Номер 1.176, страница 54 - гдз по алгебре 9 класс учебник Арефьева, Пирютко

Алгебра, 9 класс Учебник, авторы: Арефьева Ирина Глебовна, Пирютко Ольга Николаевна, издательство Народная асвета, Минск, 2019, голубого цвета

Авторы: Арефьева И. Г., Пирютко О. Н.

Тип: Учебник

Издательство: Народная асвета

Год издания: 2019 - 2026

Цвет обложки: голубой, синий с графиком

ISBN: 978-985-03-3077-2

Допущено Министерством образования Республики Беларусь

Популярные ГДЗ в 9 классе

Глава 1. Рациональные выражения. Параграф 4. Умножение и деление рациональных дробей - номер 1.176, страница 54.

№1.176 (с. 54)
Условие. №1.176 (с. 54)
скриншот условия
Алгебра, 9 класс Учебник, авторы: Арефьева Ирина Глебовна, Пирютко Ольга Николаевна, издательство Народная асвета, Минск, 2019, голубого цвета, страница 54, номер 1.176, Условие

1.176. Целым или дробным рациональным выражением является результат упрощения выражения:

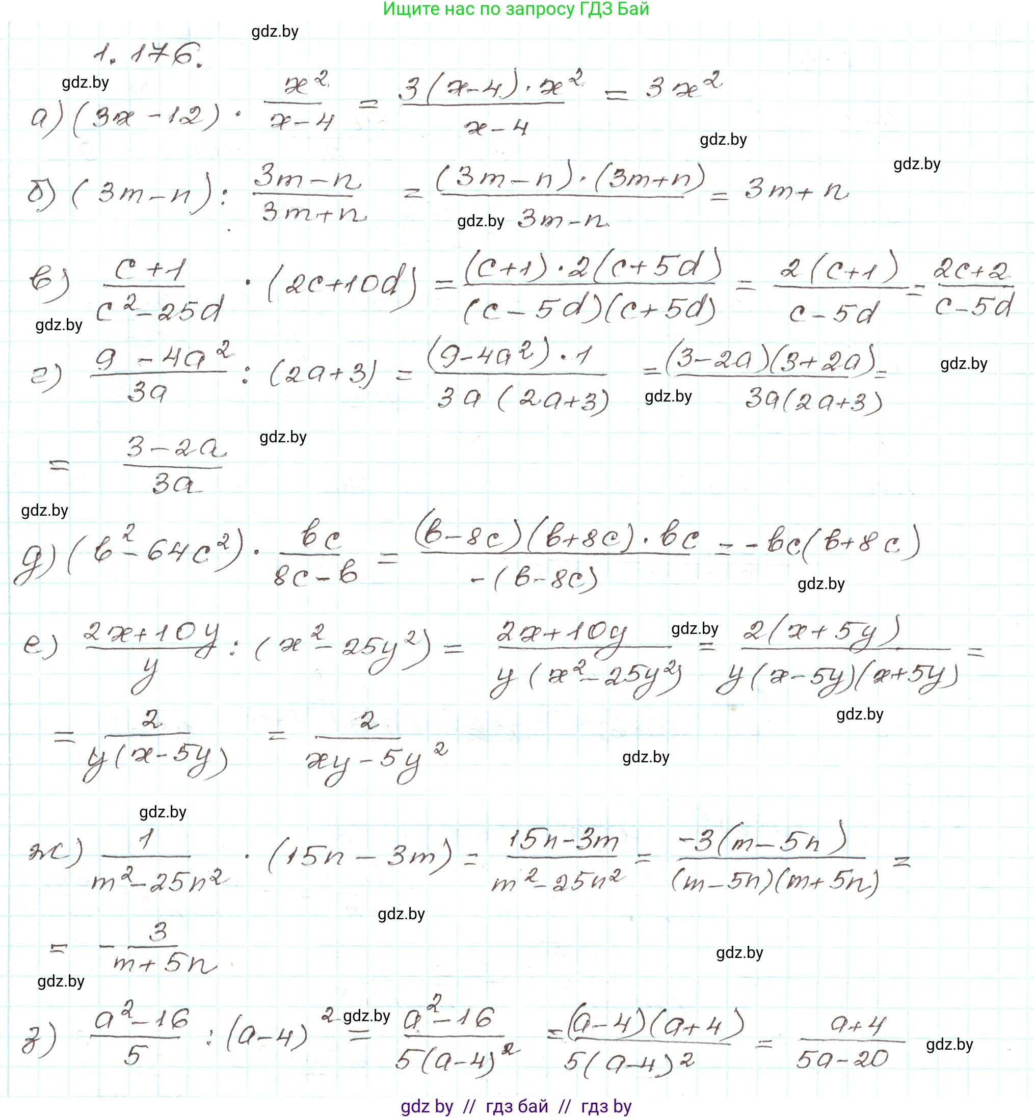
а) $(3x - 12) \cdot \frac{x^2}{x-4};$

б) $(3m - n) : \frac{3m - n}{3m + n};$

в) $\frac{c+1}{c^2 - 25d^2} \cdot (2c + 10d);$

г) $\frac{9 - 4a^2}{3a} : (2a + 3);$

д) $(b^2 - 64c^2) \cdot \frac{bc}{8c - b};$

е) $\frac{2x + 10y}{y} : (x^2 - 25y^2);$

ж) $\frac{1}{m^2 - 25n^2} \cdot (15n - 3m);$

з) $\frac{a^2 - 16}{5} : (a - 4)^2?$;

Решение. №1.176 (с. 54)
Алгебра, 9 класс Учебник, авторы: Арефьева Ирина Глебовна, Пирютко Ольга Николаевна, издательство Народная асвета, Минск, 2019, голубого цвета, страница 54, номер 1.176, Решение
Решение 2. №1.176 (с. 54)

а) Упростим выражение $(3x - 12) \cdot \frac{x^2}{x - 4}$.

1. Вынесем общий множитель 3 за скобки в первом выражении: $3x - 12 = 3(x - 4)$.

2. Подставим в исходное выражение:

$(3x - 12) \cdot \frac{x^2}{x - 4} = 3(x - 4) \cdot \frac{x^2}{x - 4}$

3. Сократим дробь на $(x - 4)$, при условии что $x - 4 \neq 0$ (т.е. $x \neq 4$):

$\frac{3(x - 4) \cdot x^2}{x - 4} = 3x^2$

Результат $3x^2$ является многочленом (не содержит деления на переменную), то есть целым выражением.

Ответ: целое выражение.

б) Упростим выражение $(3m - n) : \frac{3m - n}{3m + n}$.

1. Заменим деление на дробь умножением на обратную ей дробь:

$(3m - n) : \frac{3m - n}{3m + n} = (3m - n) \cdot \frac{3m + n}{3m - n}$

2. Сократим на $(3m - n)$, при условии что $3m - n \neq 0$:

$\frac{(3m - n)(3m + n)}{3m - n} = 3m + n$

Результат $3m + n$ является многочленом, то есть целым выражением.

Ответ: целое выражение.

в) Упростим выражение $\frac{c + 1}{c^2 - 25d^2} \cdot (2c + 10d)$.

1. Разложим на множители знаменатель дроби по формуле разности квадратов $a^2 - b^2 = (a-b)(a+b)$:

$c^2 - 25d^2 = (c - 5d)(c + 5d)$

2. Вынесем общий множитель 2 за скобки во втором выражении:

$2c + 10d = 2(c + 5d)$

3. Подставим разложенные выражения и сократим дробь:

$\frac{c + 1}{(c - 5d)(c + 5d)} \cdot 2(c + 5d) = \frac{2(c + 1)(c + 5d)}{(c - 5d)(c + 5d)} = \frac{2(c + 1)}{c - 5d}$

Результат $\frac{2c + 2}{c - 5d}$ содержит переменную в знаменателе. Это дробное рациональное выражение. Так как степень числителя (по переменной $c$) равна степени знаменателя, это неправильная дробь, из которой можно выделить целую часть:

$\frac{2c + 2}{c - 5d} = \frac{2(c - 5d) + 10d + 2}{c - 5d} = \frac{2(c - 5d)}{c - 5d} + \frac{10d + 2}{c - 5d} = 2 + \frac{10d + 2}{c - 5d}$

Целая часть равна $2$.

Ответ: дробное рациональное выражение.

г) Упростим выражение $\frac{9 - 4a^2}{3a} : (2a + 3)$.

1. Заменим деление умножением на обратное выражение:

$\frac{9 - 4a^2}{3a} \cdot \frac{1}{2a + 3}$

2. Разложим числитель по формуле разности квадратов:

$9 - 4a^2 = (3 - 2a)(3 + 2a)$

3. Подставим и сократим дробь:

$\frac{(3 - 2a)(3 + 2a)}{3a(2a + 3)} = \frac{3 - 2a}{3a}$

Результат $\frac{3 - 2a}{3a}$ содержит переменную в знаменателе. Это дробное рациональное выражение. Выделим целую часть:

$\frac{3 - 2a}{3a} = \frac{3}{3a} - \frac{2a}{3a} = \frac{1}{a} - \frac{2}{3}$

Целая часть равна $-\frac{2}{3}$.

Ответ: дробное рациональное выражение.

д) Упростим выражение $(b^2 - 64c^2) \cdot \frac{bc}{8c - b}$.

1. Разложим первый множитель по формуле разности квадратов:

$b^2 - 64c^2 = (b - 8c)(b + 8c)$

2. В знаменателе дроби вынесем -1 за скобки: $8c - b = -(b - 8c)$.

3. Подставим и сократим:

$(b - 8c)(b + 8c) \cdot \frac{bc}{-(b - 8c)} = -\frac{(b - 8c)(b + 8c)bc}{b - 8c} = -bc(b + 8c) = -b^2c - 8bc^2$

Результат $-b^2c - 8bc^2$ является многочленом, то есть целым выражением.

Ответ: целое выражение.

е) Упростим выражение $\frac{2x + 10y}{y} : (x^2 - 25y^2)$.

1. Заменим деление умножением на обратное выражение:

$\frac{2x + 10y}{y} \cdot \frac{1}{x^2 - 25y^2}$

2. Разложим на множители числитель первой дроби и знаменатель второй дроби:

$2x + 10y = 2(x + 5y)$

$x^2 - 25y^2 = (x - 5y)(x + 5y)$

3. Подставим и сократим:

$\frac{2(x + 5y)}{y} \cdot \frac{1}{(x - 5y)(x + 5y)} = \frac{2(x + 5y)}{y(x - 5y)(x + 5y)} = \frac{2}{y(x - 5y)}$

Результат $\frac{2}{y(x - 5y)}$ содержит переменные в знаменателе. Это дробное рациональное выражение. Это правильная дробь, так как степень числителя (0) меньше степени знаменателя (2), поэтому целая часть равна 0.

Ответ: дробное рациональное выражение.

ж) Упростим выражение $\frac{1}{m^2 - 25n^2} \cdot (15n - 3m)$.

1. Разложим на множители знаменатель и второй множитель:

$m^2 - 25n^2 = (m - 5n)(m + 5n)$

$15n - 3m = 3(5n - m) = -3(m - 5n)$

2. Подставим и сократим:

$\frac{1}{(m - 5n)(m + 5n)} \cdot (-3(m - 5n)) = \frac{-3(m - 5n)}{(m - 5n)(m + 5n)} = \frac{-3}{m + 5n}$

Результат $\frac{-3}{m + 5n}$ содержит переменные в знаменателе. Это дробное рациональное выражение. Это правильная дробь, целая часть равна 0.

Ответ: дробное рациональное выражение.

з) Упростим выражение $\frac{a^2 - 16}{5} : (a - 4)^2$.

1. Заменим деление умножением на обратное выражение:

$\frac{a^2 - 16}{5} \cdot \frac{1}{(a - 4)^2}$

2. Разложим числитель первой дроби на множители:

$a^2 - 16 = (a - 4)(a + 4)$

3. Подставим и сократим:

$\frac{(a - 4)(a + 4)}{5} \cdot \frac{1}{(a - 4)^2} = \frac{(a - 4)(a + 4)}{5(a - 4)(a - 4)} = \frac{a + 4}{5(a - 4)}$

Результат $\frac{a + 4}{5a - 20}$ содержит переменную в знаменателе. Это дробное рациональное выражение. Выделим целую часть:

$\frac{a + 4}{5(a - 4)} = \frac{a - 4 + 8}{5(a - 4)} = \frac{a - 4}{5(a - 4)} + \frac{8}{5(a - 4)} = \frac{1}{5} + \frac{8}{5(a - 4)}$

Целая часть равна $\frac{1}{5}$.

Ответ: дробное рациональное выражение.

Помогло решение? Оставьте отзыв в комментариях ниже.

Присоединяйтесь к Телеграм-группе @gdz_by_belarus

Присоединиться

Мы подготовили для вас ответ c подробным объяснением домашего задания по алгебре за 9 класс, для упражнения номер 1.176 расположенного на странице 54 к учебнику 2019 года издания для учащихся школ и гимназий.

Теперь на нашем сайте ГДЗ.ТОП вы всегда легко и бесплатно найдёте условие с правильным ответом на вопрос «Как решить ДЗ» и «Как сделать» задание по алгебре к упражнению №1.176 (с. 54), авторов: Арефьева (Ирина Глебовна), Пирютко (Ольга Николаевна), учебного пособия издательства Народная асвета.