Номер 1, страница 135 - гдз по алгебре 9 класс учебник Арефьева, Пирютко

Алгебра, 9 класс Учебник, авторы: Арефьева Ирина Глебовна, Пирютко Ольга Николаевна, издательство Народная асвета, Минск, 2019, голубого цвета

Авторы: Арефьева И. Г., Пирютко О. Н.

Тип: Учебник

Издательство: Народная асвета

Год издания: 2019 - 2026

Цвет обложки: голубой, синий с графиком

ISBN: 978-985-03-3077-2

Допущено Министерством образования Республики Беларусь

Популярные ГДЗ в 9 классе

Глава 2. Функции. Готовимся к олимпиадам - номер 1, страница 135.

№1 (с. 135)
Условие. №1 (с. 135)
скриншот условия
Алгебра, 9 класс Учебник, авторы: Арефьева Ирина Глебовна, Пирютко Ольга Николаевна, издательство Народная асвета, Минск, 2019, голубого цвета, страница 135, номер 1, Условие

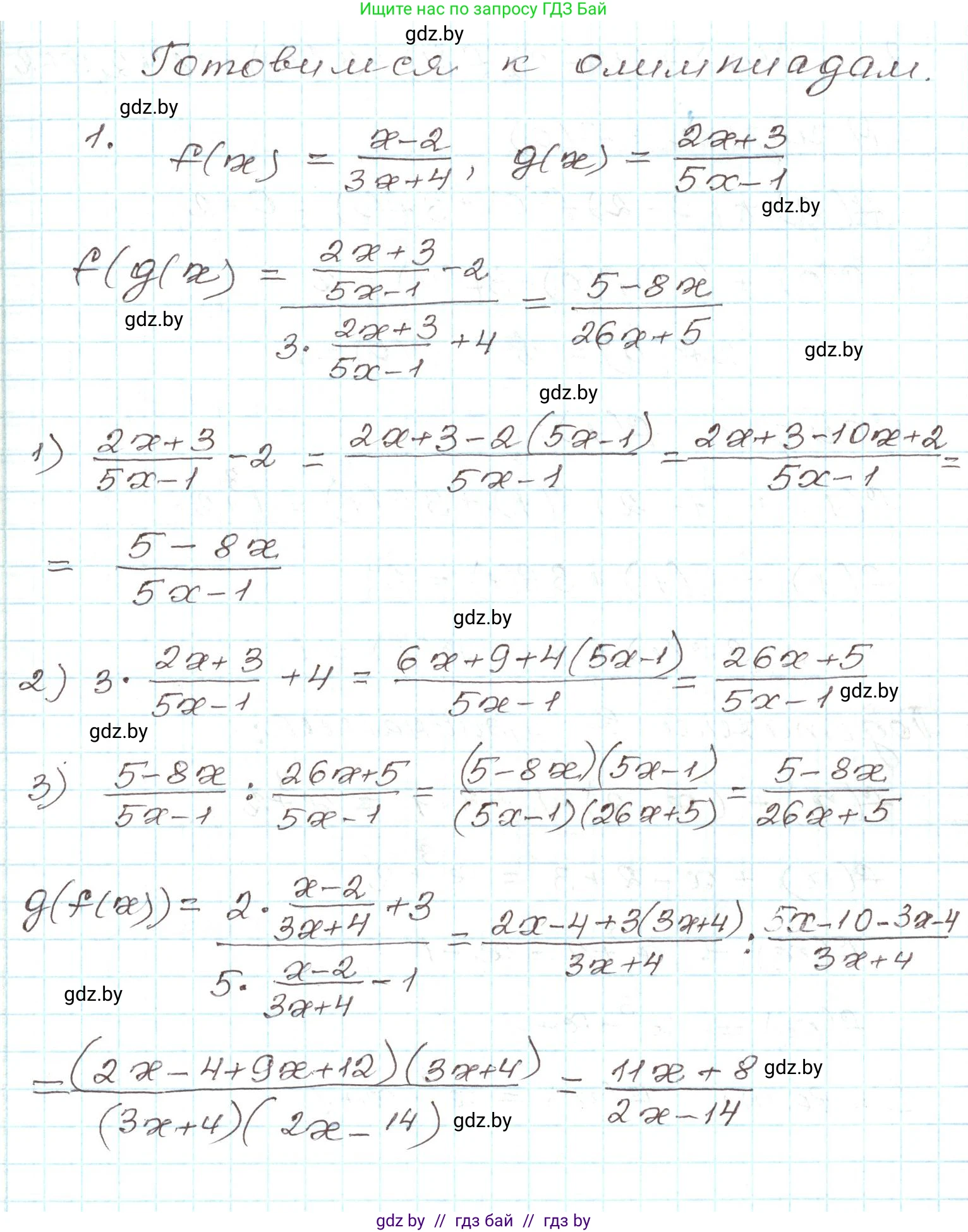
1. Для функций $f(x) = \frac{x-2}{3x+4}$, $g(x) = \frac{2x+3}{5x-1}$ найдите $f(g(x))$; $g(f(x))$.

Решение. №1 (с. 135)
Алгебра, 9 класс Учебник, авторы: Арефьева Ирина Глебовна, Пирютко Ольга Николаевна, издательство Народная асвета, Минск, 2019, голубого цвета, страница 135, номер 1, Решение
Решение 2. №1 (с. 135)

Чтобы найти композицию функций, мы подставляем одну функцию в другую вместо аргумента.

f(g(x))

Для нахождения $f(g(x))$, подставим выражение для $g(x)$ в функцию $f(x)$ вместо $x$:

$f(x) = \frac{x-2}{3x+4}$

$g(x) = \frac{2x+3}{5x-1}$

$f(g(x)) = \frac{g(x)-2}{3g(x)+4} = \frac{\frac{2x+3}{5x-1} - 2}{3 \cdot \frac{2x+3}{5x-1} + 4}$

Упростим числитель и знаменатель, приведя их к общему знаменателю $(5x-1)$:

Числитель: $\frac{2x+3}{5x-1} - 2 = \frac{2x+3 - 2(5x-1)}{5x-1} = \frac{2x+3 - 10x+2}{5x-1} = \frac{-8x+5}{5x-1}$

Знаменатель: $3 \cdot \frac{2x+3}{5x-1} + 4 = \frac{3(2x+3) + 4(5x-1)}{5x-1} = \frac{6x+9 + 20x-4}{5x-1} = \frac{26x+5}{5x-1}$

Теперь разделим упрощенный числитель на знаменатель:

$f(g(x)) = \frac{\frac{-8x+5}{5x-1}}{\frac{26x+5}{5x-1}} = \frac{-8x+5}{26x+5}$

Полученная рациональная дробь $\frac{-8x+5}{26x+5}$ является неправильной, так как степени числителя и знаменателя равны. Выделим целую часть путем деления многочленов:

$\frac{-8x+5}{26x+5} = -\frac{8}{26} + \frac{R}{26x+5} = -\frac{4}{13} + \frac{R}{26x+5}$

Поскольку целая часть $-\frac{4}{13}$ является правильной дробью, а не неправильной, требование о выделении целой части из неправильной дроби к ней неприменимо.

f(g(x)): Ответ: $\frac{-8x+5}{26x+5}$

g(f(x))

Для нахождения $g(f(x))$, подставим выражение для $f(x)$ в функцию $g(x)$ вместо $x$:

$g(f(x)) = \frac{2f(x)+3}{5f(x)-1} = \frac{2 \cdot \frac{x-2}{3x+4} + 3}{5 \cdot \frac{x-2}{3x+4} - 1}$

Упростим числитель и знаменатель, приведя их к общему знаменателю $(3x+4)$:

Числитель: $2 \cdot \frac{x-2}{3x+4} + 3 = \frac{2(x-2) + 3(3x+4)}{3x+4} = \frac{2x-4+9x+12}{3x+4} = \frac{11x+8}{3x+4}$

Знаменатель: $5 \cdot \frac{x-2}{3x+4} - 1 = \frac{5(x-2) - 1(3x+4)}{3x+4} = \frac{5x-10-3x-4}{3x+4} = \frac{2x-14}{3x+4}$

Теперь разделим упрощенный числитель на знаменатель:

$g(f(x)) = \frac{\frac{11x+8}{3x+4}}{\frac{2x-14}{3x+4}} = \frac{11x+8}{2x-14}$

Полученная рациональная дробь является неправильной. Выделим целую часть:

$\frac{11x+8}{2x-14} = \frac{\frac{11}{2}(2x-14) + \frac{11}{2} \cdot 14 + 8}{2x-14} = \frac{\frac{11}{2}(2x-14) + 77+8}{2x-14} = \frac{11}{2} + \frac{85}{2x-14}$

Целая часть равна $\frac{11}{2}$. Это неправильная дробь. Выделим из нее целую часть: $\frac{11}{2} = 5\frac{1}{2}$.

g(f(x)): Ответ: $5\frac{1}{2} + \frac{85}{2x-14}$

Помогло решение? Оставьте отзыв в комментариях ниже.

Присоединяйтесь к Телеграм-группе @gdz_by_belarus

Присоединиться

Мы подготовили для вас ответ c подробным объяснением домашего задания по алгебре за 9 класс, для упражнения номер 1 расположенного на странице 135 к учебнику 2019 года издания для учащихся школ и гимназий.

Теперь на нашем сайте ГДЗ.ТОП вы всегда легко и бесплатно найдёте условие с правильным ответом на вопрос «Как решить ДЗ» и «Как сделать» задание по алгебре к упражнению №1 (с. 135), авторов: Арефьева (Ирина Глебовна), Пирютко (Ольга Николаевна), учебного пособия издательства Народная асвета.