Номер 1.23, страница 17 - гдз по алгебре 9 класс учебник Арефьева, Пирютко

Алгебра, 9 класс Учебник, авторы: Арефьева Ирина Глебовна, Пирютко Ольга Николаевна, издательство Народная асвета, Минск, 2019, голубого цвета

Авторы: Арефьева И. Г., Пирютко О. Н.

Тип: Учебник

Издательство: Народная асвета

Год издания: 2019 - 2026

Цвет обложки: голубой, синий с графиком

ISBN: 978-985-03-3077-2

Допущено Министерством образования Республики Беларусь

Популярные ГДЗ в 9 классе

Глава 1. Рациональные выражения. Параграф 1. Рациональная дробь - номер 1.23, страница 17.

№1.23 (с. 17)
Условие. №1.23 (с. 17)
скриншот условия
Алгебра, 9 класс Учебник, авторы: Арефьева Ирина Глебовна, Пирютко Ольга Николаевна, издательство Народная асвета, Минск, 2019, голубого цвета, страница 17, номер 1.23, Условие

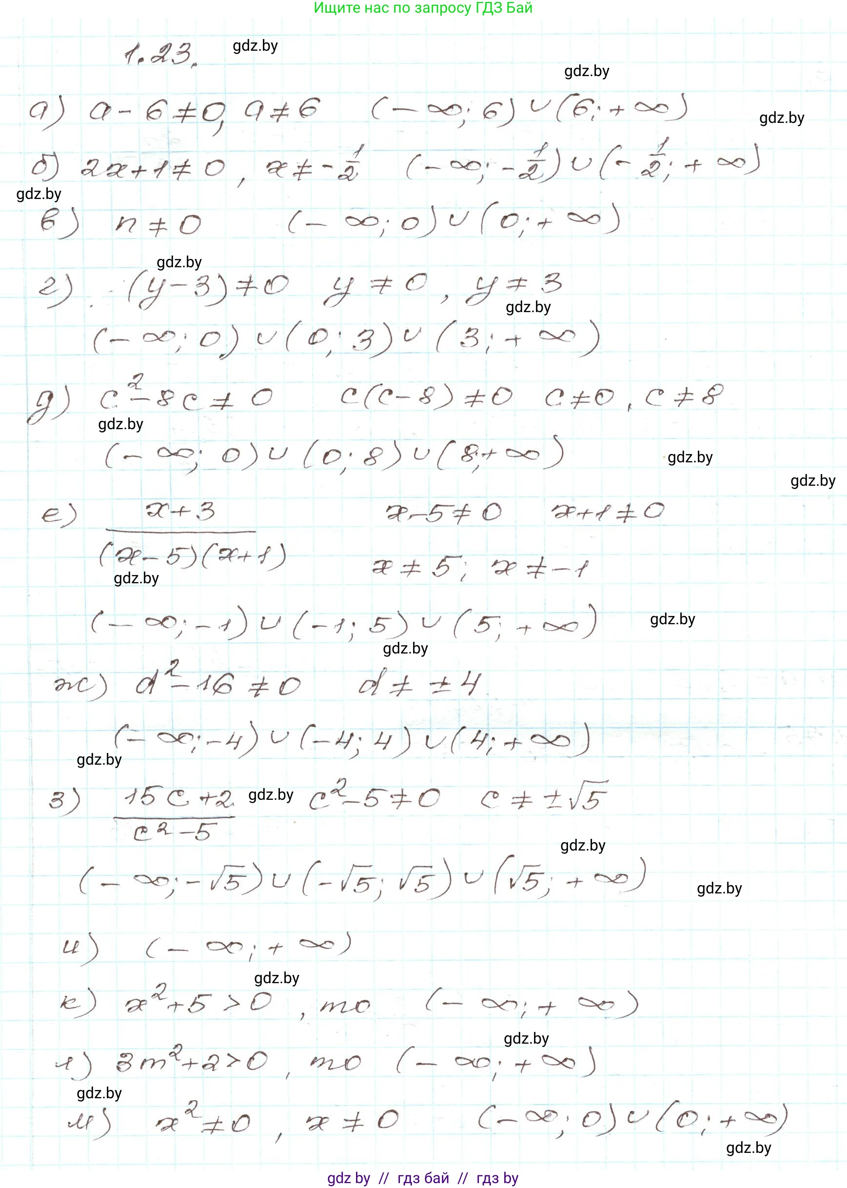
1.23. Найдите область определения рациональной дроби:

а) $\frac{a + 4}{a - 6};$

б) $\frac{9x - 5}{2x + 1};$

в) $\frac{7n + 4}{n};$

г) $\frac{12y - 1}{y(y - 3)};$

д) $\frac{9}{c^2 - 8c};$

е) $\frac{x + 3}{(x - 5)(x + 1)};$

ж) $\frac{9d}{d^2 - 16};$

з) $\frac{15c + 2}{c^2 - 5};$

и) $\frac{a^2 - 9}{8};$

к) $\frac{x - 6}{x^2 + 5};$

л) $\frac{8m}{3m^2 + 2};$

м) $\frac{3x - 5}{x^2}.$

Решение. №1.23 (с. 17)
Алгебра, 9 класс Учебник, авторы: Арефьева Ирина Глебовна, Пирютко Ольга Николаевна, издательство Народная асвета, Минск, 2019, голубого цвета, страница 17, номер 1.23, Решение
Решение 2. №1.23 (с. 17)

Область определения рациональной дроби — это множество всех допустимых значений переменных, при которых знаменатель дроби не обращается в ноль. Чтобы найти область определения, нужно приравнять знаменатель к нулю, найти недопустимые значения переменной и исключить их из множества всех действительных чисел.

а) Дана дробь $\frac{a+4}{a-6}$.
Знаменатель $a-6$ не должен быть равен нулю.
$a-6 \neq 0$
$a \neq 6$
Ответ: все действительные числа, кроме $a=6$.

б) Дана дробь $\frac{9x-5}{2x+1}$.
Знаменатель $2x+1$ не должен быть равен нулю.
$2x+1 \neq 0$
$2x \neq -1$
$x \neq -\frac{1}{2}$
Ответ: все действительные числа, кроме $x = -\frac{1}{2}$.

в) Дана дробь $\frac{7n+4}{n}$.
Знаменатель $n$ не должен быть равен нулю.
$n \neq 0$
Ответ: все действительные числа, кроме $n=0$.

г) Дана дробь $\frac{12y-1}{y(y-3)}$.
Знаменатель $y(y-3)$ не должен быть равен нулю.
$y(y-3) \neq 0$
Это означает, что $y \neq 0$ и $y-3 \neq 0$.
Следовательно, $y \neq 0$ и $y \neq 3$.
Ответ: все действительные числа, кроме $y=0$ и $y=3$.

д) Дана дробь $\frac{9}{c^2-8c}$.
Знаменатель $c^2-8c$ не должен быть равен нулю.
$c^2-8c \neq 0$
$c(c-8) \neq 0$
Следовательно, $c \neq 0$ и $c-8 \neq 0$, то есть $c \neq 8$.
Ответ: все действительные числа, кроме $c=0$ и $c=8$.

е) Дана дробь $\frac{x+3}{(x-5)(x+1)}$.
Знаменатель $(x-5)(x+1)$ не должен быть равен нулю.
$(x-5)(x+1) \neq 0$
Это означает, что $x-5 \neq 0$ и $x+1 \neq 0$.
Следовательно, $x \neq 5$ и $x \neq -1$.
Ответ: все действительные числа, кроме $x=5$ и $x=-1$.

ж) Дана дробь $\frac{9d}{d^2-16}$.
Знаменатель $d^2-16$ не должен быть равен нулю.
$d^2-16 \neq 0$
Используем формулу разности квадратов: $(d-4)(d+4) \neq 0$.
Следовательно, $d-4 \neq 0$ и $d+4 \neq 0$.
$d \neq 4$ и $d \neq -4$.
Ответ: все действительные числа, кроме $d=4$ и $d=-4$.

з) Дана дробь $\frac{15c+2}{c^2-5}$.
Знаменатель $c^2-5$ не должен быть равен нулю.
$c^2-5 \neq 0$
$c^2 \neq 5$
$c \neq \sqrt{5}$ и $c \neq -\sqrt{5}$.
Ответ: все действительные числа, кроме $c=\sqrt{5}$ и $c=-\sqrt{5}$.

и) Дана дробь $\frac{a^2-9}{8}$.
Знаменатель равен 8. Так как $8 \neq 0$ всегда, то знаменатель никогда не обращается в ноль.
Ответ: все действительные числа.

к) Дана дробь $\frac{x-6}{x^2+5}$.
Знаменатель $x^2+5$ не должен быть равен нулю.
Выражение $x^2$ всегда неотрицательно, то есть $x^2 \ge 0$ для любого действительного $x$.
Следовательно, $x^2+5 \ge 5$, и знаменатель никогда не равен нулю.
Ответ: все действительные числа.

л) Дана дробь $\frac{8m}{3m^2+2}$.
Знаменатель $3m^2+2$ не должен быть равен нулю.
Так как $m^2 \ge 0$, то $3m^2 \ge 0$, и $3m^2+2 \ge 2$.
Знаменатель никогда не равен нулю.
Ответ: все действительные числа.

м) Дана дробь $\frac{3x-5}{x^2}$.
Знаменатель $x^2$ не должен быть равен нулю.
$x^2 \neq 0$
$x \neq 0$
Ответ: все действительные числа, кроме $x=0$.

Помогло решение? Оставьте отзыв в комментариях ниже.

Присоединяйтесь к Телеграм-группе @gdz_by_belarus

Присоединиться

Мы подготовили для вас ответ c подробным объяснением домашего задания по алгебре за 9 класс, для упражнения номер 1.23 расположенного на странице 17 к учебнику 2019 года издания для учащихся школ и гимназий.

Теперь на нашем сайте ГДЗ.ТОП вы всегда легко и бесплатно найдёте условие с правильным ответом на вопрос «Как решить ДЗ» и «Как сделать» задание по алгебре к упражнению №1.23 (с. 17), авторов: Арефьева (Ирина Глебовна), Пирютко (Ольга Николаевна), учебного пособия издательства Народная асвета.