Номер 10, страница 134 - гдз по алгебре 9 класс учебник Арефьева, Пирютко

Алгебра, 9 класс Учебник, авторы: Арефьева Ирина Глебовна, Пирютко Ольга Николаевна, издательство Народная асвета, Минск, 2019, голубого цвета

Авторы: Арефьева И. Г., Пирютко О. Н.

Тип: Учебник

Издательство: Народная асвета

Год издания: 2019 - 2026

Цвет обложки: голубой, синий с графиком

ISBN: 978-985-03-3077-2

Допущено Министерством образования Республики Беларусь

Популярные ГДЗ в 9 классе

Глава 2. Функции. Я проверяю свои знания - номер 10, страница 134.

№10 (с. 134)
Условие. №10 (с. 134)
скриншот условия
Алгебра, 9 класс Учебник, авторы: Арефьева Ирина Глебовна, Пирютко Ольга Николаевна, издательство Народная асвета, Минск, 2019, голубого цвета, страница 134, номер 10, Условие

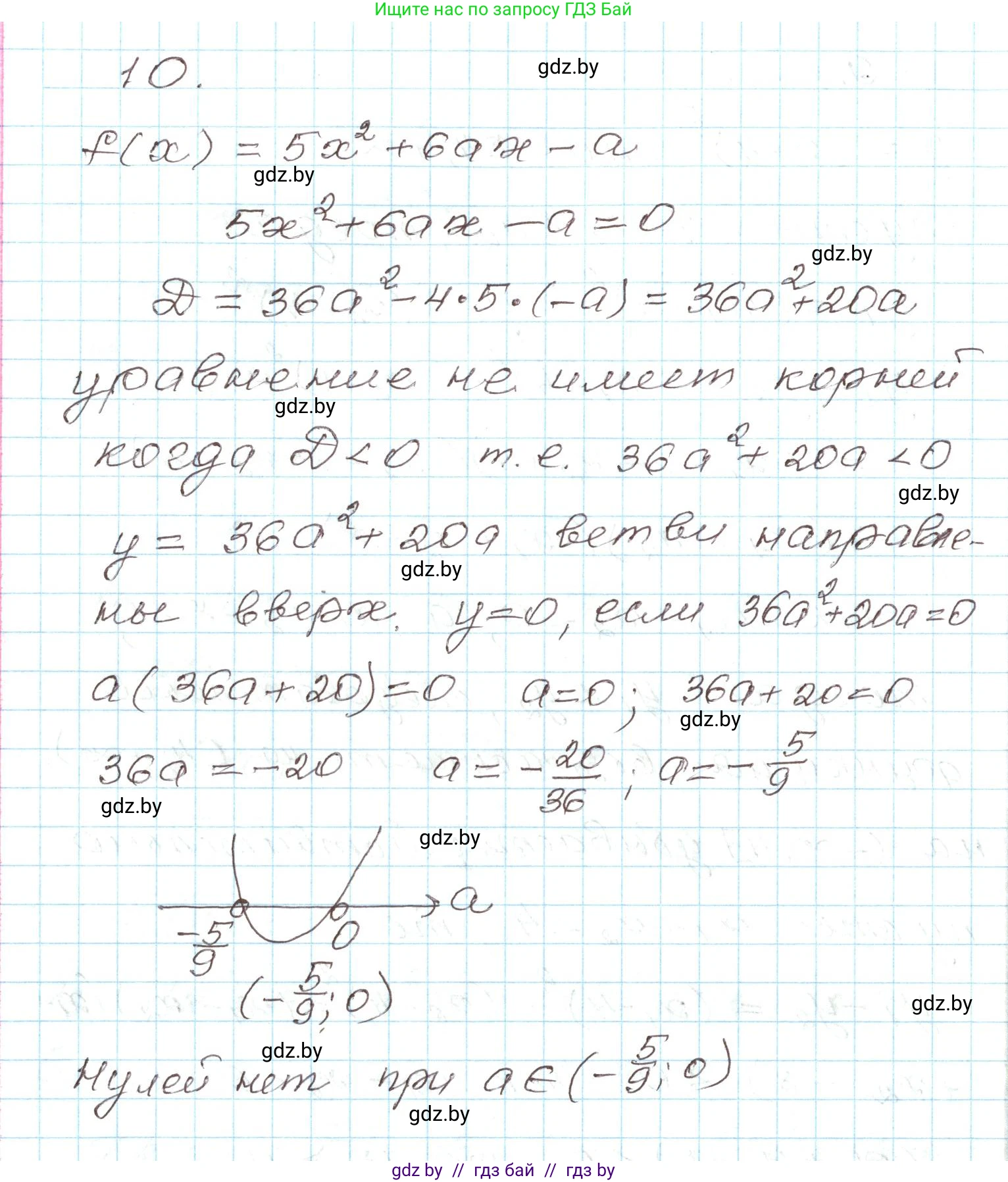
10. Найдите, при каких значениях числа $a$ функция $f(x)=5x^2+6ax-a$ не имеет нулей.

Решение. №10 (с. 134)
Алгебра, 9 класс Учебник, авторы: Арефьева Ирина Глебовна, Пирютко Ольга Николаевна, издательство Народная асвета, Минск, 2019, голубого цвета, страница 134, номер 10, Решение
Решение 2. №10 (с. 134)

Данная функция $f(x) = 5x^2 + 6ax - a$ является квадратичной. Нули функции – это значения $x$, при которых $f(x) = 0$. Таким образом, задача сводится к нахождению значений параметра $a$, при которых квадратное уравнение $5x^2 + 6ax - a = 0$ не имеет действительных корней.

Квадратное уравнение не имеет действительных корней, если его дискриминант (D) меньше нуля ($D < 0$).

Коэффициенты данного квадратного уравнения $Ax^2+Bx+C=0$ равны:

  • $A = 5$
  • $B = 6a$
  • $C = -a$

Найдем дискриминант по формуле $D = B^2 - 4AC$:
$D = (6a)^2 - 4 \cdot 5 \cdot (-a) = 36a^2 + 20a$

Теперь решим неравенство $D < 0$:
$36a^2 + 20a < 0$

Для решения этого квадратного неравенства относительно переменной $a$, найдем сначала корни соответствующего уравнения $36a^2 + 20a = 0$.
Вынесем общий множитель $4a$ за скобки:
$4a(9a + 5) = 0$

Это уравнение имеет два корня:
$a_1 = 0$
$9a + 5 = 0 \implies 9a = -5 \implies a_2 = -\frac{5}{9}$

Графиком функции $y(a) = 36a^2 + 20a$ является парабола, ветви которой направлены вверх (поскольку коэффициент при $a^2$ положителен: $36 > 0$). Следовательно, значения этого выражения будут отрицательными на интервале между его корнями.

Таким образом, решение неравенства $36a^2 + 20a < 0$ — это интервал $(-\frac{5}{9}; 0)$.

Ответ: функция не имеет нулей при $a \in (-\frac{5}{9}; 0)$.

Помогло решение? Оставьте отзыв в комментариях ниже.

Присоединяйтесь к Телеграм-группе @gdz_by_belarus

Присоединиться

Мы подготовили для вас ответ c подробным объяснением домашего задания по алгебре за 9 класс, для упражнения номер 10 расположенного на странице 134 к учебнику 2019 года издания для учащихся школ и гимназий.

Теперь на нашем сайте ГДЗ.ТОП вы всегда легко и бесплатно найдёте условие с правильным ответом на вопрос «Как решить ДЗ» и «Как сделать» задание по алгебре к упражнению №10 (с. 134), авторов: Арефьева (Ирина Глебовна), Пирютко (Ольга Николаевна), учебного пособия издательства Народная асвета.