Номер 3.189, страница 202 - гдз по алгебре 8 класс учебник Арефьева, Пирютко

Алгебра, 8 класс Учебник, авторы: Арефьева Ирина Глебовна, Пирютко Ольга Николаевна, издательство Адукацыя i выхаванне, Минск, 2024, бирюзового цвета

Авторы: Арефьева И. Г., Пирютко О. Н.

Тип: Учебник

Издательство: Адукацыя i выхаванне

Год издания: 2024 - 2026

Цвет обложки: бирюзовый с графиком

ISBN: ISBN 978-985-03-4081-8

Допущено Министерством образования Республики Беларусь

Популярные ГДЗ в 8 классе

Глава 3. Квадратичная функция. Параграф 15. Квадратные неравенства - номер 3.189, страница 202.

№3.189 (с. 202)
Условие. №3.189 (с. 202)
скриншот условия
Алгебра, 8 класс Учебник, авторы: Арефьева Ирина Глебовна, Пирютко Ольга Николаевна, издательство Адукацыя i выхаванне, Минск, 2024, бирюзового цвета, страница 202, номер 3.189, Условие

3.189. Решите неравенство:

a) $(x+2)(x+3)/15 - (x-1)/3 > (x+3)/5;$

б) $(2x-5)^2/8 \ge 5 - 3x;$

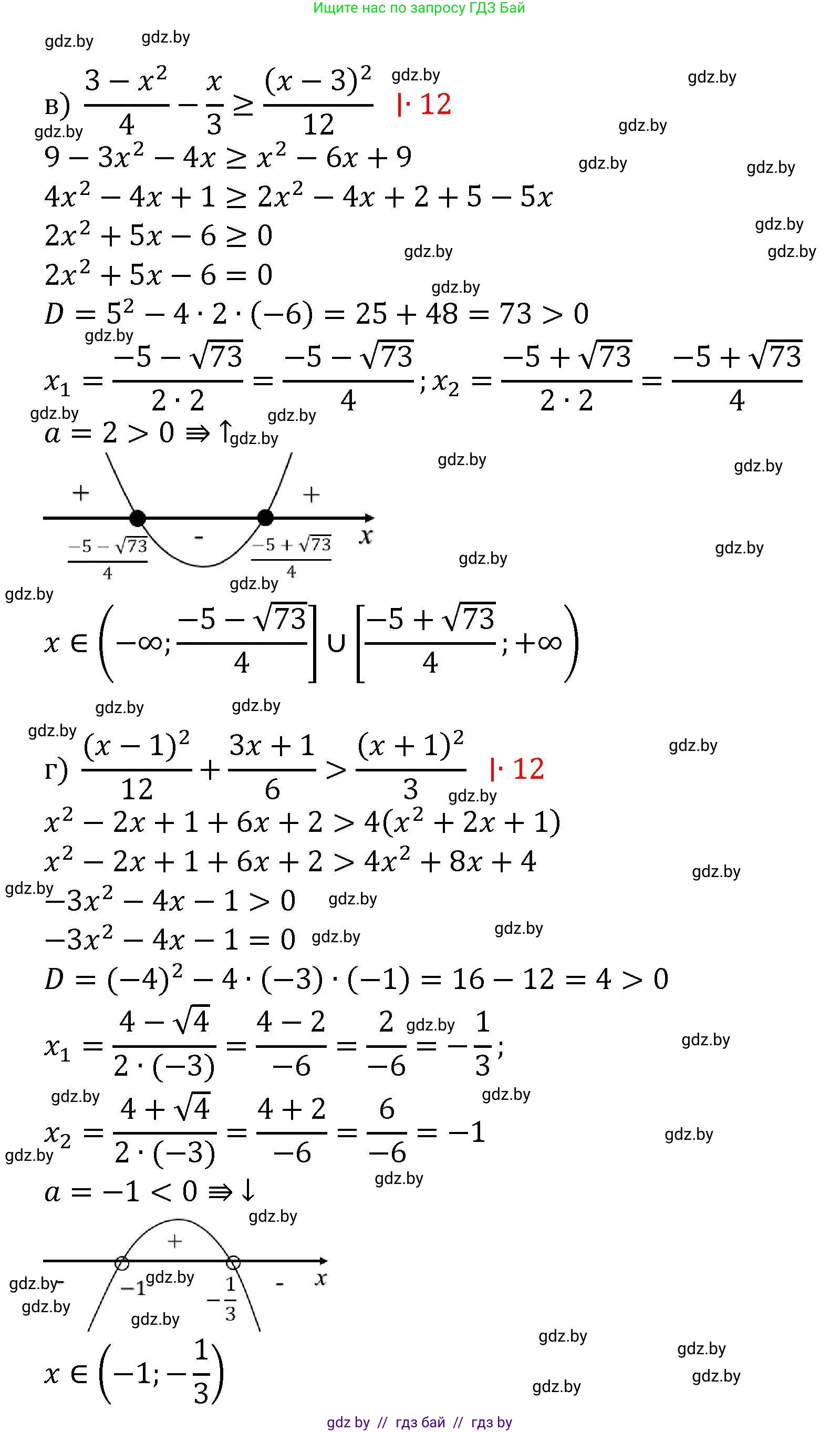
В) $(3-x^2)/4 - x/3 \ge (x-3)^2/12;$

Г) $(x-1)^2/12 + (3x+1)/6 > (x+1)^2/3.$

Решение. №3.189 (с. 202)
Алгебра, 8 класс Учебник, авторы: Арефьева Ирина Глебовна, Пирютко Ольга Николаевна, издательство Адукацыя i выхаванне, Минск, 2024, бирюзового цвета, страница 202, номер 3.189, Решение Алгебра, 8 класс Учебник, авторы: Арефьева Ирина Глебовна, Пирютко Ольга Николаевна, издательство Адукацыя i выхаванне, Минск, 2024, бирюзового цвета, страница 202, номер 3.189, Решение (продолжение 2)
Решение 2. №3.189 (с. 202)

а)Исходное неравенство:$$ \frac{(x+2)(x+3)}{15} - \frac{x-1}{3} > \frac{x+3}{5} $$1. Для избавления от дробей умножим обе части неравенства на наименьший общий знаменатель, который равен 15: $$ 15 \cdot \frac{(x+2)(x+3)}{15} - 15 \cdot \frac{x-1}{3} > 15 \cdot \frac{x+3}{5} $$ $$ (x+2)(x+3) - 5(x-1) > 3(x+3) $$2. Раскроем скобки в каждой части неравенства: $$ (x^2 + 3x + 2x + 6) - (5x - 5) > 3x + 9 $$ $$ x^2 + 5x + 6 - 5x + 5 > 3x + 9 $$3. Приведем подобные слагаемые: $$ x^2 + 11 > 3x + 9 $$4. Перенесем все слагаемые в левую часть, чтобы получить квадратное неравенство: $$ x^2 - 3x + 11 - 9 > 0 $$ $$ x^2 - 3x + 2 > 0 $$5. Решим соответствующее квадратное уравнение $x^2 - 3x + 2 = 0$, чтобы найти корни. По теореме Виета, сумма корней равна 3, а произведение равно 2. Корни: $$ x_1 = 1, \quad x_2 = 2 $$6. Квадратичная функция $y = x^2 - 3x + 2$ представляет собой параболу, ветви которой направлены вверх. Значения функции положительны ($> 0$) вне интервала между корнями.7. Поскольку неравенство строгое ($>$), концы интервалов (корни) не включаются в решение.
Ответ: $x \in (-\infty, 1) \cup (2, \infty)$.

б)Исходное неравенство:$$ \frac{(2x-5)^2}{8} \ge 5 - 3x $$1. Умножим обе части неравенства на 8: $$ (2x-5)^2 \ge 8(5 - 3x) $$2. Раскроем скобки: $$ 4x^2 - 20x + 25 \ge 40 - 24x $$3. Перенесем все слагаемые в левую часть: $$ 4x^2 - 20x + 24x + 25 - 40 \ge 0 $$4. Приведем подобные слагаемые: $$ 4x^2 + 4x - 15 \ge 0 $$5. Найдем корни соответствующего квадратного уравнения $4x^2 + 4x - 15 = 0$ с помощью дискриминанта: $$ D = b^2 - 4ac = 4^2 - 4(4)(-15) = 16 + 240 = 256 = 16^2 $$ $$ x = \frac{-b \pm \sqrt{D}}{2a} = \frac{-4 \pm 16}{2 \cdot 4} = \frac{-4 \pm 16}{8} $$ Корни: $$ x_1 = \frac{-4 - 16}{8} = \frac{-20}{8} = -\frac{5}{2} $$ $$ x_2 = \frac{-4 + 16}{8} = \frac{12}{8} = \frac{3}{2} $$6. Парабола $y = 4x^2 + 4x - 15$ имеет ветви, направленные вверх. Значения функции неотрицательны ($\ge 0$) при $x$, находящихся на границах и за пределами интервала между корнями.7. Неравенство нестрогое ($\ge$), поэтому корни включаются в решение. Выделим целую часть из неправильных дробей: $-\frac{5}{2} = -2\frac{1}{2}$ и $\frac{3}{2} = 1\frac{1}{2}$.
Ответ: $x \in (-\infty, -2\frac{1}{2}] \cup [1\frac{1}{2}, \infty)$.

в)Исходное неравенство:$$ \frac{3-x^2}{4} - \frac{x}{3} \ge \frac{(x-3)^2}{12} $$1. Умножим обе части на наименьший общий знаменатель, равный 12: $$ 12 \cdot \frac{3-x^2}{4} - 12 \cdot \frac{x}{3} \ge 12 \cdot \frac{(x-3)^2}{12} $$ $$ 3(3-x^2) - 4x \ge (x-3)^2 $$2. Раскроем скобки: $$ 9 - 3x^2 - 4x \ge x^2 - 6x + 9 $$3. Перенесем все слагаемые в правую часть, чтобы коэффициент при $x^2$ был положительным: $$ 0 \ge x^2 + 3x^2 - 6x + 4x + 9 - 9 $$ $$ 0 \ge 4x^2 - 2x $$4. Запишем неравенство в стандартном виде: $$ 4x^2 - 2x \le 0 $$5. Найдем корни уравнения $4x^2 - 2x = 0$, вынеся общий множитель за скобки: $$ 2x(2x - 1) = 0 $$ Корни: $$ x_1 = 0, \quad x_2 = \frac{1}{2} $$6. Парабола $y = 4x^2 - 2x$ имеет ветви, направленные вверх. Значения функции неположительны ($\le 0$) на интервале между корнями.7. Так как неравенство нестрогое ($\le$), корни включаются в решение.
Ответ: $x \in [0, \frac{1}{2}]$.

г)Исходное неравенство:$$ \frac{(x-1)^2}{12} + \frac{3x+1}{6} > \frac{(x+1)^2}{3} $$1. Умножим обе части на наименьший общий знаменатель, равный 12: $$ 12 \cdot \frac{(x-1)^2}{12} + 12 \cdot \frac{3x+1}{6} > 12 \cdot \frac{(x+1)^2}{3} $$ $$ (x-1)^2 + 2(3x+1) > 4(x+1)^2 $$2. Раскроем скобки: $$ (x^2 - 2x + 1) + (6x + 2) > 4(x^2 + 2x + 1) $$3. Приведем подобные слагаемые в левой части и раскроем скобки в правой: $$ x^2 + 4x + 3 > 4x^2 + 8x + 4 $$4. Перенесем все слагаемые в правую часть: $$ 0 > 4x^2 - x^2 + 8x - 4x + 4 - 3 $$ $$ 0 > 3x^2 + 4x + 1 $$5. Запишем неравенство в стандартном виде: $$ 3x^2 + 4x + 1 < 0 $$6. Найдем корни уравнения $3x^2 + 4x + 1 = 0$: $$ D = 4^2 - 4(3)(1) = 16 - 12 = 4 = 2^2 $$ $$ x = \frac{-4 \pm 2}{2 \cdot 3} = \frac{-4 \pm 2}{6} $$ Корни: $$ x_1 = \frac{-4 - 2}{6} = \frac{-6}{6} = -1 $$ $$ x_2 = \frac{-4 + 2}{6} = \frac{-2}{6} = -\frac{1}{3} $$7. Парабола $y = 3x^2 + 4x + 1$ имеет ветви, направленные вверх. Значения функции отрицательны ($< 0$) на интервале между корнями.8. Поскольку неравенство строгое ($<$), корни не включаются в решение.
Ответ: $x \in (-1, -\frac{1}{3})$.

Помогло решение? Оставьте отзыв в комментариях ниже.

Присоединяйтесь к Телеграм-группе @gdz_by_belarus

Присоединиться

Мы подготовили для вас ответ c подробным объяснением домашего задания по алгебре за 8 класс, для упражнения номер 3.189 расположенного на странице 202 к учебнику 2024 года издания для учащихся школ и гимназий.

Теперь на нашем сайте ГДЗ.ТОП вы всегда легко и бесплатно найдёте условие с правильным ответом на вопрос «Как решить ДЗ» и «Как сделать» задание по алгебре к упражнению №3.189 (с. 202), авторов: Арефьева (Ирина Глебовна), Пирютко (Ольга Николаевна), учебного пособия издательства Адукацыя i выхаванне.