Номер 1.224, страница 66 - гдз по алгебре 9 класс учебник Арефьева, Пирютко

Алгебра, 9 класс Учебник, авторы: Арефьева Ирина Глебовна, Пирютко Ольга Николаевна, издательство Народная асвета, Минск, 2019, голубого цвета

Авторы: Арефьева И. Г., Пирютко О. Н.

Тип: Учебник

Издательство: Народная асвета

Год издания: 2019 - 2026

Цвет обложки: голубой, синий с графиком

ISBN: 978-985-03-3077-2

Допущено Министерством образования Республики Беларусь

Популярные ГДЗ в 9 классе

Глава 1. Рациональные выражения. Параграф 5. Преобразования рациональных выражений - номер 1.224, страница 66.

№1.224 (с. 66)
Условие. №1.224 (с. 66)
скриншот условия
Алгебра, 9 класс Учебник, авторы: Арефьева Ирина Глебовна, Пирютко Ольга Николаевна, издательство Народная асвета, Минск, 2019, голубого цвета, страница 66, номер 1.224, Условие

1.224. Упростите дробное рациональное выражение, применив законы арифметических действий:

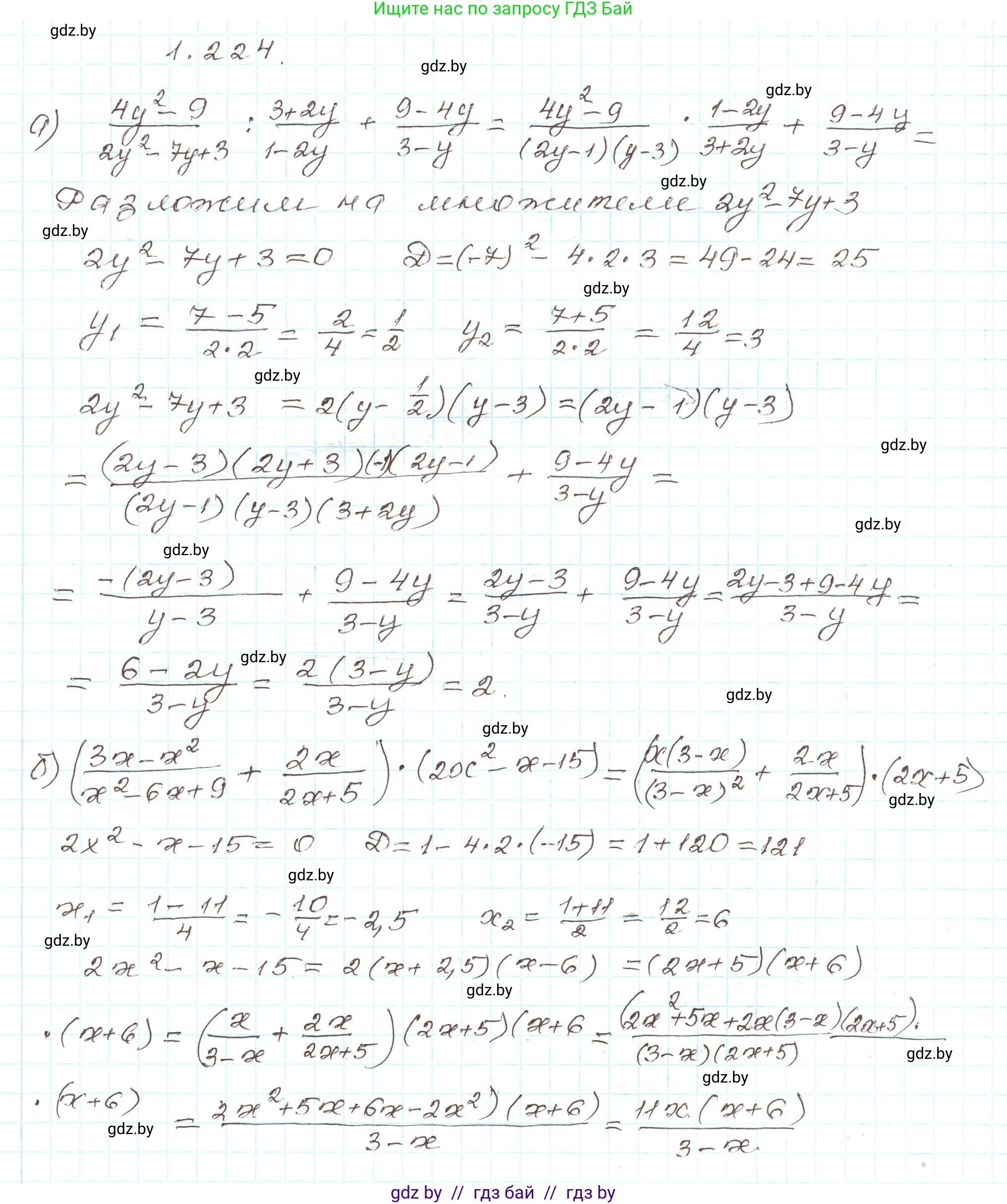
а) $\frac{4y^2 - 9}{2y^2 - 7y + 3} : \frac{3 + 2y}{1 - 2y} + \frac{9 - 4y}{3 - y}$;

б) $\left(\frac{3x - x^2}{x^2 - 6x + 9} + \frac{2x}{2x + 5}\right) \cdot (2x^2 - x - 15)$;

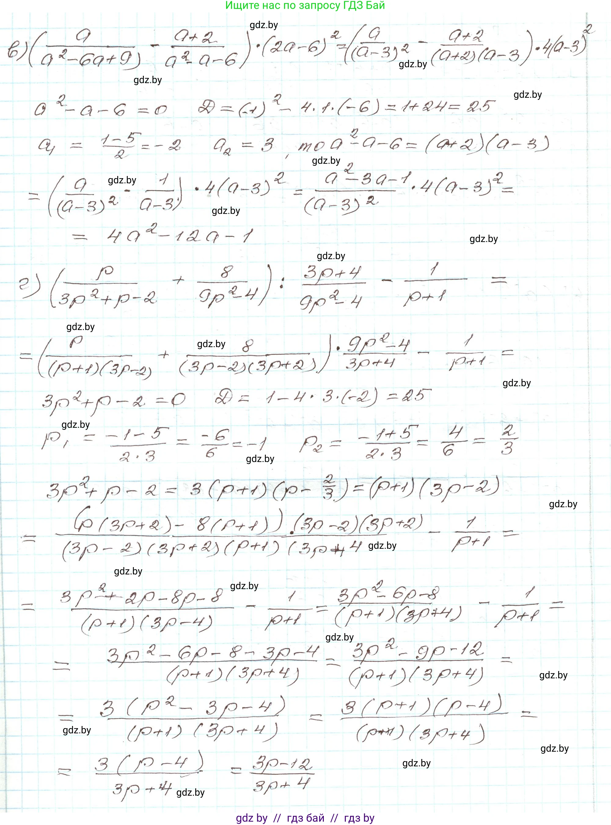
в) $\left(\frac{a}{a^2 - 6a + 9} - \frac{a + 2}{a^2 - a - 6}\right) \cdot (2a - 6)^2$;

г) $\left(\frac{p}{3p^2 + p - 2} + \frac{8}{9p^2 - 4}\right) : \left(\frac{3p + 4}{9p^2 - 4} - \frac{1}{p + 1}\right).$

Решение. №1.224 (с. 66)
Алгебра, 9 класс Учебник, авторы: Арефьева Ирина Глебовна, Пирютко Ольга Николаевна, издательство Народная асвета, Минск, 2019, голубого цвета, страница 66, номер 1.224, Решение Алгебра, 9 класс Учебник, авторы: Арефьева Ирина Глебовна, Пирютко Ольга Николаевна, издательство Народная асвета, Минск, 2019, голубого цвета, страница 66, номер 1.224, Решение (продолжение 2)
Решение 2. №1.224 (с. 66)

а) $\frac{4y^2 - 9}{2y^2 - 7y + 3} : \frac{3 + 2y}{1 - 2y} + \frac{9 - 4y}{3 - y}$

1. Упростим выражение по действиям. Первым действием выполним деление. Для этого разложим многочлены в числителях и знаменателях на множители:

  • $4y^2 - 9 = (2y - 3)(2y + 3)$ (разность квадратов).
  • $2y^2 - 7y + 3$: найдем корни квадратного уравнения $2y^2 - 7y + 3 = 0$. Дискриминант $D = b^2 - 4ac = (-7)^2 - 4 \cdot 2 \cdot 3 = 49 - 24 = 25 = 5^2$. Корни $y_1 = \frac{-b + \sqrt{D}}{2a} = \frac{7+5}{4} = 3$ и $y_2 = \frac{-b - \sqrt{D}}{2a} = \frac{7-5}{4} = \frac{1}{2}$. Тогда $2y^2 - 7y + 3 = 2(y-3)(y-\frac{1}{2}) = (y-3)(2y-1)$.
  • $3 + 2y = 2y + 3$.
  • $1 - 2y = -(2y - 1)$.

2. Выполним деление, заменив его умножением на обратную дробь:

$\frac{4y^2 - 9}{2y^2 - 7y + 3} : \frac{3 + 2y}{1 - 2y} = \frac{(2y - 3)(2y + 3)}{(y - 3)(2y - 1)} \cdot \frac{1 - 2y}{3 + 2y} = \frac{(2y - 3)(2y + 3)}{(y - 3)(2y - 1)} \cdot \frac{-(2y - 1)}{2y + 3}$

Сократим общие множители $(2y + 3)$ и $(2y - 1)$:

$\frac{-(2y - 3)}{y - 3} = \frac{3 - 2y}{y - 3}$

3. Теперь выполним сложение:

$\frac{3 - 2y}{y - 3} + \frac{9 - 4y}{3 - y}$

Приведем вторую дробь к знаменателю $(y - 3)$, изменив знак в знаменателе и перед дробью: $3 - y = -(y - 3)$.

$\frac{3 - 2y}{y - 3} - \frac{9 - 4y}{y - 3} = \frac{(3 - 2y) - (9 - 4y)}{y - 3} = \frac{3 - 2y - 9 + 4y}{y - 3} = \frac{2y - 6}{y - 3}$

Вынесем общий множитель 2 в числителе и сократим дробь:

$\frac{2(y - 3)}{y - 3} = 2$

Ответ: 2

б) $(\frac{3x - x^2}{x^2 - 6x + 9} + \frac{2x}{2x + 5}) \cdot (2x^2 - x - 15)$

1. Сначала выполним сложение дробей в скобках. Разложим на множители знаменатели:

  • $3x - x^2 = x(3 - x) = -x(x - 3)$.
  • $x^2 - 6x + 9 = (x - 3)^2$ (квадрат разности).

$\frac{-x(x - 3)}{(x - 3)^2} + \frac{2x}{2x + 5} = \frac{-x}{x - 3} + \frac{2x}{2x + 5}$

Приведем дроби к общему знаменателю $(x-3)(2x+5)$:

$\frac{-x(2x + 5) + 2x(x - 3)}{(x - 3)(2x + 5)} = \frac{-2x^2 - 5x + 2x^2 - 6x}{(x - 3)(2x + 5)} = \frac{-11x}{(x - 3)(2x + 5)}$

2. Теперь выполним умножение. Разложим на множители выражение $2x^2 - x - 15$.

Корни уравнения $2x^2 - x - 15=0$: $D = (-1)^2 - 4 \cdot 2 \cdot (-15) = 1 + 120 = 121 = 11^2$. Корни $x_1 = \frac{1+11}{4} = 3$ и $x_2 = \frac{1-11}{4} = -\frac{5}{2}$.

Тогда $2x^2 - x - 15 = 2(x-3)(x+\frac{5}{2}) = (x-3)(2x+5)$.

$\frac{-11x}{(x - 3)(2x + 5)} \cdot (x-3)(2x+5)$

Сократим общие множители $(x - 3)$ и $(2x + 5)$:

$-11x$

Ответ: -11x

в) $(\frac{a}{a^2 - 6a + 9} - \frac{a + 2}{a^2 - a - 6}) \cdot (2a - 6)^2$

1. Упростим выражение в скобках. Разложим на множители знаменатели:

  • $a^2 - 6a + 9 = (a - 3)^2$.
  • $a^2 - a - 6$: по теореме Виета корни 3 и -2, значит $a^2 - a - 6 = (a-3)(a+2)$.

$\frac{a}{(a - 3)^2} - \frac{a + 2}{(a - 3)(a + 2)}$

Сократим вторую дробь на $(a+2)$:

$\frac{a}{(a - 3)^2} - \frac{1}{a - 3}$

Приведем к общему знаменателю $(a - 3)^2$:

$\frac{a - 1(a - 3)}{(a - 3)^2} = \frac{a - a + 3}{(a - 3)^2} = \frac{3}{(a - 3)^2}$

2. Выполним умножение. Разложим на множители $(2a - 6)^2$:

$(2a - 6)^2 = (2(a - 3))^2 = 4(a - 3)^2$

$\frac{3}{(a - 3)^2} \cdot 4(a - 3)^2$

Сократим $(a - 3)^2$:

$3 \cdot 4 = 12$

Ответ: 12

г) $(\frac{p}{3p^2 + p - 2} + \frac{8}{9p^2 - 4}) : \frac{3p + 4}{9p^2 - 4} - \frac{1}{p + 1}$

1. Выполним действие в скобках. Разложим знаменатели на множители:

  • $3p^2 + p - 2$: корни уравнения $3p^2 + p - 2 = 0$: $D = 1^2 - 4 \cdot 3 \cdot (-2) = 25 = 5^2$. Корни $p_1 = \frac{-1+5}{6} = \frac{2}{3}$, $p_2 = \frac{-1-5}{6} = -1$. Тогда $3p^2 + p - 2 = 3(p-\frac{2}{3})(p+1) = (3p-2)(p+1)$.
  • $9p^2 - 4 = (3p - 2)(3p + 2)$.

$\frac{p}{(3p-2)(p+1)} + \frac{8}{(3p - 2)(3p + 2)}$

Общий знаменатель: $(3p-2)(p+1)(3p+2)$.

$\frac{p(3p+2) + 8(p+1)}{(3p-2)(p+1)(3p+2)} = \frac{3p^2 + 2p + 8p + 8}{(3p-2)(p+1)(3p+2)} = \frac{3p^2 + 10p + 8}{(3p-2)(p+1)(3p+2)}$

Разложим числитель $3p^2 + 10p + 8$. Корни уравнения $3p^2 + 10p + 8=0$: $D = 10^2 - 4 \cdot 3 \cdot 8 = 100 - 96 = 4 = 2^2$. Корни $p_1 = \frac{-10+2}{6} = -\frac{4}{3}$, $p_2 = \frac{-10-2}{6} = -2$. Тогда $3p^2+10p+8 = 3(p+\frac{4}{3})(p+2) = (3p+4)(p+2)$.

Выражение в скобках равно: $\frac{(3p+4)(p+2)}{(3p-2)(p+1)(3p+2)}$.

2. Выполним деление:

$\frac{(3p+4)(p+2)}{(3p-2)(p+1)(3p+2)} : \frac{3p + 4}{9p^2 - 4} = \frac{(3p+4)(p+2)}{(3p-2)(p+1)(3p+2)} \cdot \frac{(3p-2)(3p+2)}{3p+4}$

Сократим общие множители $(3p+4)$, $(3p-2)$, $(3p+2)$:

$\frac{p+2}{p+1}$

3. Выполним вычитание:

$\frac{p+2}{p+1} - \frac{1}{p+1} = \frac{p+2-1}{p+1} = \frac{p+1}{p+1} = 1$

Ответ: 1

Помогло решение? Оставьте отзыв в комментариях ниже.

Присоединяйтесь к Телеграм-группе @gdz_by_belarus

Присоединиться

Мы подготовили для вас ответ c подробным объяснением домашего задания по алгебре за 9 класс, для упражнения номер 1.224 расположенного на странице 66 к учебнику 2019 года издания для учащихся школ и гимназий.

Теперь на нашем сайте ГДЗ.ТОП вы всегда легко и бесплатно найдёте условие с правильным ответом на вопрос «Как решить ДЗ» и «Как сделать» задание по алгебре к упражнению №1.224 (с. 66), авторов: Арефьева (Ирина Глебовна), Пирютко (Ольга Николаевна), учебного пособия издательства Народная асвета.