Номер 3.180, страница 201 - гдз по алгебре 8 класс учебник Арефьева, Пирютко

Алгебра, 8 класс Учебник, авторы: Арефьева Ирина Глебовна, Пирютко Ольга Николаевна, издательство Адукацыя i выхаванне, Минск, 2024, бирюзового цвета

Авторы: Арефьева И. Г., Пирютко О. Н.

Тип: Учебник

Издательство: Адукацыя i выхаванне

Год издания: 2024 - 2026

Цвет обложки: бирюзовый с графиком

ISBN: ISBN 978-985-03-4081-8

Допущено Министерством образования Республики Беларусь

Популярные ГДЗ в 8 классе

Глава 3. Квадратичная функция. Параграф 15. Квадратные неравенства - номер 3.180, страница 201.

№3.180 (с. 201)
Условие. №3.180 (с. 201)
скриншот условия
Алгебра, 8 класс Учебник, авторы: Арефьева Ирина Глебовна, Пирютко Ольга Николаевна, издательство Адукацыя i выхаванне, Минск, 2024, бирюзового цвета, страница 201, номер 3.180, Условие

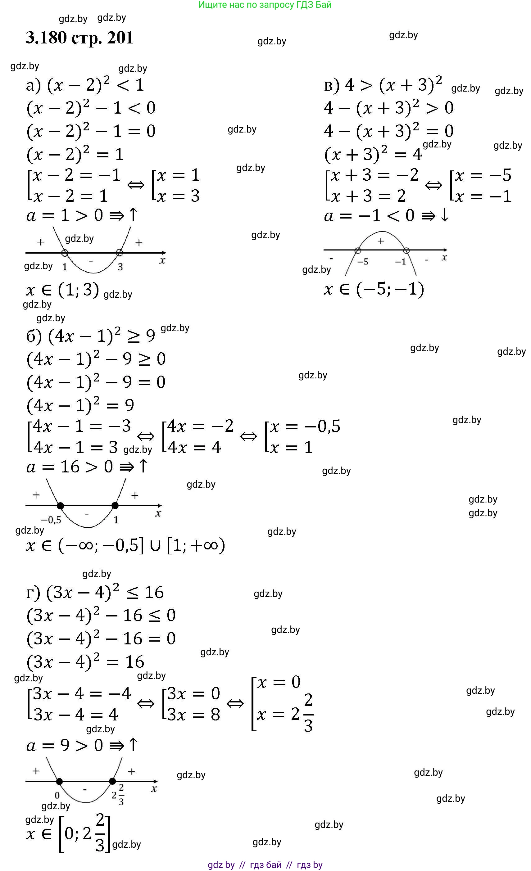
3.180. Решите неравенство:

а) $(x-2)^2 < 1;$

б) $(4x-1)^2 \ge 9;$

в) $4 > (x+3)^2;$

г) $(3x-4)^2 \le 16.$

Решение. №3.180 (с. 201)
Алгебра, 8 класс Учебник, авторы: Арефьева Ирина Глебовна, Пирютко Ольга Николаевна, издательство Адукацыя i выхаванне, Минск, 2024, бирюзового цвета, страница 201, номер 3.180, Решение
Решение 2. №3.180 (с. 201)

а) Решим неравенство $(x-2)^2 < 1$.
Данное неравенство эквивалентно тому, что модуль выражения $x-2$ меньше, чем $\sqrt{1}=1$. Это можно записать в виде двойного неравенства: $$ -1 < x-2 < 1 $$ Чтобы найти $x$, прибавим 2 ко всем частям неравенства: $$ -1 + 2 < x - 2 + 2 < 1 + 2 $$ $$ 1 < x < 3 $$ Решение в виде интервала: $x \in (1; 3)$.
Ответ: $x \in (1; 3)$.

б) Решим неравенство $(4x-1)^2 \ge 9$.
Данное неравенство эквивалентно тому, что модуль выражения $4x-1$ больше или равен $\sqrt{9}=3$. Это распадается на совокупность двух неравенств: $$ 4x-1 \ge 3 \quad \text{или} \quad 4x-1 \le -3 $$ Решим каждое из них:

  1. $4x - 1 \ge 3$
    $4x \ge 3 + 1$
    $4x \ge 4$
    $x \ge 1$
  2. $4x - 1 \le -3$
    $4x \le -3 + 1$
    $4x \le -2$
    $x \le -\frac{2}{4}$
    $x \le -\frac{1}{2}$

Объединяя полученные решения, получаем: $x \le -\frac{1}{2}$ или $x \ge 1$.
Решение в виде объединения интервалов: $x \in (-\infty; -\frac{1}{2}] \cup [1; \infty)$.
Ответ: $x \in (-\infty; -\frac{1}{2}] \cup [1; \infty)$.

в) Решим неравенство $4 > (x+3)^2$.
Это неравенство можно переписать в виде $(x+3)^2 < 4$.
Оно эквивалентно тому, что модуль выражения $x+3$ меньше, чем $\sqrt{4}=2$. Запишем это в виде двойного неравенства: $$ -2 < x+3 < 2 $$ Чтобы найти $x$, вычтем 3 из всех частей неравенства: $$ -2 - 3 < x + 3 - 3 < 2 - 3 $$ $$ -5 < x < -1 $$ Решение в виде интервала: $x \in (-5; -1)$.
Ответ: $x \in (-5; -1)$.

г) Решим неравенство $(3x-4)^2 \le 16$.
Данное неравенство эквивалентно тому, что модуль выражения $3x-4$ меньше или равен $\sqrt{16}=4$. Запишем это в виде двойного неравенства: $$ -4 \le 3x-4 \le 4 $$ Чтобы найти $x$, прибавим 4 ко всем частям неравенства: $$ -4 + 4 \le 3x - 4 + 4 \le 4 + 4 $$ $$ 0 \le 3x \le 8 $$ Теперь разделим все части неравенства на 3: $$ \frac{0}{3} \le x \le \frac{8}{3} $$ $$ 0 \le x \le \frac{8}{3} $$ Для выполнения требования "выделена целая часть из неправильной дроби", преобразуем неправильную дробь $\frac{8}{3}$ в смешанное число: $$ \frac{8}{3} = 2\frac{2}{3} $$ Таким образом, решение неравенства: $0 \le x \le 2\frac{2}{3}$.
Решение в виде отрезка: $x \in [0; 2\frac{2}{3}]$.
Ответ: $x \in [0; 2\frac{2}{3}]$.

Помогло решение? Оставьте отзыв в комментариях ниже.

Присоединяйтесь к Телеграм-группе @gdz_by_belarus

Присоединиться

Мы подготовили для вас ответ c подробным объяснением домашего задания по алгебре за 8 класс, для упражнения номер 3.180 расположенного на странице 201 к учебнику 2024 года издания для учащихся школ и гимназий.

Теперь на нашем сайте ГДЗ.ТОП вы всегда легко и бесплатно найдёте условие с правильным ответом на вопрос «Как решить ДЗ» и «Как сделать» задание по алгебре к упражнению №3.180 (с. 201), авторов: Арефьева (Ирина Глебовна), Пирютко (Ольга Николаевна), учебного пособия издательства Адукацыя i выхаванне.