Номер 3.166, страница 193 - гдз по алгебре 9 класс учебник Арефьева, Пирютко

Алгебра, 9 класс Учебник, авторы: Арефьева Ирина Глебовна, Пирютко Ольга Николаевна, издательство Народная асвета, Минск, 2019, голубого цвета

Авторы: Арефьева И. Г., Пирютко О. Н.

Тип: Учебник

Издательство: Народная асвета

Год издания: 2019 - 2026

Цвет обложки: голубой, синий с графиком

ISBN: 978-985-03-3077-2

Допущено Министерством образования Республики Беларусь

Популярные ГДЗ в 9 классе

Глава 3. Дробно-рациональные уравнения и неравенства. Параграф 13. Дробно-рациональные неравенства. Метод интервалов для решения рациональных неравенств - номер 3.166, страница 193.

№3.166 (с. 193)
Условие. №3.166 (с. 193)
скриншот условия
Алгебра, 9 класс Учебник, авторы: Арефьева Ирина Глебовна, Пирютко Ольга Николаевна, издательство Народная асвета, Минск, 2019, голубого цвета, страница 193, номер 3.166, Условие

3.166. Решите неравенство, используя алгоритм решения неравенства методом интервалов:

а) $\frac{(x+1)(x-6)}{x-2} < 0$

б) $\frac{3x+8}{(x-3)(x+5)} > 0$

в) $\frac{x(7x-3)}{x+6} \le 0$

г) $\frac{5x(x-4)}{(2x+3)(x-7)} \ge 0$

д) $\frac{(5-x)(x+4)}{x-3} > 0$

е) $\frac{(x-7)(5x+2)}{3-2x} < 0$

ж) $\frac{x(3-x)}{(1-8x)(x+12)} \ge 0$

з) $\frac{(8-3x)(5-x)}{(x-4)(9-2x)} \le 0.$

Решение. №3.166 (с. 193)
Алгебра, 9 класс Учебник, авторы: Арефьева Ирина Глебовна, Пирютко Ольга Николаевна, издательство Народная асвета, Минск, 2019, голубого цвета, страница 193, номер 3.166, Решение Алгебра, 9 класс Учебник, авторы: Арефьева Ирина Глебовна, Пирютко Ольга Николаевна, издательство Народная асвета, Минск, 2019, голубого цвета, страница 193, номер 3.166, Решение (продолжение 2)
Решение 2. №3.166 (с. 193)

Для решения каждого неравенства используется метод интервалов.

а) Решим неравенство $\frac{(x+1)(x-6)}{x-2} < 0$.

  1. Найдем нули числителя и знаменателя. Это точки, в которых выражение может поменять знак.
    • Нули числителя: $x+1=0 \Rightarrow x=-1$; $x-6=0 \Rightarrow x=6$.
    • Нуль знаменателя: $x-2=0 \Rightarrow x=2$. (Знаменатель не может быть равен нулю, поэтому эта точка всегда будет "выколотой").
  2. Отметим найденные точки $(-1, 2, 6)$ на числовой оси. Так как неравенство строгое ($<0$), все точки выколотые.
  3. Точки делят ось на четыре интервала: $(-\infty, -1)$, $(-1, 2)$, $(2, 6)$, $(6, \infty)$. Определим знак выражения на каждом интервале. Для этого возьмем пробную точку из крайнего правого интервала, например $x=10$:
    $\frac{(10+1)(10-6)}{10-2} = \frac{11 \cdot 4}{8} > 0$.
    Поскольку все множители в первой степени, знаки в интервалах чередуются. Расставим знаки, двигаясь справа налево: `+`, `-`, `+`, `-`.
    Числовая ось для примера а
  4. Нам нужны интервалы, где выражение меньше нуля (со знаком "-"). Это $(-\infty, -1)$ и $(2, 6)$.
Ответ: $x \in (-\infty, -1) \cup (2, 6)$

б) Решим неравенство $\frac{3x+8}{(x-3)(x+5)} > 0$.

  1. Нули числителя и знаменателя:
    • Числитель: $3x+8=0 \Rightarrow x=-8/3$.
    • Знаменатель: $x-3=0 \Rightarrow x=3$; $x+5=0 \Rightarrow x=-5$.
  2. Отмечаем точки $(-5, -8/3, 3)$ на числовой оси. Все точки выколотые, так как неравенство строгое ($>0$).
  3. Определяем знаки. При $x=10$: $\frac{3(10)+8}{(10-3)(10+5)} > 0$. Знаки чередуются: `+`, `-`, `+`, `-`.
    Числовая ось для примера б
  4. Нам нужны интервалы со знаком "+". Это $(-5, -8/3)$ и $(3, \infty)$.
Ответ: $x \in (-5, -2\frac{2}{3}) \cup (3, \infty)$

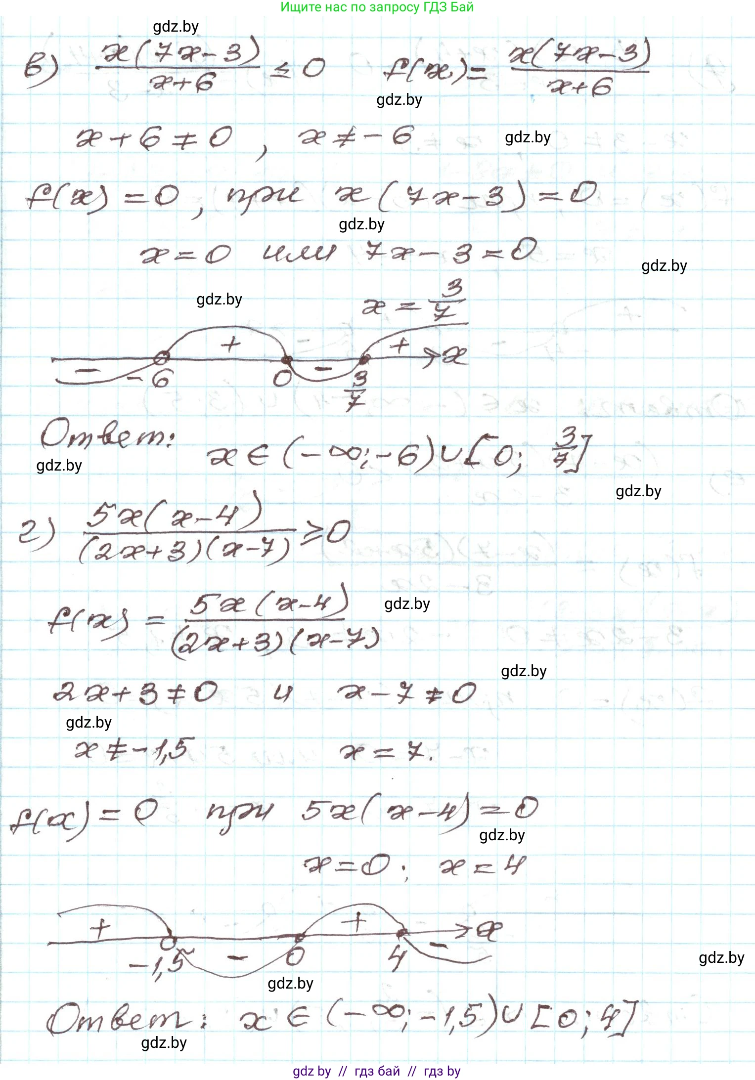
в) Решим неравенство $\frac{x(7x-3)}{x+6} \le 0$.

  1. Нули числителя и знаменателя:
    • Числитель: $x=0$; $7x-3=0 \Rightarrow x=3/7$.
    • Знаменатель: $x+6=0 \Rightarrow x=-6$.
  2. Отмечаем точки на оси. Нули числителя ($0, 3/7$) — закрашенные (т.к. неравенство $\le$), нуль знаменателя ($-6$) — выколотый.
  3. Определяем знаки. При $x=1$: $\frac{1(7-3)}{1+6} > 0$. Знаки чередуются: `+`, `-`, `+`, `-`.
    Числовая ось для примера в
  4. Нам нужны интервалы со знаком "-" и закрашенные точки. Это $(-\infty, -6) \cup [0, 3/7]$.
Ответ: $x \in (-\infty, -6) \cup [0, \frac{3}{7}]$

г) Решим неравенство $\frac{5x(x-4)}{(2x+3)(x-7)} \ge 0$.

  1. Нули числителя и знаменателя:
    • Числитель: $x=0$; $x-4=0 \Rightarrow x=4$.
    • Знаменатель: $2x+3=0 \Rightarrow x=-3/2$; $x-7=0 \Rightarrow x=7$.
  2. Точки $0, 4$ — закрашенные; точки $-3/2, 7$ — выколотые.
  3. Определяем знаки. При $x=10$ выражение положительно. Знаки чередуются.
    Числовая ось для примера г
  4. Нам нужны интервалы со знаком "+". Это $(-\infty, -3/2) \cup [0, 4] \cup (7, \infty)$.
Ответ: $x \in (-\infty, -1\frac{1}{2}) \cup [0, 4] \cup (7, \infty)$

д) Решим неравенство $\frac{(5-x)(x+4)}{x-3} > 0$.

  1. Преобразуем множитель $(5-x)$ к виду $(x-c)$, чтобы коэффициент при $x$ был положительным: $5-x = -(x-5)$.
    $\frac{-(x-5)(x+4)}{x-3} > 0$.
    Умножим неравенство на -1 и изменим знак на противоположный:
    $\frac{(x-5)(x+4)}{x-3} < 0$.
  2. Нули: $x=5, x=-4, x=3$. Все точки выколотые (неравенство строгое).
  3. Определяем знаки для преобразованного неравенства. При $x=10$ выражение $\frac{(10-5)(10+4)}{10-3} > 0$. Знаки чередуются.
    Числовая ось для примера д
  4. Для $\frac{(x-5)(x+4)}{x-3} < 0$ ищем интервалы со знаком "-".
Ответ: $x \in (-\infty, -4) \cup (3, 5)$

е) Решим неравенство $\frac{(x-7)(5x+2)}{3-2x} < 0$.

  1. Преобразуем знаменатель: $3-2x = -(2x-3)$.
    $\frac{(x-7)(5x+2)}{-(2x-3)} < 0$.
    Умножим на -1 и сменим знак: $\frac{(x-7)(5x+2)}{2x-3} > 0$.
  2. Нули: $x=7, x=-2/5, x=3/2$. Все точки выколотые.
  3. Определяем знаки для преобразованного неравенства. При $x=10$ выражение положительно. Знаки чередуются.
    Числовая ось для примера е
  4. Ищем интервалы со знаком "+".
Ответ: $x \in (-\frac{2}{5}, 1\frac{1}{2}) \cup (7, \infty)$

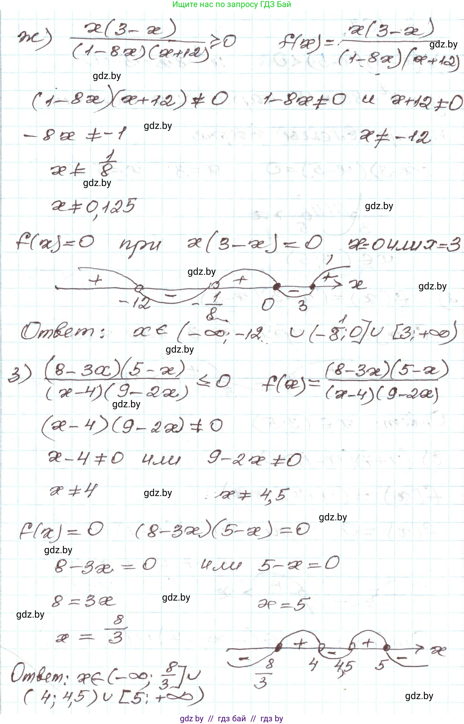
ж) Решим неравенство $\frac{x(3-x)}{(1-8x)(x+12)} \ge 0$.

  1. Преобразуем множители $3-x=-(x-3)$ и $1-8x=-(8x-1)$:
    $\frac{x(-(x-3))}{(-(8x-1))(x+12)} \ge 0 \Rightarrow \frac{x(x-3)}{(8x-1)(x+12)} \ge 0$.
  2. Нули числителя: $x=0, x=3$ (закрашенные).
    Нули знаменателя: $x=1/8, x=-12$ (выколотые).
  3. Определяем знаки. При $x=10$ выражение положительно. Знаки чередуются.
    Числовая ось для примера ж
  4. Ищем интервалы со знаком "+".
Ответ: $x \in (-\infty, -12) \cup [0, \frac{1}{8}) \cup [3, \infty)$

з) Решим неравенство $\frac{(8-3x)(5-x)}{(x-4)(9-2x)} \le 0$.

  1. Преобразуем множители: $8-3x=-(3x-8)$, $5-x=-(x-5)$, $9-2x=-(2x-9)$.
    $\frac{(-(3x-8))(-(x-5))}{(x-4)(-(2x-9))} \le 0 \Rightarrow \frac{(3x-8)(x-5)}{-(x-4)(2x-9)} \le 0$.
    Умножим на -1 и сменим знак: $\frac{(3x-8)(x-5)}{(x-4)(2x-9)} \ge 0$.
  2. Нули числителя: $x=8/3, x=5$ (закрашенные).
    Нули знаменателя: $x=4, x=9/2$ (выколотые).
  3. Точки на оси: $8/3, 4, 9/2, 5$. Определяем знаки для преобразованного неравенства. При $x=10$ выражение положительно. Знаки чередуются.
    Числовая ось для примера з
  4. Ищем интервалы со знаком "+".
Ответ: $x \in (-\infty, 2\frac{2}{3}] \cup (4, 4\frac{1}{2}) \cup [5, \infty)$

Помогло решение? Оставьте отзыв в комментариях ниже.

Присоединяйтесь к Телеграм-группе @gdz_by_belarus

Присоединиться

Мы подготовили для вас ответ c подробным объяснением домашего задания по алгебре за 9 класс, для упражнения номер 3.166 расположенного на странице 193 к учебнику 2019 года издания для учащихся школ и гимназий.

Теперь на нашем сайте ГДЗ.ТОП вы всегда легко и бесплатно найдёте условие с правильным ответом на вопрос «Как решить ДЗ» и «Как сделать» задание по алгебре к упражнению №3.166 (с. 193), авторов: Арефьева (Ирина Глебовна), Пирютко (Ольга Николаевна), учебного пособия издательства Народная асвета.