Номер 20, страница 21 - гдз по геометрии 8 класс учебник Казаков, Казакова

Геометрия, 8 класс Учебник, авторы: Казаков Валерий Владимирович, Казакова Ольга Олеговна, издательство Адукацыя i выхаванне, Минск, 2024, оранжевого цвета

Авторы: Казаков В. В., Казакова О. О.

Тип: Учебник

Издательство: Адукацыя i выхаванне

Год издания: 2024 - 2026

Цвет обложки: оранжевый

Допущено Министерством образования Республики Беларусь

Глава 1. Четырехугольники. Параграф 2. Параллелограмм и его свойства - номер 20, страница 21.

№20 (с. 21)
Условие. №20 (с. 21)
скриншот условия
Геометрия, 8 класс Учебник, авторы: Казаков Валерий Владимирович, Казакова Ольга Олеговна, издательство Адукацыя i выхаванне, Минск, 2024, оранжевого цвета, страница 21, номер 20, Условие Геометрия, 8 класс Учебник, авторы: Казаков Валерий Владимирович, Казакова Ольга Олеговна, издательство Адукацыя i выхаванне, Минск, 2024, оранжевого цвета, страница 21, номер 20, Условие (продолжение 2)

20. Периметр параллелограмма ABCD равен 48 см. Найдите его стороны, если:

а) $CD = 10 \text{ см};$

б) сторона AD на 2 см больше стороны AB;

в) $AB : AD = 3 : 5;$

г) $AB + BC + CD = 32 \text{ см};$

д) $\angle BAC = \angle DAC.$

Решение. №20 (с. 21)
Геометрия, 8 класс Учебник, авторы: Казаков Валерий Владимирович, Казакова Ольга Олеговна, издательство Адукацыя i выхаванне, Минск, 2024, оранжевого цвета, страница 21, номер 20, Решение Геометрия, 8 класс Учебник, авторы: Казаков Валерий Владимирович, Казакова Ольга Олеговна, издательство Адукацыя i выхаванне, Минск, 2024, оранжевого цвета, страница 21, номер 20, Решение (продолжение 2)
Решение 2. №20 (с. 21)
Геометрия, 8 класс Учебник, авторы: Казаков Валерий Владимирович, Казакова Ольга Олеговна, издательство Адукацыя i выхаванне, Минск, 2024, оранжевого цвета, страница 21, номер 20, Решение 2 Геометрия, 8 класс Учебник, авторы: Казаков Валерий Владимирович, Казакова Ольга Олеговна, издательство Адукацыя i выхаванне, Минск, 2024, оранжевого цвета, страница 21, номер 20, Решение 2 (продолжение 2)
Решение 3. №20 (с. 21)

Периметр параллелограмма $ABCD$ по условию равен 48 см. Периметр параллелограмма вычисляется как удвоенная сумма длин двух его смежных сторон: $P = 2(a + b)$. В данном случае $P = 2(AB + AD)$. Из этой формулы мы можем найти сумму длин смежных сторон: $AB + AD = P / 2 = 48 / 2 = 24$ см. Также будем использовать свойство параллелограмма, согласно которому его противолежащие стороны равны: $AB = CD$ и $BC = AD$.

а) CD = 10 см;
По свойству противолежащих сторон параллелограмма $AB = CD$, следовательно, $AB = 10$ см. Зная сумму смежных сторон, находим сторону $AD$: $AD = 24 - AB = 24 - 10 = 14$ см. Таким образом, у параллелограмма две стороны по 10 см и две стороны по 14 см.
Ответ: стороны параллелограмма равны 10 см и 14 см.

б) сторона AD на 2 см больше стороны AB;
Обозначим длину стороны $AB$ как $x$ см. Тогда длина стороны $AD$ будет $(x + 2)$ см. Составим уравнение, используя сумму смежных сторон: $x + (x + 2) = 24$. Решаем уравнение: $2x + 2 = 24$, $2x = 22$, $x = 11$. Таким образом, сторона $AB = 11$ см, а сторона $AD = 11 + 2 = 13$ см.
Ответ: стороны параллелограмма равны 11 см и 13 см.

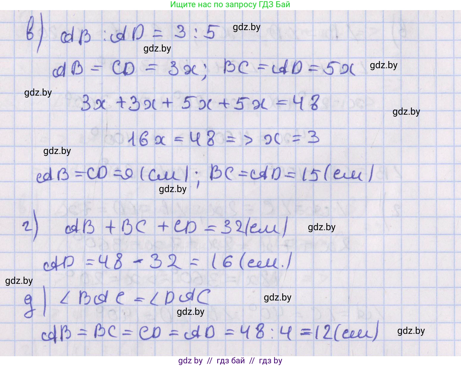
в) AB : AD = 3 : 5;
Пусть коэффициент пропорциональности равен $x$. Тогда $AB = 3x$ см и $AD = 5x$ см. Составим уравнение на основе суммы смежных сторон: $3x + 5x = 24$. Решаем уравнение: $8x = 24$, $x = 3$. Находим длины сторон: $AB = 3 \cdot 3 = 9$ см, $AD = 5 \cdot 3 = 15$ см.
Ответ: стороны параллелограмма равны 9 см и 15 см.

г) AB + BC + CD = 32 см;
Периметр — это сумма всех четырех сторон: $P = AB + BC + CD + AD = 48$ см. Вычтем из периметра сумму трех известных сторон, чтобы найти четвертую сторону $AD$: $AD = 48 - (AB + BC + CD) = 48 - 32 = 16$ см. Теперь, зная одну сторону ($AD = 16$ см), найдем смежную с ней: $AB = 24 - AD = 24 - 16 = 8$ см.
Ответ: стороны параллелограмма равны 8 см и 16 см.

д) ∠BAC = ∠DAC.
Условие $\angle BAC = \angle DAC$ означает, что диагональ $AC$ является биссектрисой угла $\angle BAD$. В параллелограмме $ABCD$ прямые $BC$ и $AD$ параллельны, а $AC$ — секущая. Следовательно, накрест лежащие углы $\angle BCA$ и $\angle DAC$ равны. Из равенств $\angle BAC = \angle DAC$ (по условию) и $\angle BCA = \angle DAC$ (накрест лежащие) следует, что $\angle BAC = \angle BCA$. Это значит, что треугольник $ABC$ является равнобедренным с основанием $AC$, поэтому его боковые стороны равны: $AB = BC$. Параллелограмм, у которого смежные стороны равны, является ромбом. У ромба все четыре стороны равны. Периметр ромба равен $P = 4 \cdot AB$. Тогда $48 = 4 \cdot AB$, откуда $AB = 12$ см.
Ответ: все стороны параллелограмма равны 12 см.

Помогло решение? Оставьте отзыв в комментариях ниже.

Присоединяйтесь к Телеграм-группе @gdz_by_belarus

Присоединиться

Мы подготовили для вас ответ c подробным объяснением домашего задания по геометрии за 8 класс, для упражнения номер 20 расположенного на странице 21 к учебнику 2024 года издания для учащихся школ и гимназий.

Теперь на нашем сайте ГДЗ.ТОП вы всегда легко и бесплатно найдёте условие с правильным ответом на вопрос «Как решить ДЗ» и «Как сделать» задание по геометрии к упражнению №20 (с. 21), авторов: Казаков (Валерий Владимирович), Казакова (Ольга Олеговна), учебного пособия издательства Адукацыя i выхаванне.