Номер 1.229, страница 67 - гдз по алгебре 9 класс учебник Арефьева, Пирютко

Алгебра, 9 класс Учебник, авторы: Арефьева Ирина Глебовна, Пирютко Ольга Николаевна, издательство Народная асвета, Минск, 2019, голубого цвета

Авторы: Арефьева И. Г., Пирютко О. Н.

Тип: Учебник

Издательство: Народная асвета

Год издания: 2019 - 2026

Цвет обложки: голубой, синий с графиком

ISBN: 978-985-03-3077-2

Допущено Министерством образования Республики Беларусь

Популярные ГДЗ в 9 классе

Глава 1. Рациональные выражения. Параграф 5. Преобразования рациональных выражений - номер 1.229, страница 67.

№1.229 (с. 67)
Условие. №1.229 (с. 67)
скриншот условия
Алгебра, 9 класс Учебник, авторы: Арефьева Ирина Глебовна, Пирютко Ольга Николаевна, издательство Народная асвета, Минск, 2019, голубого цвета, страница 67, номер 1.229, Условие

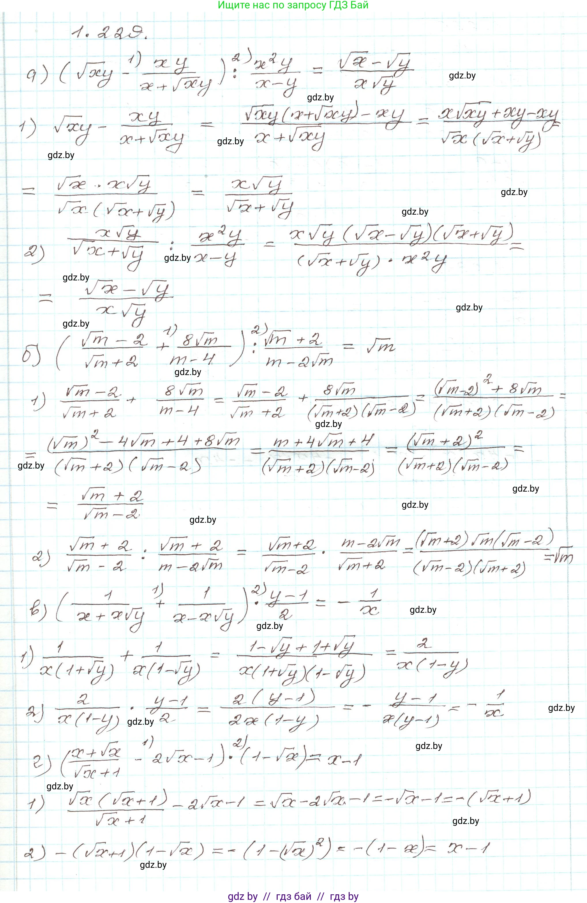
1.229. Установите порядок действий и упростите выражение:

а) $(\sqrt{xy} - \frac{xy}{x + \sqrt{xy}}) : \frac{x^2y}{x - y}$;

б) $(\frac{\sqrt{m} - 2}{\sqrt{m} + 2} + \frac{8\sqrt{m}}{m - 4}) : \frac{\sqrt{m} + 2}{m - 2\sqrt{m}};

в) $(\frac{1}{x + x\sqrt{y}} + \frac{1}{x - x\sqrt{y}}) \cdot \frac{y - 1}{2}$;

г) $(\frac{x + \sqrt{x}}{\sqrt{x} + 1} - 2\sqrt{x} - 1) \cdot (1 - \sqrt{x}).

Решение. №1.229 (с. 67)
Алгебра, 9 класс Учебник, авторы: Арефьева Ирина Глебовна, Пирютко Ольга Николаевна, издательство Народная асвета, Минск, 2019, голубого цвета, страница 67, номер 1.229, Решение
Решение 2. №1.229 (с. 67)

а) Упростим выражение по действиям. Сначала выполним вычитание в скобках, приведя дроби к общему знаменателю $x+\sqrt{xy}$.

1) $\sqrt{xy} - \frac{xy}{x+\sqrt{xy}} = \frac{\sqrt{xy}(x+\sqrt{xy}) - xy}{x+\sqrt{xy}} = \frac{x\sqrt{xy} + (\sqrt{xy})^2 - xy}{x+\sqrt{xy}} = \frac{x\sqrt{xy} + xy - xy}{x+\sqrt{xy}} = \frac{x\sqrt{xy}}{x+\sqrt{xy}}$

Вынесем общий множитель $\sqrt{x}$ в знаменателе: $x+\sqrt{xy} = \sqrt{x}(\sqrt{x}+\sqrt{y})$. Упростим полученную дробь:

$\frac{x\sqrt{xy}}{x+\sqrt{xy}} = \frac{x\sqrt{x}\sqrt{y}}{\sqrt{x}(\sqrt{x}+\sqrt{y})} = \frac{x\sqrt{y}}{\sqrt{x}+\sqrt{y}}$

2) Теперь выполним деление. Заменим деление на умножение на обратную дробь и разложим $x-y$ по формуле разности квадратов $x-y = (\sqrt{x}-\sqrt{y})(\sqrt{x}+\sqrt{y})$.

$\frac{x\sqrt{y}}{\sqrt{x}+\sqrt{y}} : \frac{x^2y}{x-y} = \frac{x\sqrt{y}}{\sqrt{x}+\sqrt{y}} \cdot \frac{x-y}{x^2y} = \frac{x\sqrt{y}}{\sqrt{x}+\sqrt{y}} \cdot \frac{(\sqrt{x}-\sqrt{y})(\sqrt{x}+\sqrt{y})}{x^2y}$

Сократим общие множители $(\sqrt{x}+\sqrt{y})$, $x$ и $\sqrt{y}$ (учитывая, что $y=(\sqrt{y})^2$):

$\frac{x\sqrt{y}(\sqrt{x}-\sqrt{y})}{x^2y} = \frac{\sqrt{y}(\sqrt{x}-\sqrt{y})}{xy} = \frac{\sqrt{y}(\sqrt{x}-\sqrt{y})}{x(\sqrt{y})^2} = \frac{\sqrt{x}-\sqrt{y}}{x\sqrt{y}}$

Ответ: $\frac{\sqrt{x}-\sqrt{y}}{x\sqrt{y}}$

б) Сначала упростим выражение в скобках. Разложим знаменатель второй дроби на множители: $m-4 = (\sqrt{m}-2)(\sqrt{m}+2)$. Это и будет общий знаменатель.

1) $\frac{\sqrt{m}-2}{\sqrt{m}+2} + \frac{8\sqrt{m}}{m-4} = \frac{(\sqrt{m}-2)(\sqrt{m}-2)}{(\sqrt{m}+2)(\sqrt{m}-2)} + \frac{8\sqrt{m}}{m-4} = \frac{(\sqrt{m}-2)^2 + 8\sqrt{m}}{m-4}$

Раскроем скобки в числителе: $(\sqrt{m}-2)^2 = m - 4\sqrt{m} + 4$.

$\frac{m - 4\sqrt{m} + 4 + 8\sqrt{m}}{m-4} = \frac{m + 4\sqrt{m} + 4}{m-4}$

Свернем числитель по формуле квадрата суммы: $m + 4\sqrt{m} + 4 = (\sqrt{m}+2)^2$.

$\frac{(\sqrt{m}+2)^2}{m-4} = \frac{(\sqrt{m}+2)^2}{(\sqrt{m}-2)(\sqrt{m}+2)} = \frac{\sqrt{m}+2}{\sqrt{m}-2}$

2) Теперь выполним деление. Разложим числитель второй дроби на множители: $m - 2\sqrt{m} = \sqrt{m}(\sqrt{m}-2)$.

$\frac{\sqrt{m}+2}{\sqrt{m}-2} : \frac{\sqrt{m}+2}{m-2\sqrt{m}} = \frac{\sqrt{m}+2}{\sqrt{m}-2} \cdot \frac{m-2\sqrt{m}}{\sqrt{m}+2} = \frac{\sqrt{m}+2}{\sqrt{m}-2} \cdot \frac{\sqrt{m}(\sqrt{m}-2)}{\sqrt{m}+2}$

Сократим одинаковые множители $(\sqrt{m}+2)$ и $(\sqrt{m}-2)$.

$\sqrt{m}$

Ответ: $\sqrt{m}$

в) Упростим выражение в скобках. В знаменателях вынесем общий множитель $x$.

1) $\frac{1}{x+x\sqrt{y}} + \frac{1}{x-x\sqrt{y}} = \frac{1}{x(1+\sqrt{y})} + \frac{1}{x(1-\sqrt{y})}$

Приведем к общему знаменателю $x(1+\sqrt{y})(1-\sqrt{y}) = x(1-y)$.

$\frac{1(1-\sqrt{y})}{x(1-y)} + \frac{1(1+\sqrt{y})}{x(1-y)} = \frac{1-\sqrt{y} + 1+\sqrt{y}}{x(1-y)} = \frac{2}{x(1-y)}$

2) Теперь выполним умножение. Заметим, что $y-1 = -(1-y)$.

$\frac{2}{x(1-y)} \cdot \frac{y-1}{2} = \frac{2}{x(1-y)} \cdot \frac{-(1-y)}{2} = -\frac{2(1-y)}{2x(1-y)}$

Сократим общие множители 2 и $(1-y)$.

$-\frac{1}{x}$

Ответ: $-\frac{1}{x}$

г) Сначала упростим выражение в скобках. Начнем с дроби.

1) $\frac{x+\sqrt{x}}{\sqrt{x}+1} = \frac{\sqrt{x}(\sqrt{x}+1)}{\sqrt{x}+1} = \sqrt{x}$

Подставим результат обратно в скобки:

$\sqrt{x} - 2\sqrt{x} - 1 = -\sqrt{x} - 1 = -(\sqrt{x}+1)$

2) Теперь выполним умножение. Используем формулу разности квадратов $(a+b)(a-b) = a^2-b^2$.

$-(\sqrt{x}+1) \cdot (1-\sqrt{x}) = -(1+\sqrt{x})(1-\sqrt{x}) = -(1^2 - (\sqrt{x})^2) = -(1-x) = x-1$

Ответ: $x-1$

Помогло решение? Оставьте отзыв в комментариях ниже.

Присоединяйтесь к Телеграм-группе @gdz_by_belarus

Присоединиться

Мы подготовили для вас ответ c подробным объяснением домашего задания по алгебре за 9 класс, для упражнения номер 1.229 расположенного на странице 67 к учебнику 2019 года издания для учащихся школ и гимназий.

Теперь на нашем сайте ГДЗ.ТОП вы всегда легко и бесплатно найдёте условие с правильным ответом на вопрос «Как решить ДЗ» и «Как сделать» задание по алгебре к упражнению №1.229 (с. 67), авторов: Арефьева (Ирина Глебовна), Пирютко (Ольга Николаевна), учебного пособия издательства Народная асвета.