Номер 19, страница 21 - гдз по геометрии 8 класс учебник Казаков, Казакова

Геометрия, 8 класс Учебник, авторы: Казаков Валерий Владимирович, Казакова Ольга Олеговна, издательство Адукацыя i выхаванне, Минск, 2024, оранжевого цвета

Авторы: Казаков В. В., Казакова О. О.

Тип: Учебник

Издательство: Адукацыя i выхаванне

Год издания: 2024 - 2026

Цвет обложки: оранжевый

Допущено Министерством образования Республики Беларусь

Популярные ГДЗ в 8 классе

Глава 1. Четырехугольники. Параграф 2. Параллелограмм и его свойства - номер 19, страница 21.

№19 (с. 21)
Условие. №19 (с. 21)
скриншот условия
Геометрия, 8 класс Учебник, авторы: Казаков Валерий Владимирович, Казакова Ольга Олеговна, издательство Адукацыя i выхаванне, Минск, 2024, оранжевого цвета, страница 21, номер 19, Условие

19. Найдите неизвестные углы параллелограмма $ABCD$, если:

а) $\angle B = 130^{\circ}$;

б) $\angle A + \angle C = 140^{\circ}$;

в) угол A на $20^{\circ}$ меньше угла B;

г) $\angle C : \angle B = 2 : 7$;

д) $\angle BAC = 35^{\circ}$, $\angle DAC = 25^{\circ}$;

е) $\angle D - 2\angle C = 12^{\circ}$.

Решение. №19 (с. 21)
Геометрия, 8 класс Учебник, авторы: Казаков Валерий Владимирович, Казакова Ольга Олеговна, издательство Адукацыя i выхаванне, Минск, 2024, оранжевого цвета, страница 21, номер 19, Решение Геометрия, 8 класс Учебник, авторы: Казаков Валерий Владимирович, Казакова Ольга Олеговна, издательство Адукацыя i выхаванне, Минск, 2024, оранжевого цвета, страница 21, номер 19, Решение (продолжение 2)
Решение 2. №19 (с. 21)
Геометрия, 8 класс Учебник, авторы: Казаков Валерий Владимирович, Казакова Ольга Олеговна, издательство Адукацыя i выхаванне, Минск, 2024, оранжевого цвета, страница 21, номер 19, Решение 2 Геометрия, 8 класс Учебник, авторы: Казаков Валерий Владимирович, Казакова Ольга Олеговна, издательство Адукацыя i выхаванне, Минск, 2024, оранжевого цвета, страница 21, номер 19, Решение 2 (продолжение 2)
Решение 3. №19 (с. 21)

а) ∠B = 130°;
В параллелограмме $ABCD$ противоположные углы равны, а сумма углов, прилежащих к одной стороне, равна $180^\circ$.
Так как $\angle B = 130^\circ$, то противоположный ему угол $\angle D$ также равен $130^\circ$ (свойство противолежащих углов параллелограмма: $\angle D = \angle B$).
Углы $A$ и $B$ прилежат к одной стороне, следовательно, их сумма равна $180^\circ$ (свойство соседних углов параллелограмма: $\angle A + \angle B = 180^\circ$).
Отсюда находим $\angle A$: $\angle A = 180^\circ - \angle B = 180^\circ - 130^\circ = 50^\circ$.
Противоположный углу $A$ угол $C$ равен ему: $\angle C = \angle A = 50^\circ$.
Ответ: $\angle A = 50^\circ$, $\angle C = 50^\circ$, $\angle D = 130^\circ$.

б) ∠A + ∠C = 140°;
В параллелограмме противолежащие углы равны, то есть $\angle A = \angle C$.
Подставим это равенство в данное условие: $\angle A + \angle A = 140^\circ$, или $2\angle A = 140^\circ$.
Отсюда находим $\angle A = \frac{140^\circ}{2} = 70^\circ$.
Следовательно, $\angle C = \angle A = 70^\circ$.
Сумма углов, прилежащих к одной стороне, равна $180^\circ$, поэтому $\angle A + \angle B = 180^\circ$.
Тогда $\angle B = 180^\circ - \angle A = 180^\circ - 70^\circ = 110^\circ$.
Противоположный ему угол $\angle D$ также равен $110^\circ$, так как $\angle D = \angle B$.
Ответ: $\angle A = 70^\circ$, $\angle B = 110^\circ$, $\angle C = 70^\circ$, $\angle D = 110^\circ$.

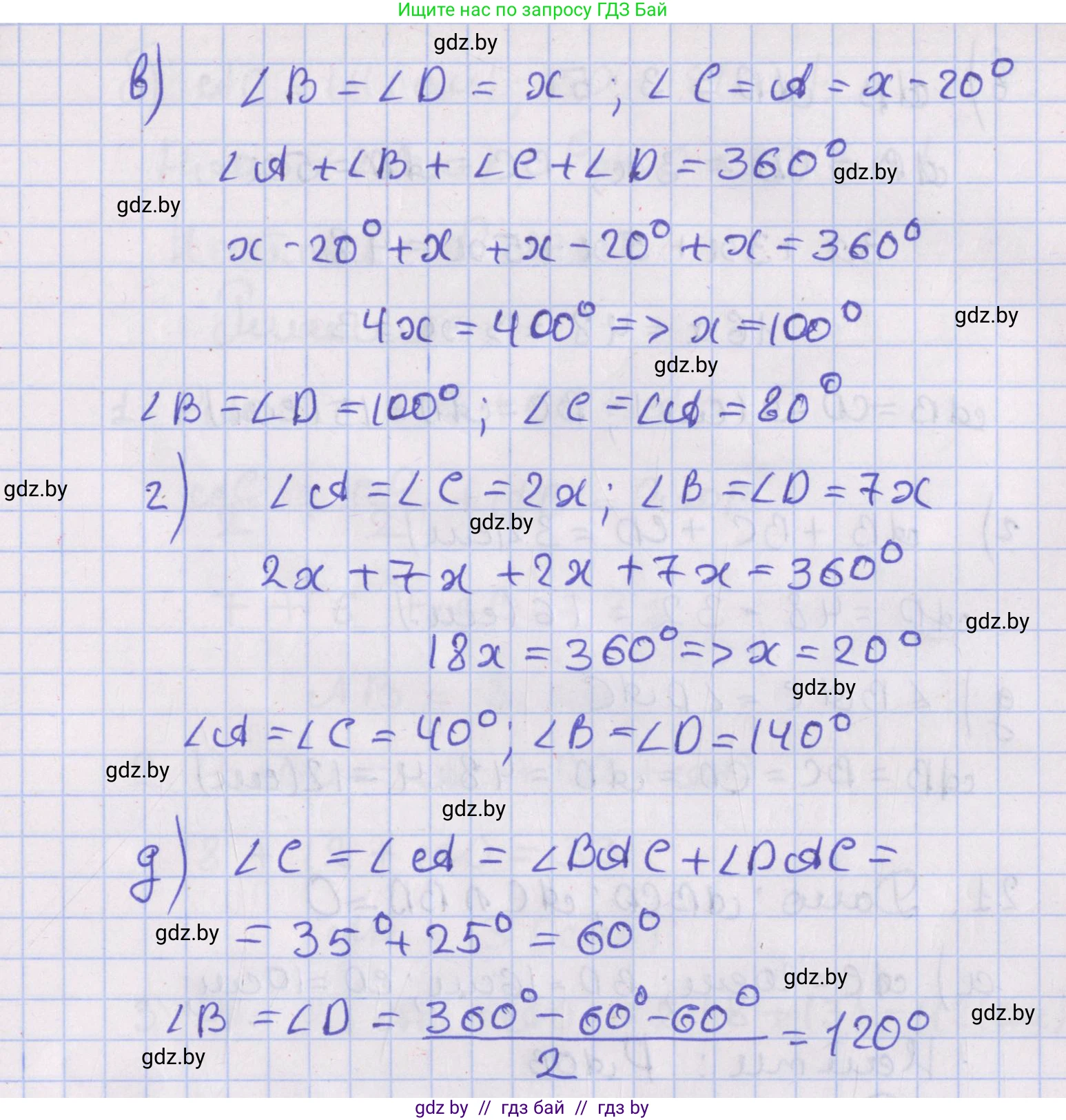
в) угол А на 20° меньше угла В;
По условию, $\angle A = \angle B - 20^\circ$.
Углы $A$ и $B$ прилежат к одной стороне, поэтому их сумма равна $180^\circ$: $\angle A + \angle B = 180^\circ$.
Подставим первое выражение во второе и составим уравнение: $(\angle B - 20^\circ) + \angle B = 180^\circ$.
$2\angle B - 20^\circ = 180^\circ$.
$2\angle B = 200^\circ$.
$\angle B = \frac{200^\circ}{2} = 100^\circ$.
Теперь найдем угол $A$: $\angle A = 100^\circ - 20^\circ = 80^\circ$.
Так как противолежащие углы в параллелограмме равны, то $\angle C = \angle A = 80^\circ$ и $\angle D = \angle B = 100^\circ$.
Ответ: $\angle A = 80^\circ$, $\angle B = 100^\circ$, $\angle C = 80^\circ$, $\angle D = 100^\circ$.

г) ∠C : ∠B = 2 : 7;
Углы $B$ и $C$ являются соседними в параллелограмме, значит их сумма равна $180^\circ$: $\angle B + \angle C = 180^\circ$.
Пусть одна часть в данном соотношении равна $x$. Тогда $\angle C = 2x$ и $\angle B = 7x$.
Подставим эти значения в уравнение: $7x + 2x = 180^\circ$.
$9x = 180^\circ$.
$x = \frac{180^\circ}{9} = 20^\circ$.
Теперь найдем величины углов:
$\angle C = 2x = 2 \cdot 20^\circ = 40^\circ$.
$\angle B = 7x = 7 \cdot 20^\circ = 140^\circ$.
Противоположные углы равны: $\angle A = \angle C = 40^\circ$ и $\angle D = \angle B = 140^\circ$.
Ответ: $\angle A = 40^\circ$, $\angle B = 140^\circ$, $\angle C = 40^\circ$, $\angle D = 140^\circ$.

д) ∠BAC = 35°, ∠DAC = 25°;
Угол $A$ параллелограмма $ABCD$ является суммой углов $BAC$ и $DAC$: $\angle A = \angle BAC + \angle DAC$.
$\angle A = 35^\circ + 25^\circ = 60^\circ$.
Противоположный ему угол $C$ равен углу $A$: $\angle C = 60^\circ$.
Сумма углов, прилежащих к одной стороне, равна $180^\circ$, поэтому $\angle A + \angle B = 180^\circ$.
Найдем угол $B$: $\angle B = 180^\circ - \angle A = 180^\circ - 60^\circ = 120^\circ$.
Противоположный ему угол $D$ равен углу $B$: $\angle D = 120^\circ$.
Ответ: $\angle A = 60^\circ$, $\angle B = 120^\circ$, $\angle C = 60^\circ$, $\angle D = 120^\circ$.

е) ∠D - 2∠C = 12°;
Углы $C$ и $D$ являются соседними, поэтому их сумма равна $180^\circ$: $\angle C + \angle D = 180^\circ$.
Имеем систему из двух линейных уравнений:
1) $\angle D - 2\angle C = 12^\circ$
2) $\angle D + \angle C = 180^\circ$
Выразим $\angle D$ из второго уравнения: $\angle D = 180^\circ - \angle C$.
Подставим это выражение в первое уравнение:
$(180^\circ - \angle C) - 2\angle C = 12^\circ$.
$180^\circ - 3\angle C = 12^\circ$.
$3\angle C = 180^\circ - 12^\circ = 168^\circ$.
$\angle C = \frac{168^\circ}{3} = 56^\circ$.
Теперь найдем $\angle D$, подставив значение $\angle C$ во второе уравнение: $\angle D = 180^\circ - 56^\circ = 124^\circ$.
Так как противолежащие углы равны: $\angle A = \angle C = 56^\circ$ и $\angle B = \angle D = 124^\circ$.
Ответ: $\angle A = 56^\circ$, $\angle B = 124^\circ$, $\angle C = 56^\circ$, $\angle D = 124^\circ$.

Помогло решение? Оставьте отзыв в комментариях ниже.

Присоединяйтесь к Телеграм-группе @gdz_by_belarus

Присоединиться

Мы подготовили для вас ответ c подробным объяснением домашего задания по геометрии за 8 класс, для упражнения номер 19 расположенного на странице 21 к учебнику 2024 года издания для учащихся школ и гимназий.

Теперь на нашем сайте ГДЗ.ТОП вы всегда легко и бесплатно найдёте условие с правильным ответом на вопрос «Как решить ДЗ» и «Как сделать» задание по геометрии к упражнению №19 (с. 21), авторов: Казаков (Валерий Владимирович), Казакова (Ольга Олеговна), учебного пособия издательства Адукацыя i выхаванне.