Номер 3.182, страница 201 - гдз по алгебре 8 класс учебник Арефьева, Пирютко

Алгебра, 8 класс Учебник, авторы: Арефьева Ирина Глебовна, Пирютко Ольга Николаевна, издательство Адукацыя i выхаванне, Минск, 2024, бирюзового цвета

Авторы: Арефьева И. Г., Пирютко О. Н.

Тип: Учебник

Издательство: Адукацыя i выхаванне

Год издания: 2024 - 2026

Цвет обложки: бирюзовый с графиком

ISBN: ISBN 978-985-03-4081-8

Допущено Министерством образования Республики Беларусь

Популярные ГДЗ в 8 классе

Глава 3. Квадратичная функция. Параграф 15. Квадратные неравенства - номер 3.182, страница 201.

№3.182 (с. 201)
Условие. №3.182 (с. 201)
скриншот условия
Алгебра, 8 класс Учебник, авторы: Арефьева Ирина Глебовна, Пирютко Ольга Николаевна, издательство Адукацыя i выхаванне, Минск, 2024, бирюзового цвета, страница 201, номер 3.182, Условие

3.182. Найдите наименьшее и наибольшее целые решения неравенства:

а) $2(2x^2 - 7) < -8x - 9$;

б) $x(x - 4) \le 2x - 8$;

в) $(x + 5)(x - 7) \le -35$;

г) $(x - 8)(x + 3) < 1 - 5x$.

Решение. №3.182 (с. 201)
Алгебра, 8 класс Учебник, авторы: Арефьева Ирина Глебовна, Пирютко Ольга Николаевна, издательство Адукацыя i выхаванне, Минск, 2024, бирюзового цвета, страница 201, номер 3.182, Решение Алгебра, 8 класс Учебник, авторы: Арефьева Ирина Глебовна, Пирютко Ольга Николаевна, издательство Адукацыя i выхаванне, Минск, 2024, бирюзового цвета, страница 201, номер 3.182, Решение (продолжение 2)
Решение 2. №3.182 (с. 201)

а) $2(2x^2 - 7) < -8x - 9$

Преобразуем неравенство, раскрыв скобки и перенеся все слагаемые в левую часть, чтобы получить неравенство вида $ax^2+bx+c<0$:
$4x^2 - 14 < -8x - 9$
$4x^2 + 8x - 5 < 0$

Далее, найдем корни соответствующего квадратного уравнения $4x^2 + 8x - 5 = 0$.
Вычислим дискриминант: $D = b^2 - 4ac = 8^2 - 4 \cdot 4 \cdot (-5) = 64 + 80 = 144 = 12^2$.
Корни уравнения равны:
$x_1 = \frac{-8 - 12}{8} = \frac{-20}{8} = -\frac{5}{2} = -\mathbf{2}\frac{1}{2}$
$x_2 = \frac{-8 + 12}{8} = \frac{4}{8} = \frac{1}{2}$

Графиком функции $y = 4x^2 + 8x - 5$ является парабола, ветви которой направлены вверх ($a=4>0$). Следовательно, неравенство $4x^2 + 8x - 5 < 0$ выполняется на интервале между корнями: $x \in (-2\frac{1}{2}; \frac{1}{2})$.

Целыми решениями, принадлежащими этому интервалу, являются числа -2, -1, 0. Наименьшее целое решение — -2, наибольшее целое решение — 0.

Ответ: наименьшее целое решение -2, наибольшее целое решение 0.

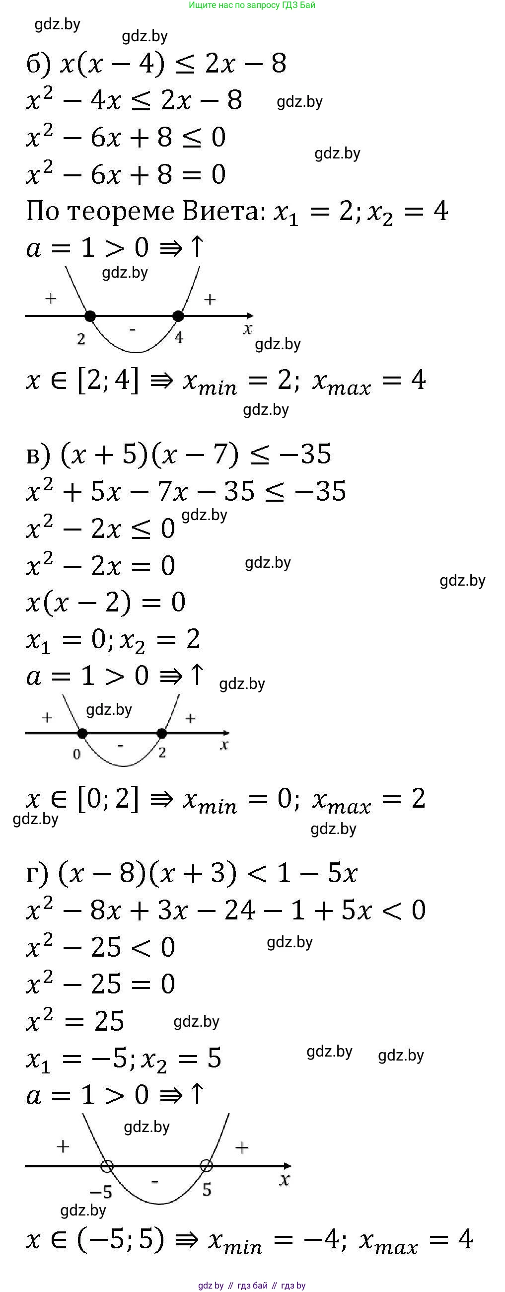
б) $x(x - 4) \le 2x - 8$

Приведем неравенство к стандартному виду $ax^2+bx+c \le 0$:
$x^2 - 4x \le 2x - 8$
$x^2 - 6x + 8 \le 0$

Найдем корни уравнения $x^2 - 6x + 8 = 0$. По теореме Виета, сумма корней равна 6, а произведение равно 8, следовательно, корни — это $x_1=2$ и $x_2=4$.

Ветви параболы $y = x^2 - 6x + 8$ направлены вверх ($a=1>0$), поэтому решение неравенства находится на отрезке между корнями (включая концы): $x \in [2; 4]$.

Целые решения на этом отрезке: 2, 3, 4. Наименьшее целое решение — 2, наибольшее целое решение — 4.

Ответ: наименьшее целое решение 2, наибольшее целое решение 4.

в) $(x + 5)(x - 7) \le -35$

Раскроем скобки и упростим неравенство:
$x^2 - 7x + 5x - 35 \le -35$
$x^2 - 2x \le 0$

Найдем корни уравнения $x^2 - 2x = 0$, разложив его на множители: $x(x - 2) = 0$.
Отсюда корни: $x_1=0$, $x_2=2$.

Ветви параболы $y = x^2 - 2x$ направлены вверх ($a=1>0$), поэтому решение неравенства находится на отрезке между корнями: $x \in [0; 2]$.

Целые решения на этом отрезке: 0, 1, 2. Наименьшее целое решение — 0, наибольшее целое решение — 2.

Ответ: наименьшее целое решение 0, наибольшее целое решение 2.

г) $(x - 8)(x + 3) < 1 - 5x$

Раскроем скобки и упростим неравенство:
$x^2 + 3x - 8x - 24 < 1 - 5x$
$x^2 - 5x - 24 < 1 - 5x$
$x^2 - 25 < 0$

Найдем корни уравнения $x^2 - 25 = 0$. Это неполное квадратное уравнение, его корни $x_1 = -5$ и $x_2 = 5$.

Ветви параболы $y = x^2 - 25$ направлены вверх ($a=1>0$), поэтому решение неравенства находится в интервале между корнями: $x \in (-5; 5)$.

Целые решения в этом интервале: -4, -3, -2, -1, 0, 1, 2, 3, 4. Наименьшее целое решение — -4, наибольшее целое решение — 4.

Ответ: наименьшее целое решение -4, наибольшее целое решение 4.

Помогло решение? Оставьте отзыв в комментариях ниже.

Присоединяйтесь к Телеграм-группе @gdz_by_belarus

Присоединиться

Мы подготовили для вас ответ c подробным объяснением домашего задания по алгебре за 8 класс, для упражнения номер 3.182 расположенного на странице 201 к учебнику 2024 года издания для учащихся школ и гимназий.

Теперь на нашем сайте ГДЗ.ТОП вы всегда легко и бесплатно найдёте условие с правильным ответом на вопрос «Как решить ДЗ» и «Как сделать» задание по алгебре к упражнению №3.182 (с. 201), авторов: Арефьева (Ирина Глебовна), Пирютко (Ольга Николаевна), учебного пособия издательства Адукацыя i выхаванне.