Номер 2.26, страница 87 - гдз по алгебре 9 класс учебник Арефьева, Пирютко

Алгебра, 9 класс Учебник, авторы: Арефьева Ирина Глебовна, Пирютко Ольга Николаевна, издательство Народная асвета, Минск, 2019, голубого цвета

Авторы: Арефьева И. Г., Пирютко О. Н.

Тип: Учебник

Издательство: Народная асвета

Год издания: 2019 - 2026

Цвет обложки: голубой, синий с графиком

ISBN: 978-985-03-3077-2

Допущено Министерством образования Республики Беларусь

Популярные ГДЗ в 9 классе

Глава 2. Функции. Параграф 6. Функция числового аргумента. Область определения, множество значений. Способы задания функции - номер 2.26, страница 87.

№2.26 (с. 87)
Условие. №2.26 (с. 87)
скриншот условия
Алгебра, 9 класс Учебник, авторы: Арефьева Ирина Глебовна, Пирютко Ольга Николаевна, издательство Народная асвета, Минск, 2019, голубого цвета, страница 87, номер 2.26, Условие

2.26. Сравните $f(-1)$ и $f(\sqrt{6})$, если:

а) $f(x) = \sqrt{10 - x^2}$;

б) $f(x) = 5x^3 - x$;

в) $f(x) = \frac{x^2 - 3}{x^2 + 3}$;

г) $f(x) = - \frac{x^2}{x^2 + 1}$.

Решение. №2.26 (с. 87)
Алгебра, 9 класс Учебник, авторы: Арефьева Ирина Глебовна, Пирютко Ольга Николаевна, издательство Народная асвета, Минск, 2019, голубого цвета, страница 87, номер 2.26, Решение Алгебра, 9 класс Учебник, авторы: Арефьева Ирина Глебовна, Пирютко Ольга Николаевна, издательство Народная асвета, Минск, 2019, голубого цвета, страница 87, номер 2.26, Решение (продолжение 2)
Решение 2. №2.26 (с. 87)

Для того чтобы сравнить значения функции $f(-1)$ и $f(\sqrt{6})$, необходимо для каждого случая подставить значения аргумента $x = -1$ и $x = \sqrt{6}$ в формулу функции и вычислить результаты.

а) Дана функция $f(x) = \sqrt{10 - x^2}$.

Найдем значение функции в точке $x = -1$:

$f(-1) = \sqrt{10 - (-1)^2} = \sqrt{10 - 1} = \sqrt{9} = 3$.

Найдем значение функции в точке $x = \sqrt{6}$:

$f(\sqrt{6}) = \sqrt{10 - (\sqrt{6})^2} = \sqrt{10 - 6} = \sqrt{4} = 2$.

Сравним полученные значения: $3 > 2$.

Следовательно, $f(-1) > f(\sqrt{6})$.

Ответ: $f(-1) > f(\sqrt{6})$.

б) Дана функция $f(x) = 5x^3 - x$.

Найдем значение функции в точке $x = -1$:

$f(-1) = 5(-1)^3 - (-1) = 5(-1) + 1 = -5 + 1 = -4$.

Найдем значение функции в точке $x = \sqrt{6}$:

$f(\sqrt{6}) = 5(\sqrt{6})^3 - \sqrt{6} = 5 \cdot (\sqrt{6})^2 \cdot \sqrt{6} - \sqrt{6} = 5 \cdot 6\sqrt{6} - \sqrt{6} = 30\sqrt{6} - \sqrt{6} = 29\sqrt{6}$.

Сравним полученные значения. Так как $\sqrt{6} \approx 2.45 > 0$, то $29\sqrt{6}$ является положительным числом. Число $-4$ является отрицательным. Любое положительное число больше любого отрицательного.

Следовательно, $29\sqrt{6} > -4$, что означает $f(\sqrt{6}) > f(-1)$.

Ответ: $f(\sqrt{6}) > f(-1)$.

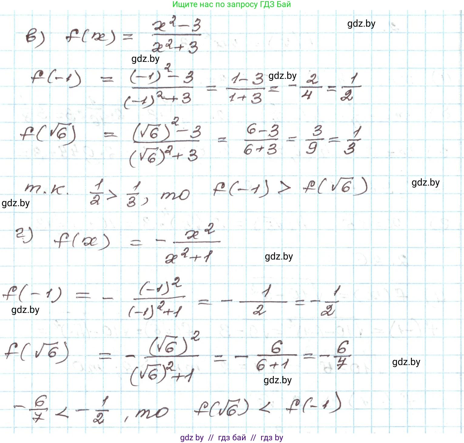
в) Дана функция $f(x) = \frac{x^2 - 3}{x^2 + 3}$.

Найдем значение функции в точке $x = -1$:

$f(-1) = \frac{(-1)^2 - 3}{(-1)^2 + 3} = \frac{1 - 3}{1 + 3} = \frac{-2}{4} = -\frac{1}{2}$.

Найдем значение функции в точке $x = \sqrt{6}$:

$f(\sqrt{6}) = \frac{(\sqrt{6})^2 - 3}{(\sqrt{6})^2 + 3} = \frac{6 - 3}{6 + 3} = \frac{3}{9} = \frac{1}{3}$.

Сравним полученные значения. Число $\frac{1}{3}$ является положительным, а число $-\frac{1}{2}$ — отрицательным. Любое положительное число больше любого отрицательного.

Следовательно, $\frac{1}{3} > -\frac{1}{2}$, что означает $f(\sqrt{6}) > f(-1)$.

Ответ: $f(\sqrt{6}) > f(-1)$.

г) Дана функция $f(x) = -\frac{x^2}{x^2 + 1}$.

Найдем значение функции в точке $x = -1$:

$f(-1) = -\frac{(-1)^2}{(-1)^2 + 1} = -\frac{1}{1 + 1} = -\frac{1}{2}$.

Найдем значение функции в точке $x = \sqrt{6}$:

$f(\sqrt{6}) = -\frac{(\sqrt{6})^2}{(\sqrt{6})^2 + 1} = -\frac{6}{6 + 1} = -\frac{6}{7}$.

Сравним полученные отрицательные значения. Для этого приведем дроби к общему знаменателю 14:

$-\frac{1}{2} = -\frac{1 \cdot 7}{2 \cdot 7} = -\frac{7}{14}$.

$-\frac{6}{7} = -\frac{6 \cdot 2}{7 \cdot 2} = -\frac{12}{14}$.

Так как $-7 > -12$, то $-\frac{7}{14} > -\frac{12}{14}$.

Следовательно, $f(-1) > f(\sqrt{6})$.

Ответ: $f(-1) > f(\sqrt{6})$.

Помогло решение? Оставьте отзыв в комментариях ниже.

Присоединяйтесь к Телеграм-группе @gdz_by_belarus

Присоединиться

Мы подготовили для вас ответ c подробным объяснением домашего задания по алгебре за 9 класс, для упражнения номер 2.26 расположенного на странице 87 к учебнику 2019 года издания для учащихся школ и гимназий.

Теперь на нашем сайте ГДЗ.ТОП вы всегда легко и бесплатно найдёте условие с правильным ответом на вопрос «Как решить ДЗ» и «Как сделать» задание по алгебре к упражнению №2.26 (с. 87), авторов: Арефьева (Ирина Глебовна), Пирютко (Ольга Николаевна), учебного пособия издательства Народная асвета.