Номер 3.172, страница 193 - гдз по алгебре 9 класс учебник Арефьева, Пирютко

Алгебра, 9 класс Учебник, авторы: Арефьева Ирина Глебовна, Пирютко Ольга Николаевна, издательство Народная асвета, Минск, 2019, голубого цвета

Авторы: Арефьева И. Г., Пирютко О. Н.

Тип: Учебник

Издательство: Народная асвета

Год издания: 2019 - 2026

Цвет обложки: голубой, синий с графиком

ISBN: 978-985-03-3077-2

Допущено Министерством образования Республики Беларусь

Популярные ГДЗ в 9 классе

Глава 3. Дробно-рациональные уравнения и неравенства. Параграф 13. Дробно-рациональные неравенства. Метод интервалов для решения рациональных неравенств - номер 3.172, страница 193.

№3.172 (с. 193)
Условие. №3.172 (с. 193)
скриншот условия
Алгебра, 9 класс Учебник, авторы: Арефьева Ирина Глебовна, Пирютко Ольга Николаевна, издательство Народная асвета, Минск, 2019, голубого цвета, страница 193, номер 3.172, Условие Алгебра, 9 класс Учебник, авторы: Арефьева Ирина Глебовна, Пирютко Ольга Николаевна, издательство Народная асвета, Минск, 2019, голубого цвета, страница 193, номер 3.172, Условие (продолжение 2)

3.172. Решите неравенство, используя алгоритм решения неравенств методом интервалов:

a) $ \frac{(x-5)^2}{x-3} \le 0; $

б) $ \frac{x-7}{(x-12)^2} \ge 0; $

в) $ \frac{6-x}{(x-5)(x-2)^4} < 0; $

г) $ \frac{(x+5)^6}{(1-4x)(x+4)} \ge 0. $

Решение. №3.172 (с. 193)
Алгебра, 9 класс Учебник, авторы: Арефьева Ирина Глебовна, Пирютко Ольга Николаевна, издательство Народная асвета, Минск, 2019, голубого цвета, страница 193, номер 3.172, Решение Алгебра, 9 класс Учебник, авторы: Арефьева Ирина Глебовна, Пирютко Ольга Николаевна, издательство Народная асвета, Минск, 2019, голубого цвета, страница 193, номер 3.172, Решение (продолжение 2)
Решение 2. №3.172 (с. 193)

а) Решим неравенство $\frac{(x-5)^2}{x-3} \le 0$ методом интервалов.

  1. Найдем область допустимых значений (ОДЗ). Знаменатель не может быть равен нулю:
    $x - 3 \ne 0 \Rightarrow x \ne 3$.
  2. Найдем нули функции, то есть точки, в которых числитель равен нулю:
    $(x-5)^2 = 0 \Rightarrow x - 5 = 0 \Rightarrow x = 5$.
  3. Отметим на числовой оси точки, в которых числитель или знаменатель обращаются в ноль. Это точки $x=3$ и $x=5$. Точку $x=3$ (корень знаменателя) изображаем выколотой (пустой кружок), так как на ноль делить нельзя. Точку $x=5$ (корень числителя) изображаем закрашенной (сплошной кружок), так как неравенство нестрогое ($\le$) и допускает равенство нулю.
  4. Определим знаки выражения на интервалах $(-\infty, 3)$, $(3, 5)$ и $(5, \infty)$.
    Возьмем пробную точку из крайнего правого интервала, например $x=10$:
    $\frac{(10-5)^2}{10-3} = \frac{25}{7} > 0$. Ставим знак "+".
    При переходе через корень $x=5$ (множитель $(x-5)^2$ в четной степени), знак не меняется. Значит, на интервале $(3, 5)$ знак тоже "+".
    При переходе через корень $x=3$ (множитель $(x-3)^1$ в нечетной степени), знак меняется на противоположный. Значит, на интервале $(-\infty, 3)$ знак "-".
    Получаем следующую расстановку знаков: $(-\infty, 3) \rightarrow (-)$; $(3, 5) \rightarrow (+)$; $(5, \infty) \rightarrow (+)$.
  5. Нам нужны значения $x$, при которых выражение меньше или равно нулю ($\le 0$). Это соответствует интервалу со знаком "минус" и точкам, где выражение равно нулю.
    Выражение отрицательно на интервале $(-\infty, 3)$.
    Выражение равно нулю в точке $x=5$.

Объединяя полученные результаты, получаем решение неравенства.

Ответ: $x \in (-\infty, 3) \cup \{5\}$.

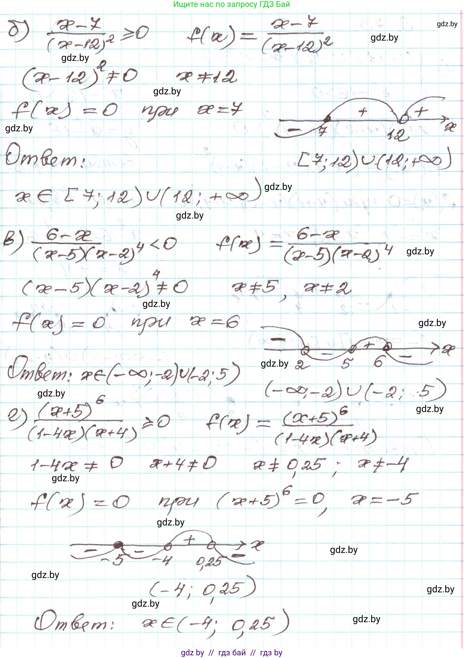
б) Решим неравенство $\frac{x-7}{(x-12)^2} \ge 0$ методом интервалов.

  1. ОДЗ: знаменатель не равен нулю.
    $(x-12)^2 \ne 0 \Rightarrow x \ne 12$.
  2. Нули числителя:
    $x-7 = 0 \Rightarrow x = 7$.
  3. Отметим на числовой оси точки $x=7$ и $x=12$. Точка $x=12$ выколота, а точка $x=7$ закрашена (неравенство нестрогое $\ge$).
  4. Определим знаки на интервалах $(-\infty, 7)$, $(7, 12)$ и $(12, \infty)$.
    Пробная точка $x=20$: $\frac{20-7}{(20-12)^2} = \frac{13}{64} > 0$. На $(12, \infty)$ знак "+".
    При переходе через $x=12$ (корень четной кратности 2), знак не меняется. На $(7, 12)$ знак "+".
    При переходе через $x=7$ (корень нечетной кратности 1), знак меняется. На $(-\infty, 7)$ знак "-".
    Расстановка знаков: $(-\infty, 7) \rightarrow (-)$; $(7, 12) \rightarrow (+)$; $(12, \infty) \rightarrow (+)$.
  5. Нам нужны значения $x$, при которых выражение больше или равно нулю ($\ge 0$). Это интервалы со знаком "плюс" и точки, где выражение равно нулю.
    Выражение положительно на интервалах $(7, 12)$ и $(12, \infty)$.
    Выражение равно нулю в точке $x=7$.

Объединяя, получаем $x \in [7, 12) \cup (12, \infty)$.

Ответ: $x \in [7, 12) \cup (12, \infty)$.

в) Решим неравенство $\frac{6-x}{(x-5)(x-2)^4} < 0$.

  1. Для удобства приведем неравенство к стандартному виду, где коэффициенты при $x$ положительны. Вынесем "-1" из числителя: $\frac{-(x-6)}{(x-5)(x-2)^4} < 0$.
    Умножим обе части на -1, изменив знак неравенства на противоположный: $\frac{x-6}{(x-5)(x-2)^4} > 0$.
  2. ОДЗ: $(x-5)(x-2)^4 \ne 0 \Rightarrow x \ne 5$ и $x \ne 2$.
  3. Нули числителя: $x-6 = 0 \Rightarrow x=6$.
  4. Отметим на числовой оси точки $x=2, x=5, x=6$. Все точки выколоты, так как неравенство строгое ($>$).
  5. Определим знаки на интервалах $(-\infty, 2)$, $(2, 5)$, $(5, 6)$ и $(6, \infty)$.
    Пробная точка $x=10$: $\frac{10-6}{(10-5)(10-2)^4} > 0$. На $(6, \infty)$ знак "+".
    При переходе через $x=6$ (кратность 1), знак меняется. На $(5, 6)$ знак "-".
    При переходе через $x=5$ (кратность 1), знак меняется. На $(2, 5)$ знак "+".
    При переходе через $x=2$ (кратность 4, четная), знак не меняется. На $(-\infty, 2)$ знак "+".
    Расстановка знаков: $(-\infty, 2) \rightarrow (+)$; $(2, 5) \rightarrow (+)$; $(5, 6) \rightarrow (-)$; $(6, \infty) \rightarrow (+)$.
  6. Нам нужны значения $x$, при которых выражение строго больше нуля ($> 0$). Это интервалы со знаком "плюс".
    Это интервалы $(-\infty, 2)$, $(2, 5)$ и $(6, \infty)$.
Ответ: $x \in (-\infty, 2) \cup (2, 5) \cup (6, \infty)$.

г) Решим неравенство $\frac{(x+5)^6}{(1-4x)(x+4)} \ge 0$.

  1. Приведем множитель $(1-4x)$ к стандартному виду: $1-4x = -4(x-\frac{1}{4})$.
    Неравенство примет вид: $\frac{(x+5)^6}{-4(x-\frac{1}{4})(x+4)} \ge 0$.
    Разделим обе части на -4 и сменим знак неравенства: $\frac{(x+5)^6}{(x-\frac{1}{4})(x+4)} \le 0$.
  2. ОДЗ: $(x-\frac{1}{4})(x+4) \ne 0 \Rightarrow x \ne \frac{1}{4}$ и $x \ne -4$.
  3. Нули числителя: $(x+5)^6=0 \Rightarrow x=-5$.
  4. Отметим на числовой оси точки $x=-5, x=-4, x=\frac{1}{4}$.
    Точки $x=-4$ и $x=\frac{1}{4}$ выколоты (корни знаменателя).
    Точка $x=-5$ закрашена (корень числителя, неравенство нестрогое).
  5. Определим знаки на интервалах $(-\infty, -5)$, $(-5, -4)$, $(-4, \frac{1}{4})$ и $(\frac{1}{4}, \infty)$.
    Пробная точка $x=1$: $\frac{(1+5)^6}{(1-\frac{1}{4})(1+4)} > 0$. На $(\frac{1}{4}, \infty)$ знак "+".
    При переходе через $x=\frac{1}{4}$ (кратность 1), знак меняется. На $(-4, \frac{1}{4})$ знак "-".
    При переходе через $x=-4$ (кратность 1), знак меняется. На $(-5, -4)$ знак "+".
    При переходе через $x=-5$ (кратность 6, четная), знак не меняется. На $(-\infty, -5)$ знак "+".
    Расстановка знаков: $(-\infty, -5) \rightarrow (+)$; $(-5, -4) \rightarrow (+)$; $(-4, \frac{1}{4}) \rightarrow (-)$; $(\frac{1}{4}, \infty) \rightarrow (+)$.
  6. Нам нужны значения $x$, при которых выражение меньше или равно нулю ($\le 0$). Это интервал со знаком "минус" и точка, где выражение равно нулю.
    Интервал: $(-4, \frac{1}{4})$.
    Равенство нулю: $x=-5$.

Объединяем результаты.

Ответ: $x \in \{-5\} \cup (-4, \frac{1}{4})$.

Помогло решение? Оставьте отзыв в комментариях ниже.

Присоединяйтесь к Телеграм-группе @gdz_by_belarus

Присоединиться

Мы подготовили для вас ответ c подробным объяснением домашего задания по алгебре за 9 класс, для упражнения номер 3.172 расположенного на странице 193 к учебнику 2019 года издания для учащихся школ и гимназий.

Теперь на нашем сайте ГДЗ.ТОП вы всегда легко и бесплатно найдёте условие с правильным ответом на вопрос «Как решить ДЗ» и «Как сделать» задание по алгебре к упражнению №3.172 (с. 193), авторов: Арефьева (Ирина Глебовна), Пирютко (Ольга Николаевна), учебного пособия издательства Народная асвета.