Номер 1.182, страница 55 - гдз по алгебре 9 класс учебник Арефьева, Пирютко

Алгебра, 9 класс Учебник, авторы: Арефьева Ирина Глебовна, Пирютко Ольга Николаевна, издательство Народная асвета, Минск, 2019, голубого цвета

Авторы: Арефьева И. Г., Пирютко О. Н.

Тип: Учебник

Издательство: Народная асвета

Год издания: 2019 - 2026

Цвет обложки: голубой, синий с графиком

ISBN: 978-985-03-3077-2

Допущено Министерством образования Республики Беларусь

Популярные ГДЗ в 9 классе

Глава 1. Рациональные выражения. Параграф 4. Умножение и деление рациональных дробей - номер 1.182, страница 55.

№1.182 (с. 55)
Условие. №1.182 (с. 55)
скриншот условия
Алгебра, 9 класс Учебник, авторы: Арефьева Ирина Глебовна, Пирютко Ольга Николаевна, издательство Народная асвета, Минск, 2019, голубого цвета, страница 55, номер 1.182, Условие

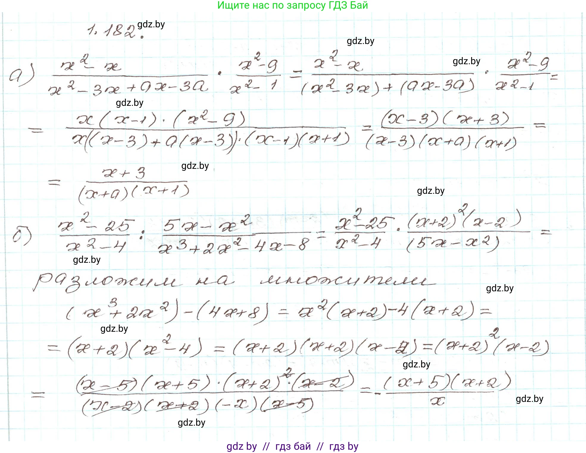
1.182. Представьте выражение в виде несократимой рациональной дроби:

а) $ \frac{x^2 - x}{x^2 - 3x + ax - 3a} \cdot \frac{x^2 - 9}{x^2 - 1}, $

б) $ \frac{x^2 - 25}{x^2 - 4} : \frac{5x - x^2}{x^3 + 2x^2 - 4x - 8}. $

Решение. №1.182 (с. 55)
Алгебра, 9 класс Учебник, авторы: Арефьева Ирина Глебовна, Пирютко Ольга Николаевна, издательство Народная асвета, Минск, 2019, голубого цвета, страница 55, номер 1.182, Решение
Решение 2. №1.182 (с. 55)

а) Для того чтобы представить выражение в виде несократимой рациональной дроби, необходимо разложить на множители числители и знаменатели исходных дробей, а затем сократить общие множители.

Исходное выражение:
$ \frac{x^2 - x}{x^2 - 3x + ax - 3a} \cdot \frac{x^2 - 9}{x^2 - 1} $

Разложим на множители каждый числитель и знаменатель:

  • $x^2 - x = x(x - 1)$
  • $x^2 - 3x + ax - 3a = (x^2 - 3x) + (ax - 3a) = x(x - 3) + a(x - 3) = (x - 3)(x + a)$
  • $x^2 - 9 = (x - 3)(x + 3)$ (как разность квадратов)
  • $x^2 - 1 = (x - 1)(x + 1)$ (как разность квадратов)

Подставим полученные выражения обратно в произведение:

$ \frac{x(x - 1)}{(x - 3)(x + a)} \cdot \frac{(x - 3)(x + 3)}{(x - 1)(x + 1)} $

Сократим общие множители $(x - 1)$ и $(x - 3)$ в числителе и знаменателе:

$ \frac{x\cancel{(x - 1)}}{\cancel{(x - 3)}(x + a)} \cdot \frac{\cancel{(x - 3)}(x + 3)}{\cancel{(x - 1)}(x + 1)} = \frac{x(x + 3)}{(x + a)(x + 1)} $

Ответ: $ \frac{x(x+3)}{(x+a)(x+1)} $

б) Для упрощения данного выражения, сначала заменим операцию деления на умножение на обратную (перевернутую) дробь. Затем, как и в предыдущем пункте, разложим все числители и знаменатели на множители и произведем сокращение.

Исходное выражение:
$ \frac{x^2 - 25}{x^2 - 4} : \frac{5x - x^2}{x^3 + 2x^2 - 4x - 8} $

Преобразуем деление в умножение:

$ \frac{x^2 - 25}{x^2 - 4} \cdot \frac{x^3 + 2x^2 - 4x - 8}{5x - x^2} $

Разложим на множители числители и знаменатели:

  • $x^2 - 25 = (x - 5)(x + 5)$
  • $x^2 - 4 = (x - 2)(x + 2)$
  • $x^3 + 2x^2 - 4x - 8 = x^2(x + 2) - 4(x + 2) = (x^2 - 4)(x + 2) = (x - 2)(x + 2)(x + 2) = (x - 2)(x + 2)^2$
  • $5x - x^2 = x(5 - x) = -x(x - 5)$

Подставим разложения в выражение:

$ \frac{(x - 5)(x + 5)}{(x - 2)(x + 2)} \cdot \frac{(x - 2)(x + 2)^2}{-x(x - 5)} $

Сократим общие множители $(x - 5)$, $(x - 2)$ и $(x + 2)$:

$ \frac{\cancel{(x - 5)}(x + 5)}{\cancel{(x - 2)}\cancel{(x + 2)}} \cdot \frac{\cancel{(x - 2)}(x + 2)^{\cancel{2}}}{-x\cancel{(x - 5)}} = \frac{(x + 5)(x + 2)}{-x} $

Запишем дробь в более стандартном виде, вынеся знак минуса вперед:

$ -\frac{(x + 5)(x + 2)}{x} $

Ответ: $ -\frac{(x+5)(x+2)}{x} $

Помогло решение? Оставьте отзыв в комментариях ниже.

Присоединяйтесь к Телеграм-группе @gdz_by_belarus

Присоединиться

Мы подготовили для вас ответ c подробным объяснением домашего задания по алгебре за 9 класс, для упражнения номер 1.182 расположенного на странице 55 к учебнику 2019 года издания для учащихся школ и гимназий.

Теперь на нашем сайте ГДЗ.ТОП вы всегда легко и бесплатно найдёте условие с правильным ответом на вопрос «Как решить ДЗ» и «Как сделать» задание по алгебре к упражнению №1.182 (с. 55), авторов: Арефьева (Ирина Глебовна), Пирютко (Ольга Николаевна), учебного пособия издательства Народная асвета.