Номер 3.176, страница 194 - гдз по алгебре 9 класс учебник Арефьева, Пирютко

Алгебра, 9 класс Учебник, авторы: Арефьева Ирина Глебовна, Пирютко Ольга Николаевна, издательство Народная асвета, Минск, 2019, голубого цвета

Авторы: Арефьева И. Г., Пирютко О. Н.

Тип: Учебник

Издательство: Народная асвета

Год издания: 2019 - 2026

Цвет обложки: голубой, синий с графиком

ISBN: 978-985-03-3077-2

Допущено Министерством образования Республики Беларусь

Популярные ГДЗ в 9 классе

Глава 3. Дробно-рациональные уравнения и неравенства. Параграф 13. Дробно-рациональные неравенства. Метод интервалов для решения рациональных неравенств - номер 3.176, страница 194.

№3.176 (с. 194)
Условие. №3.176 (с. 194)
скриншот условия
Алгебра, 9 класс Учебник, авторы: Арефьева Ирина Глебовна, Пирютко Ольга Николаевна, издательство Народная асвета, Минск, 2019, голубого цвета, страница 194, номер 3.176, Условие

3.176. Решите неравенство:

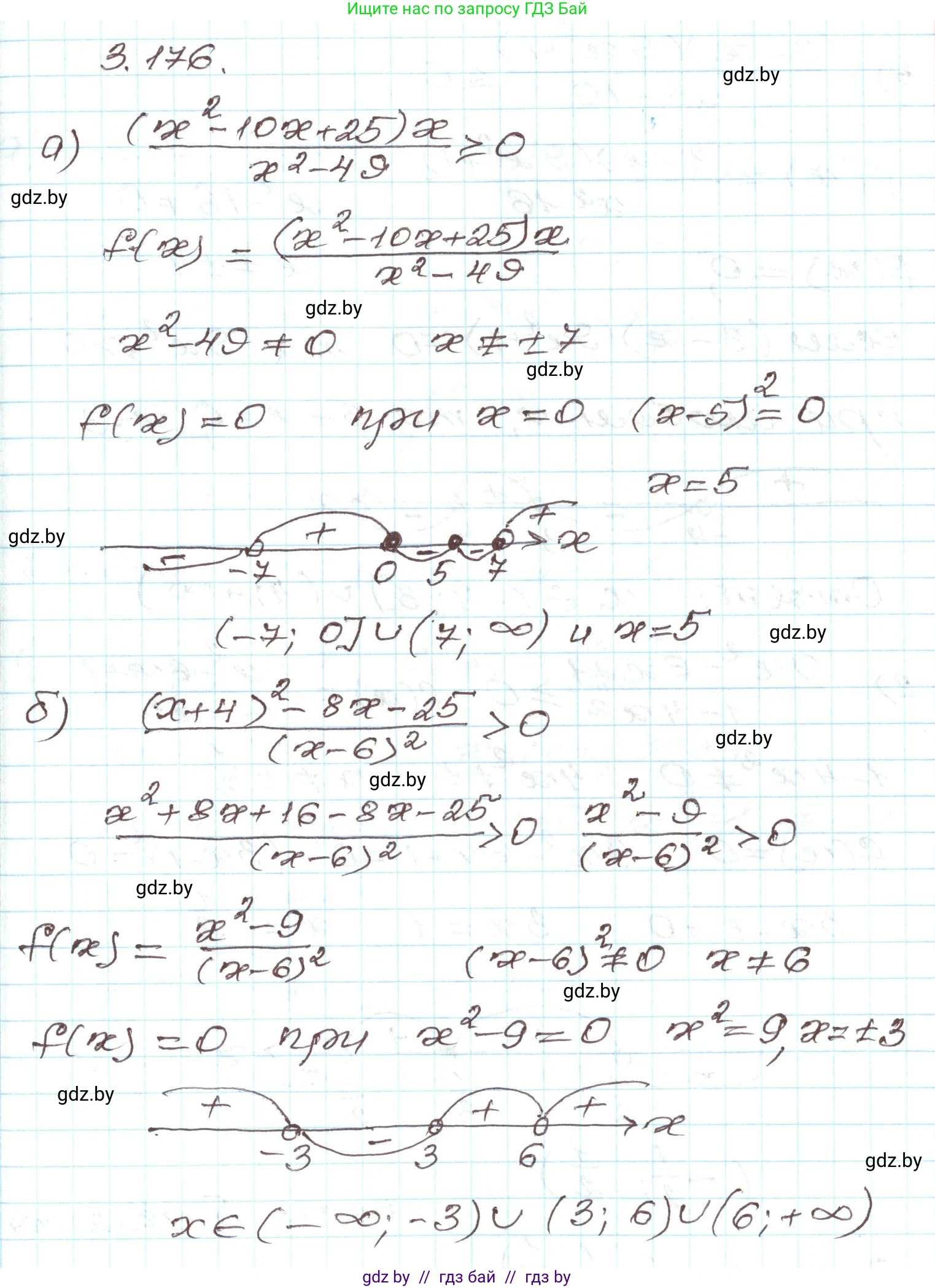
а) $\frac{(x^2 - 10x + 25)x}{x^2 - 49} \ge 0;$

б) $\frac{(x + 4)^2 - 8x - 25}{(x - 6)^2} > 0;$

в) $\frac{(3 - x)(9x^2 + 1)}{x^2 - 16} \le 0;$

г) $\frac{9x^2 - 6x + 1}{1 - 4x^2} \le 0.$

Проверьте, является ли число 5 решением какого-либо из этих неравенств.

Решение. №3.176 (с. 194)
Алгебра, 9 класс Учебник, авторы: Арефьева Ирина Глебовна, Пирютко Ольга Николаевна, издательство Народная асвета, Минск, 2019, голубого цвета, страница 194, номер 3.176, Решение Алгебра, 9 класс Учебник, авторы: Арефьева Ирина Глебовна, Пирютко Ольга Николаевна, издательство Народная асвета, Минск, 2019, голубого цвета, страница 194, номер 3.176, Решение (продолжение 2)
Решение 2. №3.176 (с. 194)

а) Решим неравенство $\frac{(x^2 - 10x + 25)x}{x^2 - 49} \ge 0$.

1. Разложим числитель и знаменатель на множители. Числитель является полным квадратом, а знаменатель — разностью квадратов:
$x^2 - 10x + 25 = (x-5)^2$
$x^2 - 49 = (x-7)(x+7)$
Неравенство принимает вид: $\frac{(x-5)^2 x}{(x-7)(x+7)} \ge 0$.

2. Найдем нули числителя и знаменателя (критические точки) и нанесем их на числовую ось.
Нули числителя: $x=0$, $x=5$. Так как неравенство нестрогое, эти точки являются решениями. Нули знаменателя: $x=-7$, $x=7$. Эти точки не входят в область допустимых значений (ОДЗ).
Точка $x=5$ — корень четной кратности (2), поэтому при переходе через нее знак выражения не меняется.

3. Применим метод интервалов, расставив знаки на полученных промежутках:
- $(7; +\infty)$: $\frac{(+)^2(+)}{(+)(+)} > 0$. Интервал входит в решение.
- $(5; 7)$: $\frac{(+)^2(+)}{(-)(+)} < 0$.
- $(0; 5)$: $\frac{(-)^2(+)}{(-)(+)} < 0$.
- $(-7; 0)$: $\frac{(-)^2(-)}{(-)(-)} > 0$. Интервал входит в решение.
- $(-\infty; -7)$: $\frac{(-)^2(-)}{(-)(+)} < 0$.

4. Объединим найденные интервалы и точки, удовлетворяющие неравенству ($\ge 0$): $(-7, 0] \cup \{5\} \cup (7, \infty)$.

Ответ: $x \in (-7, 0] \cup \{5\} \cup (7, \infty)$.

б) Решим неравенство $\frac{(x+4)^2 - 8x - 25}{(x-6)^2} > 0$.

1. Упростим выражение в числителе:
$(x+4)^2 - 8x - 25 = (x^2 + 8x + 16) - 8x - 25 = x^2 - 9 = (x-3)(x+3)$.

2. Неравенство принимает вид: $\frac{(x-3)(x+3)}{(x-6)^2} > 0$.

3. Знаменатель $(x-6)^2$ положителен при всех $x$, кроме $x=6$. При $x=6$ выражение не определено. Таким образом, ОДЗ: $x \ne 6$.

4. Так как знаменатель всегда положителен на ОДЗ, знак дроби зависит только от знака числителя. Неравенство равносильно системе:
$\begin{cases} (x-3)(x+3) > 0 \\ x \ne 6 \end{cases}$

5. Решая $(x-3)(x+3) > 0$ методом интервалов (корни -3 и 3), получаем $x \in (-\infty, -3) \cup (3, \infty)$.

6. Исключаем из решения точку $x=6$, которая попадает в интервал $(3, \infty)$.

Ответ: $x \in (-\infty, -3) \cup (3, 6) \cup (6, \infty)$.

в) Решим неравенство $\frac{(3-x)(9x^2+1)}{x^2 - 16} \le 0$.

1. Проанализируем множители. Выражение $9x^2+1$ всегда положительно ($9x^2 \ge 0 \implies 9x^2+1 \ge 1$), поэтому его можно отбросить, не меняя знака неравенства.
Знаменатель $x^2-16 = (x-4)(x+4)$ не должен быть равен нулю, т.е. $x \ne \pm 4$.

2. Неравенство упрощается до $\frac{3-x}{(x-4)(x+4)} \le 0$.

3. Для удобства умножим неравенство на -1, изменив знак на противоположный: $\frac{x-3}{(x-4)(x+4)} \ge 0$.

4. Решим методом интервалов. Критические точки: -4, 3, 4. Точка $x=3$ входит в решение, а $x=\pm 4$ — нет.
- $(4; +\infty)$: $\frac{+}{(+)(+)} > 0$. Интервал входит в решение.
- $(3; 4)$: $\frac{+}{(-)(+)} < 0$.
- $(-4; 3)$: $\frac{-}{(-)(+)} > 0$. Интервал входит в решение.
- $(-\infty; -4)$: $\frac{-}{(-)(-)} < 0$.

5. Объединяем интервалы и точку $x=3$.

Ответ: $x \in (-4, 3] \cup (4, \infty)$.

г) Решим неравенство $\frac{9x^2 - 6x + 1}{1 - 4x^2} \le 0$.

1. Разложим числитель и знаменатель на множители:
$9x^2 - 6x + 1 = (3x-1)^2$
$1 - 4x^2 = (1-2x)(1+2x)$
Неравенство принимает вид: $\frac{(3x-1)^2}{(1-2x)(1+2x)} \le 0$.

2. Числитель $(3x-1)^2$ всегда неотрицателен. Неравенство $\le 0$ выполняется, если:
а) Числитель равен 0, а знаменатель не равен 0.
$(3x-1)^2=0 \implies x=1/3$. При этом $1 - 4(1/3)^2 = 5/9 \ne 0$. Значит $x=1/3$ — решение.
б) Числитель положителен, а знаменатель строго отрицателен.
$1-4x^2 < 0$. Решая это неравенство, находим $4x^2 > 1 \implies x^2 > 1/4$, откуда $x \in (-\infty, -1/2) \cup (1/2, \infty)$.

3. Объединяем оба случая.

Ответ: $x \in (-\infty, -1/2) \cup \{1/3\} \cup (1/2, \infty)$.


Проверьте, является ли число 5 решением какого-либо из этих неравенств.

Для этого подставим $x=5$ в каждое из исходных неравенств:

  • а) $\frac{(5^2 - 10 \cdot 5 + 25) \cdot 5}{5^2 - 49} = \frac{(25 - 50 + 25) \cdot 5}{25 - 49} = \frac{0}{-24} = 0$. Неравенство $0 \ge 0$ верно.
  • б) $\frac{(5+4)^2 - 8 \cdot 5 - 25}{(5-6)^2} = \frac{9^2 - 40 - 25}{(-1)^2} = \frac{81 - 65}{1} = 16$. Неравенство $16 > 0$ верно.
  • в) $\frac{(3-5)(9 \cdot 5^2+1)}{5^2 - 16} = \frac{-2(225+1)}{25 - 16} = \frac{-2 \cdot 226}{9} = -\frac{452}{9}$. Неравенство $-\frac{452}{9} \le 0$ верно. Для неправильной дроби $-\frac{452}{9} = -50\frac{2}{9}$ целая часть равна -50.
  • г) $\frac{9 \cdot 5^2 - 6 \cdot 5 + 1}{1 - 4 \cdot 5^2} = \frac{225 - 30 + 1}{1 - 100} = \frac{196}{-99}$. Неравенство $-\frac{196}{99} \le 0$ верно. Для неправильной дроби $-\frac{196}{99} = -1\frac{97}{99}$ целая часть равна -1.

Ответ: Число 5 является решением каждого из данных неравенств.

Помогло решение? Оставьте отзыв в комментариях ниже.

Присоединяйтесь к Телеграм-группе @gdz_by_belarus

Присоединиться

Мы подготовили для вас ответ c подробным объяснением домашего задания по алгебре за 9 класс, для упражнения номер 3.176 расположенного на странице 194 к учебнику 2019 года издания для учащихся школ и гимназий.

Теперь на нашем сайте ГДЗ.ТОП вы всегда легко и бесплатно найдёте условие с правильным ответом на вопрос «Как решить ДЗ» и «Как сделать» задание по алгебре к упражнению №3.176 (с. 194), авторов: Арефьева (Ирина Глебовна), Пирютко (Ольга Николаевна), учебного пособия издательства Народная асвета.