Номер 2.44, страница 111 - гдз по алгебре 8 класс учебник Арефьева, Пирютко

Алгебра, 8 класс Учебник, авторы: Арефьева Ирина Глебовна, Пирютко Ольга Николаевна, издательство Адукацыя i выхаванне, Минск, 2024, бирюзового цвета

Авторы: Арефьева И. Г., Пирютко О. Н.

Тип: Учебник

Издательство: Адукацыя i выхаванне

Год издания: 2024 - 2026

Цвет обложки: бирюзовый с графиком

ISBN: ISBN 978-985-03-4081-8

Допущено Министерством образования Республики Беларусь

Популярные ГДЗ в 8 классе

Глава 2. Квадратные уравнения. Параграф 8. Формулы корней квадратного уравнения - номер 2.44, страница 111.

№2.44 (с. 111)
Условие. №2.44 (с. 111)
скриншот условия
Алгебра, 8 класс Учебник, авторы: Арефьева Ирина Глебовна, Пирютко Ольга Николаевна, издательство Адукацыя i выхаванне, Минск, 2024, бирюзового цвета, страница 111, номер 2.44, Условие

2.44. Решите уравнение:

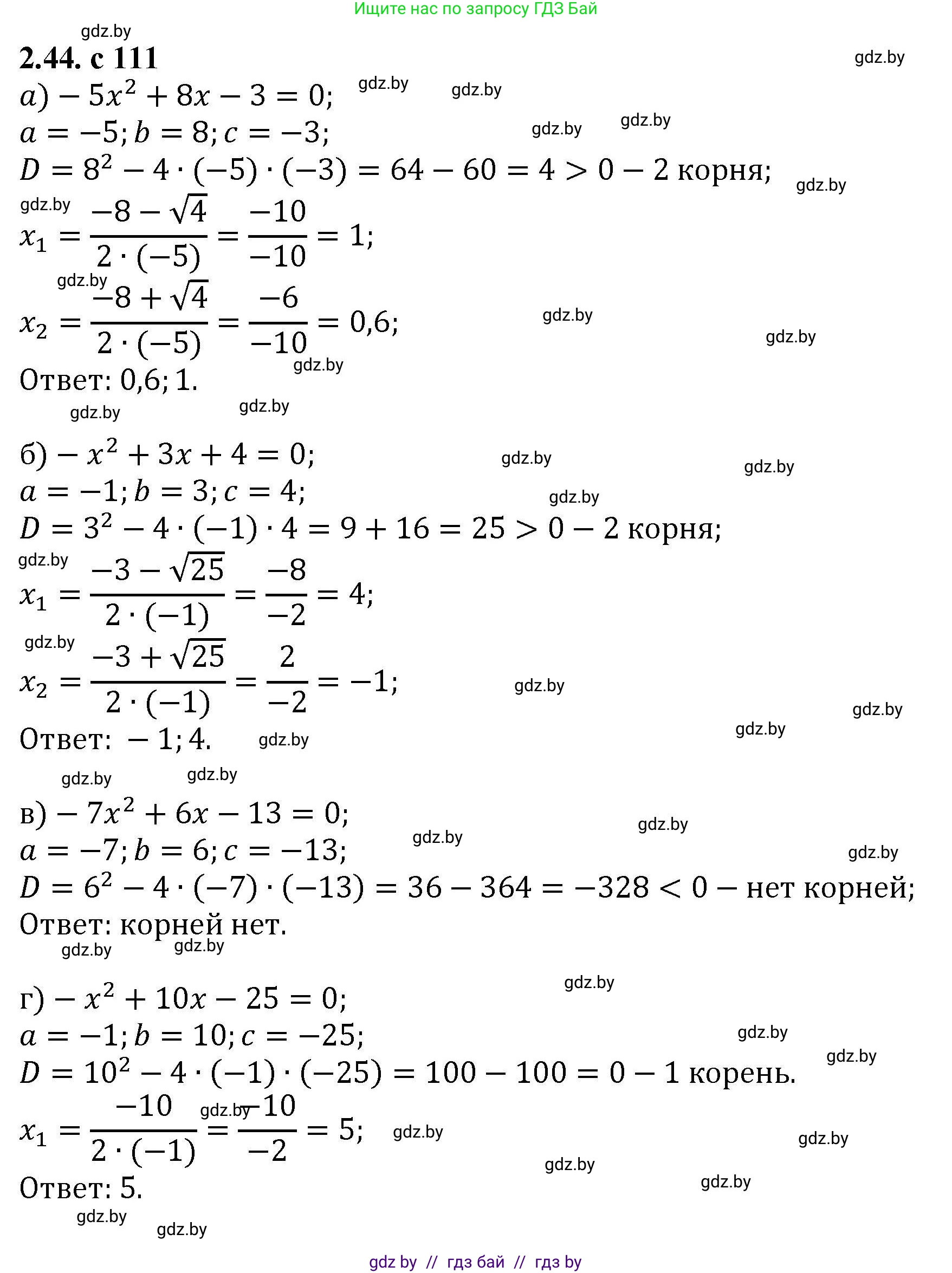
а) $-5x^2 + 8x - 3 = 0;$

б) $-x^2 + 3x + 4 = 0;$

в) $-7x^2 + 6x - 13 = 0;$

г) $-x^2 + 10x - 25 = 0;$

д) $7x - 6x^2 - 2 = 0;$

е) $3 - x - 4x^2 = 0;$

ж) $x^2 - 4x - 5 = 0;$

з) $6x - 9x^2 - 1 = 0.$

Решение. №2.44 (с. 111)
Алгебра, 8 класс Учебник, авторы: Арефьева Ирина Глебовна, Пирютко Ольга Николаевна, издательство Адукацыя i выхаванне, Минск, 2024, бирюзового цвета, страница 111, номер 2.44, Решение Алгебра, 8 класс Учебник, авторы: Арефьева Ирина Глебовна, Пирютко Ольга Николаевна, издательство Адукацыя i выхаванне, Минск, 2024, бирюзового цвета, страница 111, номер 2.44, Решение (продолжение 2)
Решение 2. №2.44 (с. 111)

Все представленные уравнения являются квадратными уравнениями вида $ax^2 + bx + c = 0$. Для их решения используется формула корней квадратного уравнения через дискриминант: $x = \frac{-b \pm \sqrt{D}}{2a}$, где дискриминант $D = b^2 - 4ac$.

  • Если $D > 0$, уравнение имеет два различных действительных корня.
  • Если $D = 0$, уравнение имеет один действительный корень (или два совпадающих).
  • Если $D < 0$, уравнение не имеет действительных корней.

а) Дано уравнение: $-5x^2 + 8x - 3 = 0$.
Коэффициенты: $a = -5, b = 8, c = -3$.
Вычисляем дискриминант:
$D = b^2 - 4ac = 8^2 - 4 \cdot (-5) \cdot (-3) = 64 - 60 = 4$.
Так как $D = 4 > 0$, уравнение имеет два корня.
$x_{1,2} = \frac{-b \pm \sqrt{D}}{2a} = \frac{-8 \pm \sqrt{4}}{2 \cdot (-5)} = \frac{-8 \pm 2}{-10}$.
$x_1 = \frac{-8 + 2}{-10} = \frac{-6}{-10} = \frac{3}{5}$.
$x_2 = \frac{-8 - 2}{-10} = \frac{-10}{-10} = 1$.
Ответ: $x_1 = \frac{3}{5}$, $x_2 = 1$.

б) Дано уравнение: $-x^2 + 3x + 4 = 0$.
Умножим обе части на -1 для удобства: $x^2 - 3x - 4 = 0$.
Коэффициенты: $a = 1, b = -3, c = -4$.
Вычисляем дискриминант:
$D = b^2 - 4ac = (-3)^2 - 4 \cdot 1 \cdot (-4) = 9 + 16 = 25$.
Так как $D = 25 > 0$, уравнение имеет два корня.
$x_{1,2} = \frac{-b \pm \sqrt{D}}{2a} = \frac{-(-3) \pm \sqrt{25}}{2 \cdot 1} = \frac{3 \pm 5}{2}$.
$x_1 = \frac{3 + 5}{2} = \frac{8}{2} = 4$.
$x_2 = \frac{3 - 5}{2} = \frac{-2}{2} = -1$.
Ответ: $x_1 = 4$, $x_2 = -1$.

в) Дано уравнение: $-7x^2 + 6x - 13 = 0$.
Коэффициенты: $a = -7, b = 6, c = -13$.
Вычисляем дискриминант:
$D = b^2 - 4ac = 6^2 - 4 \cdot (-7) \cdot (-13) = 36 - 364 = -328$.
Так как $D < 0$, уравнение не имеет действительных корней.
Ответ: корней нет.

г) Дано уравнение: $-x^2 + 10x - 25 = 0$.
Умножим обе части на -1: $x^2 - 10x + 25 = 0$.
Можно заметить, что левая часть является полным квадратом: $(x - 5)^2 = 0$.
Отсюда $x - 5 = 0 \implies x = 5$.
Проверим через дискриминант: $a = 1, b = -10, c = 25$.
$D = b^2 - 4ac = (-10)^2 - 4 \cdot 1 \cdot 25 = 100 - 100 = 0$.
Так как $D = 0$, уравнение имеет один корень.
$x = \frac{-b}{2a} = \frac{-(-10)}{2 \cdot 1} = \frac{10}{2} = 5$.
Ответ: $x = 5$.

д) Дано уравнение: $7x - 6x^2 - 2 = 0$.
Запишем в стандартном виде: $-6x^2 + 7x - 2 = 0$.
Коэффициенты: $a = -6, b = 7, c = -2$.
Вычисляем дискриминант:
$D = b^2 - 4ac = 7^2 - 4 \cdot (-6) \cdot (-2) = 49 - 48 = 1$.
Так как $D = 1 > 0$, уравнение имеет два корня.
$x_{1,2} = \frac{-b \pm \sqrt{D}}{2a} = \frac{-7 \pm \sqrt{1}}{2 \cdot (-6)} = \frac{-7 \pm 1}{-12}$.
$x_1 = \frac{-7 + 1}{-12} = \frac{-6}{-12} = \frac{1}{2}$.
$x_2 = \frac{-7 - 1}{-12} = \frac{-8}{-12} = \frac{2}{3}$.
Ответ: $x_1 = \frac{1}{2}$, $x_2 = \frac{2}{3}$.

е) Дано уравнение: $3 - x - 4x^2 = 0$.
Запишем в стандартном виде: $-4x^2 - x + 3 = 0$.
Умножим на -1: $4x^2 + x - 3 = 0$.
Коэффициенты: $a = 4, b = 1, c = -3$.
Вычисляем дискриминант:
$D = b^2 - 4ac = 1^2 - 4 \cdot 4 \cdot (-3) = 1 + 48 = 49$.
Так как $D = 49 > 0$, уравнение имеет два корня.
$x_{1,2} = \frac{-b \pm \sqrt{D}}{2a} = \frac{-1 \pm \sqrt{49}}{2 \cdot 4} = \frac{-1 \pm 7}{8}$.
$x_1 = \frac{-1 + 7}{8} = \frac{6}{8} = \frac{3}{4}$.
$x_2 = \frac{-1 - 7}{8} = \frac{-8}{8} = -1$.
Ответ: $x_1 = \frac{3}{4}$, $x_2 = -1$.

ж) Дано уравнение: $x^2 - 4x - 5 = 0$.
Это приведенное квадратное уравнение. Воспользуемся теоремой Виета:
$x_1 + x_2 = -(-4) = 4$
$x_1 \cdot x_2 = -5$
Методом подбора находим корни: $x_1 = 5, x_2 = -1$.
Проверка: $5 + (-1) = 4$, $5 \cdot (-1) = -5$.
Также можно решить через дискриминант: $a = 1, b = -4, c = -5$.
$D = b^2 - 4ac = (-4)^2 - 4 \cdot 1 \cdot (-5) = 16 + 20 = 36$.
$x_{1,2} = \frac{-(-4) \pm \sqrt{36}}{2 \cdot 1} = \frac{4 \pm 6}{2}$.
$x_1 = \frac{4 + 6}{2} = \frac{10}{2} = 5$.
$x_2 = \frac{4 - 6}{2} = \frac{-2}{2} = -1$.
Ответ: $x_1 = 5$, $x_2 = -1$.

з) Дано уравнение: $6x - 9x^2 - 1 = 0$.
Запишем в стандартном виде: $-9x^2 + 6x - 1 = 0$.
Умножим на -1: $9x^2 - 6x + 1 = 0$.
Левая часть является полным квадратом: $(3x - 1)^2 = 0$.
$3x - 1 = 0 \implies 3x = 1 \implies x = \frac{1}{3}$.
Проверим через дискриминант: $a = 9, b = -6, c = 1$.
$D = b^2 - 4ac = (-6)^2 - 4 \cdot 9 \cdot 1 = 36 - 36 = 0$.
Так как $D = 0$, уравнение имеет один корень.
$x = \frac{-b}{2a} = \frac{-(-6)}{2 \cdot 9} = \frac{6}{18} = \frac{1}{3}$.
Ответ: $x = \frac{1}{3}$.

Помогло решение? Оставьте отзыв в комментариях ниже.

Присоединяйтесь к Телеграм-группе @gdz_by_belarus

Присоединиться

Мы подготовили для вас ответ c подробным объяснением домашего задания по алгебре за 8 класс, для упражнения номер 2.44 расположенного на странице 111 к учебнику 2024 года издания для учащихся школ и гимназий.

Теперь на нашем сайте ГДЗ.ТОП вы всегда легко и бесплатно найдёте условие с правильным ответом на вопрос «Как решить ДЗ» и «Как сделать» задание по алгебре к упражнению №2.44 (с. 111), авторов: Арефьева (Ирина Глебовна), Пирютко (Ольга Николаевна), учебного пособия издательства Адукацыя i выхаванне.