Номер 1.235, страница 67 - гдз по алгебре 9 класс учебник Арефьева, Пирютко

Алгебра, 9 класс Учебник, авторы: Арефьева Ирина Глебовна, Пирютко Ольга Николаевна, издательство Народная асвета, Минск, 2019, голубого цвета

Авторы: Арефьева И. Г., Пирютко О. Н.

Тип: Учебник

Издательство: Народная асвета

Год издания: 2019 - 2026

Цвет обложки: голубой, синий с графиком

ISBN: 978-985-03-3077-2

Допущено Министерством образования Республики Беларусь

Глава 1. Рациональные выражения. Параграф 5. Преобразования рациональных выражений - номер 1.235, страница 67.

№1.235 (с. 67)
Условие. №1.235 (с. 67)
скриншот условия
Алгебра, 9 класс Учебник, авторы: Арефьева Ирина Глебовна, Пирютко Ольга Николаевна, издательство Народная асвета, Минск, 2019, голубого цвета, страница 67, номер 1.235, Условие

1.235*. Установите порядок действий и упростите выражение:

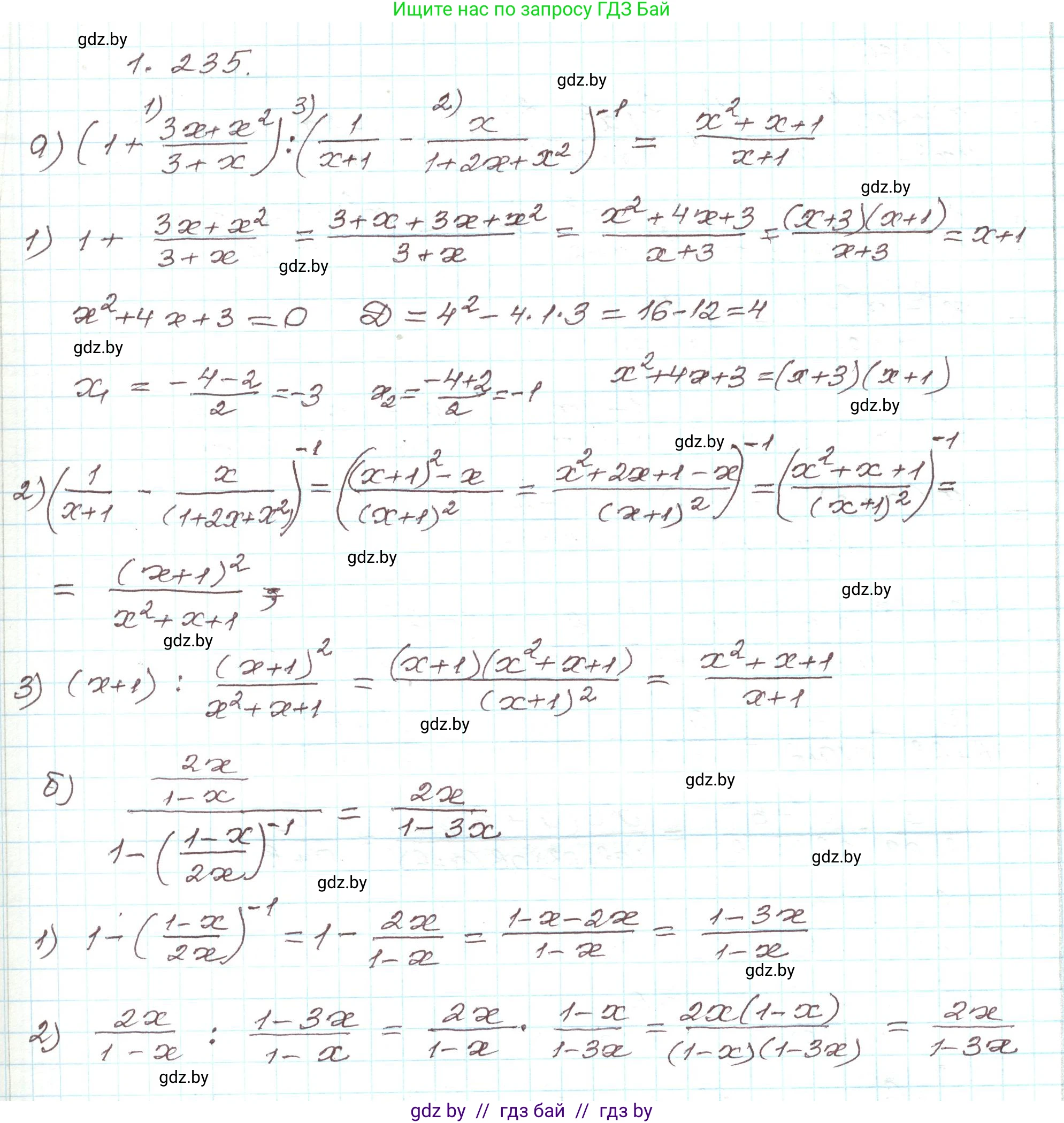
а) $ (1 + \frac{3x + x^2}{3 + x}) : (\frac{1}{x+1} - \frac{x}{1+2x+x^2})^{-1} $;

б) $\frac{\frac{2x}{1-x}}{1 - (\frac{1-x}{2x})^{-1}}$.

Решение. №1.235 (с. 67)
Алгебра, 9 класс Учебник, авторы: Арефьева Ирина Глебовна, Пирютко Ольга Николаевна, издательство Народная асвета, Минск, 2019, голубого цвета, страница 67, номер 1.235, Решение
Решение 2. №1.235 (с. 67)

a) Установим порядок действий и упростим выражение: $ \left(1 + \frac{3x+x^2}{3+x}\right) : \left(\frac{1}{x+1} - \frac{x}{1+2x+x^2}\right)^{-1} $

1. Сначала упростим выражение в первой скобке. Для этого приведем 1 к общему знаменателю с дробью:

$ 1 + \frac{3x+x^2}{3+x} = \frac{3+x}{3+x} + \frac{3x+x^2}{3+x} = \frac{3+x+3x+x^2}{3+x} = \frac{x^2+4x+3}{3+x} $

Разложим числитель на множители: $x^2+4x+3 = (x+1)(x+3)$.

$ \frac{(x+1)(x+3)}{x+3} $

При условии $x+3 \neq 0$ (т.е. $x \neq -3$), можем сократить дробь:

$ x+1 $

Альтернативный способ для шага 1:

$ 1 + \frac{x(3+x)}{3+x} = 1 + x $

2. Теперь упростим выражение во второй скобке. Заметим, что знаменатель $1+2x+x^2$ является формулой квадрата суммы: $(1+x)^2$.

$ \frac{1}{x+1} - \frac{x}{1+2x+x^2} = \frac{1}{x+1} - \frac{x}{(x+1)^2} $

Приводим к общему знаменателю $(x+1)^2$ (при $x \neq -1$):

$ \frac{1 \cdot (x+1)}{(x+1)^2} - \frac{x}{(x+1)^2} = \frac{x+1-x}{(x+1)^2} = \frac{1}{(x+1)^2} $

3. Возведем результат второго действия в степень -1 (т.е. "перевернем" дробь):

$ \left(\frac{1}{(x+1)^2}\right)^{-1} = (x+1)^2 $

4. Выполним деление результата первого действия на результат третьего:

$ (x+1) : (x+1)^2 = \frac{x+1}{(x+1)^2} $

При $x \neq -1$, сокращаем дробь:

$ \frac{1}{x+1} $

Полученная дробь является правильной, так как степень числителя (0) меньше степени знаменателя (1). Следовательно, у нее нет целой части, которую можно было бы выделить.

Ответ: $ \frac{1}{x+1} $


б) Установим порядок действий и упростим выражение: $ \frac{\frac{2x}{1-x}}{1 - \left(\frac{1-x}{2x}\right)^{-1}} $

1. Сначала упростим знаменатель основной дроби. Начнем с возведения дроби в скобках в степень -1. Это действие "переворачивает" дробь.

$ \left(\frac{1-x}{2x}\right)^{-1} = \frac{2x}{1-x} $

Это выражение определено при $1-x \neq 0$ (т.е. $x \neq 1$) и $2x \neq 0$ (т.е. $x \neq 0$).

2. Теперь выполним вычитание в знаменателе:

$ 1 - \frac{2x}{1-x} = \frac{1 \cdot (1-x)}{1-x} - \frac{2x}{1-x} = \frac{1-x-2x}{1-x} = \frac{1-3x}{1-x} $

3. Подставим упрощенный знаменатель обратно в исходное выражение и выполним деление "многоэтажной" дроби, умножив числитель на перевернутый знаменатель:

$ \frac{\frac{2x}{1-x}}{\frac{1-3x}{1-x}} = \frac{2x}{1-x} \cdot \frac{1-x}{1-3x} $

Сокращаем общий множитель $(1-x)$ (при $x \neq 1$):

$ \frac{2x}{1-3x} $

Знаменатель итогового выражения не должен быть равен нулю, то есть $1-3x \neq 0$, откуда $x \neq \frac{1}{3}$.

4. Полученная дробь $ \frac{2x}{1-3x} $ является неправильной, так как степень числителя (1) равна степени знаменателя (1). Согласно заданию, выделим целую часть. Для этого выполним деление многочлена $2x$ на $1-3x$ (удобнее делить на $-3x+1$):

$ \frac{2x}{1-3x} = \frac{2x}{-3x+1} $

Чтобы в числителе получить выражение, кратное знаменателю, умножим и разделим $2x$ на $-3/2$, а затем скомпенсируем:

$ \frac{2x}{-3x+1} = \frac{-\frac{2}{3}(-3x)}{-3x+1} = \frac{-\frac{2}{3}(-3x+1-1)}{-3x+1} = \frac{-\frac{2}{3}(-3x+1) + \frac{2}{3}}{-3x+1} = \frac{-\frac{2}{3}(-3x+1)}{-3x+1} + \frac{\frac{2}{3}}{-3x+1} = -\frac{2}{3} + \frac{2}{3(1-3x)} $

Таким образом, мы выделили целую часть, которая равна константе $ -\frac{2}{3} $, и дробную часть $ \frac{2}{3(1-3x)} $.

Ответ: $ -\frac{2}{3} + \frac{2}{3(1-3x)} $

Помогло решение? Оставьте отзыв в комментариях ниже.

Присоединяйтесь к Телеграм-группе @gdz_by_belarus

Присоединиться

Мы подготовили для вас ответ c подробным объяснением домашего задания по алгебре за 9 класс, для упражнения номер 1.235 расположенного на странице 67 к учебнику 2019 года издания для учащихся школ и гимназий.

Теперь на нашем сайте ГДЗ.ТОП вы всегда легко и бесплатно найдёте условие с правильным ответом на вопрос «Как решить ДЗ» и «Как сделать» задание по алгебре к упражнению №1.235 (с. 67), авторов: Арефьева (Ирина Глебовна), Пирютко (Ольга Николаевна), учебного пособия издательства Народная асвета.