Номер 2.23, страница 87 - гдз по алгебре 9 класс учебник Арефьева, Пирютко

Алгебра, 9 класс Учебник, авторы: Арефьева Ирина Глебовна, Пирютко Ольга Николаевна, издательство Народная асвета, Минск, 2019, голубого цвета

Авторы: Арефьева И. Г., Пирютко О. Н.

Тип: Учебник

Издательство: Народная асвета

Год издания: 2019 - 2026

Цвет обложки: голубой, синий с графиком

ISBN: 978-985-03-3077-2

Допущено Министерством образования Республики Беларусь

Популярные ГДЗ в 9 классе

Глава 2. Функции. Параграф 6. Функция числового аргумента. Область определения, множество значений. Способы задания функции - номер 2.23, страница 87.

№2.23 (с. 87)
Условие. №2.23 (с. 87)
скриншот условия
Алгебра, 9 класс Учебник, авторы: Арефьева Ирина Глебовна, Пирютко Ольга Николаевна, издательство Народная асвета, Минск, 2019, голубого цвета, страница 87, номер 2.23, Условие

2.23. Найдите область определения функции:

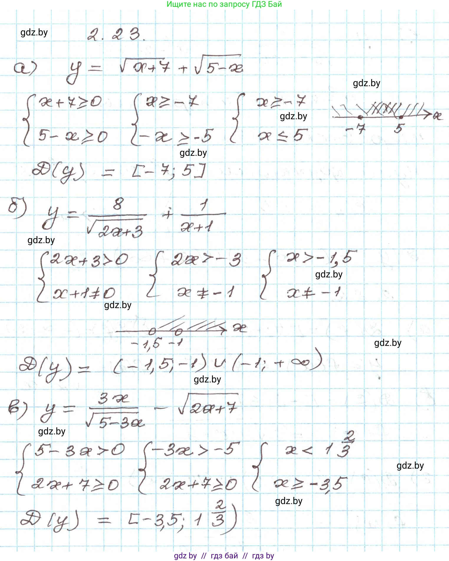
а) $y = \sqrt{x + 7} + \sqrt{5 - x};$

б) $y = \frac{8}{\sqrt{2x + 3}} + \frac{1}{x + 1};$

в) $y = \frac{3x}{\sqrt{5 - 3x}} - \sqrt{2x + 7};$

г) $y = \sqrt{x^2 + x - 20} + \sqrt{36 - x^2};$

д) $y = \frac{3}{\sqrt{x^2 - 5x}} - \sqrt{8x - x^2};$

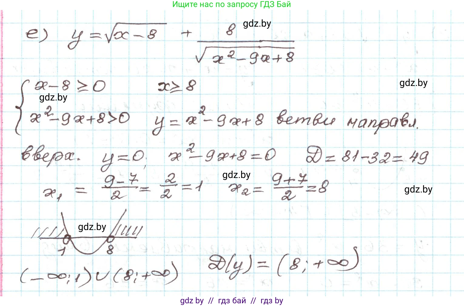
е) $y = \sqrt{x - 8} + \frac{8}{\sqrt{x^2 - 9x + 8}}.$

Решение. №2.23 (с. 87)
Алгебра, 9 класс Учебник, авторы: Арефьева Ирина Глебовна, Пирютко Ольга Николаевна, издательство Народная асвета, Минск, 2019, голубого цвета, страница 87, номер 2.23, Решение Алгебра, 9 класс Учебник, авторы: Арефьева Ирина Глебовна, Пирютко Ольга Николаевна, издательство Народная асвета, Минск, 2019, голубого цвета, страница 87, номер 2.23, Решение (продолжение 2)
Решение 2. №2.23 (с. 87)

а) Область определения функции $y = \sqrt{x+7} + \sqrt{5-x}$ находится из условия, что подкоренные выражения должны быть неотрицательными. Это приводит к системе неравенств:

$ \begin{cases} x+7 \ge 0 \\ 5-x \ge 0 \end{cases} $

Решая эту систему, получаем:

$ \begin{cases} x \ge -7 \\ x \le 5 \end{cases} $

Пересечением этих двух условий является отрезок $x \in [-7, 5]$.

Ответ: $D(y) = [-7, 5]$.

б) Для функции $y = \frac{8}{\sqrt{2x+3}} + \frac{1}{x+1}$ должны выполняться два условия: подкоренное выражение в знаменателе должно быть строго положительным, и знаменатель второй дроби не должен быть равен нулю.

$ \begin{cases} 2x+3 > 0 \\ x+1 \ne 0 \end{cases} $

Решаем систему:

$ \begin{cases} 2x > -3 \\ x \ne -1 \end{cases} \implies \begin{cases} x > -\frac{3}{2} \\ x \ne -1 \end{cases} $

Представим неправильную дробь $-\frac{3}{2}$ в виде смешанного числа: $-1\frac{1}{2}$. Условие $x > -1\frac{1}{2}$ при $x \ne -1$ определяет область определения.

Ответ: $D(y) = (-\mathbf{1}\frac{1}{2}, -1) \cup (-1, +\infty)$.

в) Область определения функции $y = \frac{3x}{\sqrt{5-3x}} - \sqrt{2x+7}$ находится из системы неравенств:

$ \begin{cases} 5-3x > 0 \quad \text{(подкоренное выражение в знаменателе строго больше нуля)} \\ 2x+7 \ge 0 \quad \text{(подкоренное выражение неотрицательно)} \end{cases} $

Решаем систему:

$ \begin{cases} -3x > -5 \\ 2x \ge -7 \end{cases} \implies \begin{cases} x < \frac{5}{3} \\ x \ge -\frac{7}{2} \end{cases} $

Объединяя условия, получаем $-\frac{7}{2} \le x < \frac{5}{3}$. Выделим целые части из неправильных дробей: $-\frac{7}{2} = -3\frac{1}{2}$ и $\frac{5}{3} = 1\frac{2}{3}$.

Ответ: $D(y) = [-\mathbf{3}\frac{1}{2}, \mathbf{1}\frac{2}{3})$.

г) Область определения функции $y = \sqrt{x^2+x-20} + \sqrt{36-x^2}$ находится из системы неравенств:

$ \begin{cases} x^2+x-20 \ge 0 \\ 36-x^2 \ge 0 \end{cases} $

1. Решаем $x^2+x-20 \ge 0$. Корни уравнения $x^2+x-20=0$ равны $x_1=-5, x_2=4$. Парабола направлена ветвями вверх, следовательно, $x \in (-\infty, -5] \cup [4, +\infty)$.

2. Решаем $36-x^2 \ge 0 \implies x^2 \le 36 \implies |x| \le 6$, что соответствует отрезку $x \in [-6, 6]$.

Находим пересечение множеств $( (-\infty, -5] \cup [4, +\infty) ) \cap [-6, 6]$, что дает объединение отрезков.

Ответ: $D(y) = [-6, -5] \cup [4, 6]$.

д) Область определения функции $y = \frac{3}{\sqrt{x^2-5x}} - \sqrt{8x-x^2}$ находится из системы неравенств:

$ \begin{cases} x^2-5x > 0 \\ 8x-x^2 \ge 0 \end{cases} $

1. Решаем $x^2-5x > 0 \implies x(x-5) > 0$. Решение: $x \in (-\infty, 0) \cup (5, +\infty)$.

2. Решаем $8x-x^2 \ge 0 \implies x(8-x) \ge 0$. Решение: $x \in [0, 8]$.

Пересечение множеств $( (-\infty, 0) \cup (5, +\infty) ) \cap [0, 8]$ дает полуинтервал.

Ответ: $D(y) = (5, 8]$.

е) Область определения функции $y = \sqrt{x-8} + \frac{8}{\sqrt{x^2-9x+8}}$ находится из системы неравенств:

$ \begin{cases} x-8 \ge 0 \\ x^2-9x+8 > 0 \end{cases} $

1. Из первого неравенства получаем $x \ge 8$.

2. Решаем второе неравенство $x^2-9x+8 > 0 \implies (x-1)(x-8) > 0$. Решение: $x \in (-\infty, 1) \cup (8, +\infty)$.

Находим пересечение множеств $[8, +\infty)$ и $(-\infty, 1) \cup (8, +\infty)$. Пересечением является интервал.

Ответ: $D(y) = (8, +\infty)$.

Помогло решение? Оставьте отзыв в комментариях ниже.

Присоединяйтесь к Телеграм-группе @gdz_by_belarus

Присоединиться

Мы подготовили для вас ответ c подробным объяснением домашего задания по алгебре за 9 класс, для упражнения номер 2.23 расположенного на странице 87 к учебнику 2019 года издания для учащихся школ и гимназий.

Теперь на нашем сайте ГДЗ.ТОП вы всегда легко и бесплатно найдёте условие с правильным ответом на вопрос «Как решить ДЗ» и «Как сделать» задание по алгебре к упражнению №2.23 (с. 87), авторов: Арефьева (Ирина Глебовна), Пирютко (Ольга Николаевна), учебного пособия издательства Народная асвета.