовна, Пирютко Ольга Николаевна, издательство Адукацыя i выхаванне, Минск, 2024, бирюзового цвета, страница 111, номер 2.43, Решение (продолжение 2)
Решение 2. №2.43 (с. 111)

а) Дано квадратное уравнение $3x^2 - 5x + 2 = 0$.

Определим коэффициенты: $a = 3$, $b = -5$, $c = 2$.

Вычислим дискриминант по формуле $D = b^2 - 4ac$:

$D = (-5)^2 - 4 \cdot 3 \cdot 2 = 25 - 24 = 1$.

Так как $D > 0$, уравнение имеет два различных действительных корня. $\sqrt{D} = \sqrt{1} = 1$.

Найдем корни по формуле $x_{1,2} = \frac{-b \pm \sqrt{D}}{2a}$:

$x_1 = \frac{-(-5) + 1}{2 \cdot 3} = \frac{5 + 1}{6} = \frac{6}{6} = 1$.

$x_2 = \frac{-(-5) - 1}{2 \cdot 3} = \frac{5 - 1}{6} = \frac{4}{6} = \frac{2}{3}$.

Ответ: $x_1 = 1$, $x_2 = \frac{2}{3}$.

б) Дано квадратное уравнение $2x^2 - 7x + 3 = 0$.

Определим коэффициенты: $a = 2$, $b = -7$, $c = 3$.

Вычислим дискриминант: $D = b^2 - 4ac = (-7)^2 - 4 \cdot 2 \cdot 3 = 49 - 24 = 25$.

Так как $D > 0$, уравнение имеет два различных действительных корня. $\sqrt{D} = \sqrt{25} = 5$.

Найдем корни по формуле $x_{1,2} = \frac{-b \pm \sqrt{D}}{2a}$:

$x_1 = \frac{-(-7) + 5}{2 \cdot 2} = \frac{7 + 5}{4} = \frac{12}{4} = 3$.

$x_2 = \frac{-(-7) - 5}{2 \cdot 2} = \frac{7 - 5}{4} = \frac{2}{4} = \frac{1}{2}$.

Ответ: $x_1 = 3$, $x_2 = \frac{1}{2}$.

в) Дано квадратное уравнение $2x^2 + 3x + 1 = 0$.

Определим коэффициенты: $a = 2$, $b = 3$, $c = 1$.

Вычислим дискриминант: $D = b^2 - 4ac = 3^2 - 4 \cdot 2 \cdot 1 = 9 - 8 = 1$.

Так как $D > 0$, уравнение имеет два различных действительных корня. $\sqrt{D} = \sqrt{1} = 1$.

Найдем корни по формуле $x_{1,2} = \frac{-b \pm \sqrt{D}}{2a}$:

$x_1 = \frac{-3 + 1}{2 \cdot 2} = \frac{-2}{4} = -\frac{1}{2}$.

$x_2 = \frac{-3 - 1}{2 \cdot 2} = \frac{-4}{4} = -1$.

Ответ: $x_1 = -1$, $x_2 = -\frac{1}{2}$.

г) Дано квадратное уравнение $3x^2 + x - 2 = 0$.

Определим коэффициенты: $a = 3$, $b = 1$, $c = -2$.

Вычислим дискриминант: $D = b^2 - 4ac = 1^2 - 4 \cdot 3 \cdot (-2) = 1 + 24 = 25$.

Так как $D > 0$, уравнение имеет два различных действительных корня. $\sqrt{D} = \sqrt{25} = 5$.

Найдем корни по формуле $x_{1,2} = \frac{-b \pm \sqrt{D}}{2a}$:

$x_1 = \frac{-1 + 5}{2 \cdot 3} = \frac{4}{6} = \frac{2}{3}$.

$x_2 = \frac{-1 - 5}{2 \cdot 3} = \frac{-6}{6} = -1$.

Ответ: $x_1 = -1$, $x_2 = \frac{2}{3}$.

д) Дано квадратное уравнение $x^2 - 6x + 8 = 0$.

Определим коэффициенты: $a = 1$, $b = -6$, $c = 8$.

Вычислим дискриминант: $D = b^2 - 4ac = (-6)^2 - 4 \cdot 1 \cdot 8 = 36 - 32 = 4$.

Так как $D > 0$, уравнение имеет два различных действительных корня. $\sqrt{D} = \sqrt{4} = 2$.

Найдем корни по формуле $x_{1,2} = \frac{-b \pm \sqrt{D}}{2a}$:

$x_1 = \frac{-(-6) + 2}{2 \cdot 1} = \frac{6 + 2}{2} = \frac{8}{2} = 4$.

$x_2 = \frac{-(-6) - 2}{2 \cdot 1} = \frac{6 - 2}{2} = \frac{4}{2} = 2$.

Ответ: $x_1 = 2$, $x_2 = 4$.

е) Дано квадратное уравнение $8x^2 - 2x + 1 = 0$.

Определим коэффициенты: $a = 8$, $b = -2$, $c = 1$.

Вычислим дискриминант: $D = b^2 - 4ac = (-2)^2 - 4 \cdot 8 \cdot 1 = 4 - 32 = -28$.

Так как $D < 0$, уравнение не имеет действительных корней.

Ответ: нет действительных корней.

ж) Дано квадратное уравнение $5x^2 - 4x - 1 = 0$.

Определим коэффициенты: $a = 5$, $b = -4$, $c = -1$.

Вычислим дискриминант: $D = b^2 - 4ac = (-4)^2 - 4 \cdot 5 \cdot (-1) = 16 + 20 = 36$.

Так как $D > 0$, уравнение имеет два различных действительных корня. $\sqrt{D} = \sqrt{36} = 6$.

Найдем корни по формуле $x_{1,2} = \frac{-b \pm \sqrt{D}}{2a}$:

$x_1 = \frac{-(-4) + 6}{2 \cdot 5} = \frac{4 + 6}{10} = \frac{10}{10} = 1$.

$x_2 = \frac{-(-4) - 6}{2 \cdot 5} = \frac{4 - 6}{10} = \frac{-2}{10} = -\frac{1}{5}$.

Ответ: $x_1 = 1$, $x_2 = -\frac{1}{5}$.

з) Дано квадратное уравнение $4x^2 - 4x + 1 = 0$.

Определим коэффициенты: $a = 4$, $b = -4$, $c = 1$.

Вычислим дискриминант: $D = b^2 - 4ac = (-4)^2 - 4 \cdot 4 \cdot 1 = 16 - 16 = 0$.

Так как $D = 0$, уравнение имеет один действительный корень (или два совпадающих).

Найдем корень по формуле $x = \frac{-b}{2a}$:

$x = \frac{-(-4)}{2 \cdot 4} = \frac{4}{8} = \frac{1}{2}$.

Ответ: $x = \frac{1}{2}$.

Помогло решение? Оставьте отзыв в комментариях ниже.

Присоединяйтесь к Телеграм-группе @gdz_by_belarus

Присоединиться

Мы подготовили для вас ответ c подробным объяснением домашего задания по алгебре за 8 класс, для упражнения номер 2.43 расположенного на странице 111 к учебнику 2024 года издания для учащихся школ и гимназий.

Теперь на нашем сайте ГДЗ.ТОП вы всегда легко и бесплатно найдёте условие с правильным ответом на вопрос «Как решить ДЗ» и «Как сделать» задание по алгебре к упражнению №2.43 (с. 111), авторов: Арефьева (Ирина Глебовна), Пирютко (Ольга Николаевна), учебного пособия издательства Адукацыя i выхаванне.