Номер 3.168, страница 193 - гдз по алгебре 9 класс учебник Арефьева, Пирютко

Алгебра, 9 класс Учебник, авторы: Арефьева Ирина Глебовна, Пирютко Ольга Николаевна, издательство Народная асвета, Минск, 2019, голубого цвета

Авторы: Арефьева И. Г., Пирютко О. Н.

Тип: Учебник

Издательство: Народная асвета

Год издания: 2019 - 2026

Цвет обложки: голубой, синий с графиком

ISBN: 978-985-03-3077-2

Допущено Министерством образования Республики Беларусь

Популярные ГДЗ в 9 классе

Глава 3. Дробно-рациональные уравнения и неравенства. Параграф 13. Дробно-рациональные неравенства. Метод интервалов для решения рациональных неравенств - номер 3.168, страница 193.

№3.168 (с. 193)
Условие. №3.168 (с. 193)
скриншот условия
Алгебра, 9 класс Учебник, авторы: Арефьева Ирина Глебовна, Пирютко Ольга Николаевна, издательство Народная асвета, Минск, 2019, голубого цвета, страница 193, номер 3.168, Условие

3.168. Решите систему неравенств:

а) $\begin{cases} (x - 1)(x + 2)(x - 3) > 0; \\ 2x - 5 \le 0; \end{cases}$

б) $\begin{cases} \frac{x - 5}{x} \le 0; \\ (x - 2)(x - 3) > 0; \end{cases}$

в) $\begin{cases} \frac{x + 5}{x - 3} < 0; \\ \frac{x + 9}{x - 8} > 0; \end{cases}$

г) $\begin{cases} x(x + 3)(x - 5) > 0; \\ (x + 2)(x - 6) \le 0. \end{cases}$

Решение. №3.168 (с. 193)
Алгебра, 9 класс Учебник, авторы: Арефьева Ирина Глебовна, Пирютко Ольга Николаевна, издательство Народная асвета, Минск, 2019, голубого цвета, страница 193, номер 3.168, Решение Алгебра, 9 класс Учебник, авторы: Арефьева Ирина Глебовна, Пирютко Ольга Николаевна, издательство Народная асвета, Минск, 2019, голубого цвета, страница 193, номер 3.168, Решение (продолжение 2)
Решение 2. №3.168 (с. 193)

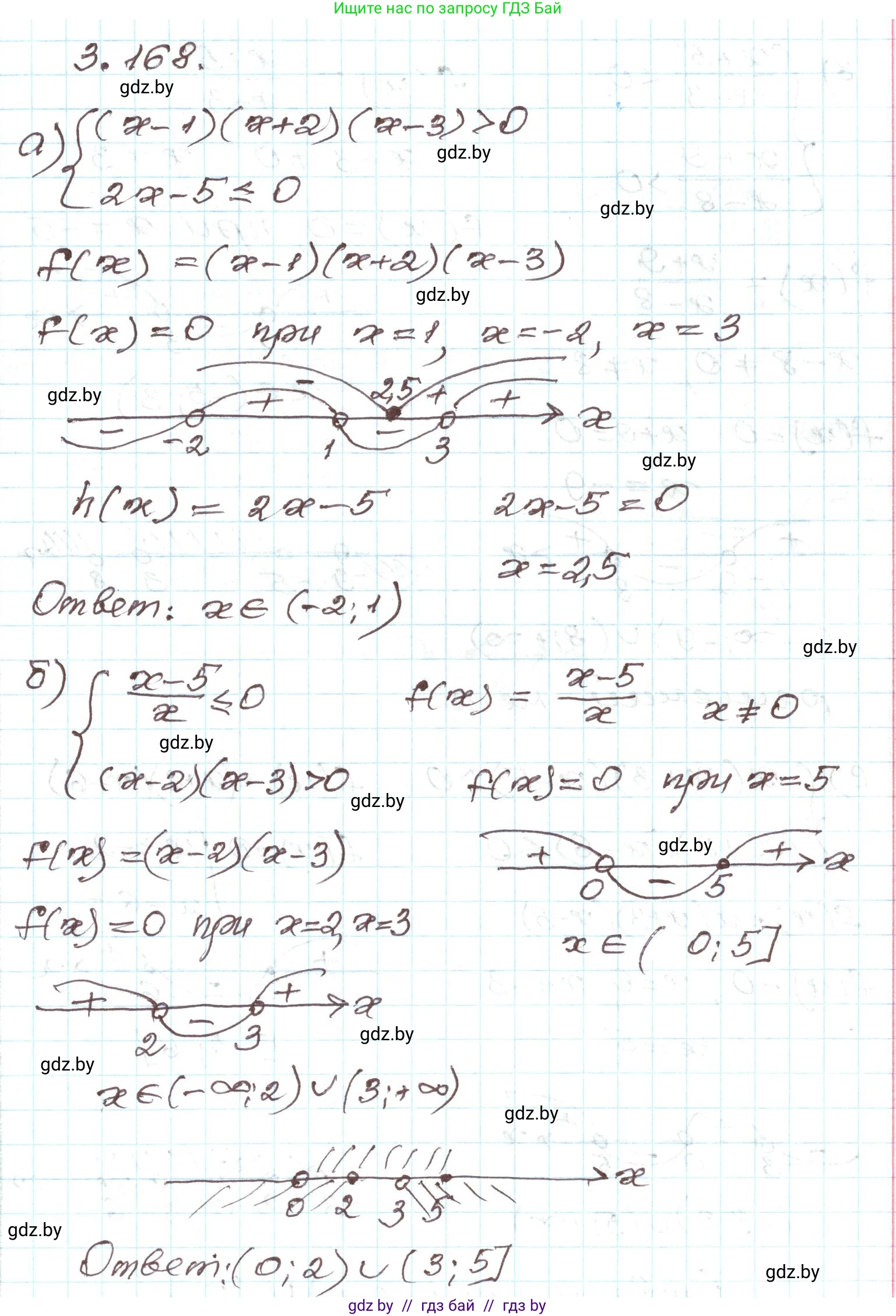
а) $$ \begin{cases} (x-1)(x+2)(x-3)>0, \\ 2x-5 \le 0; \end{cases} $$ Решим каждое неравенство системы по отдельности.

1) Решим первое неравенство: $(x-1)(x+2)(x-3)>0$.
Используем метод интервалов. Найдем корни выражения, приравняв каждый множитель к нулю: $x=1$, $x=-2$, $x=3$.
Отметим эти точки на числовой оси. Они разделяют ось на четыре интервала: $(-\infty, -2)$, $(-2, 1)$, $(1, 3)$ и $(3, \infty)$.
Определим знак выражения $f(x)=(x-1)(x+2)(x-3)$ в каждом интервале:

  • При $x \in (3, \infty)$, например $x=4$: $f(4)=(+)(+)(+)>0$.
  • При $x \in (1, 3)$, например $x=2$: $f(2)=(+)(+)(-)<0$.
  • При $x \in (-2, 1)$, например $x=0$: $f(0)=(-)(+)(-)>0$.
  • При $x \in (-\infty, -2)$, например $x=-3$: $f(-3)=(-)(-)(-)<0$.

Поскольку неравенство строгое ($>0$), выбираем интервалы со знаком "+".
Решение первого неравенства: $x \in (-2, 1) \cup (3, \infty)$.

2) Решим второе неравенство: $2x-5 \le 0$.
$2x \le 5$
$x \le \frac{5}{2}$
$x \le \mathbf{2}\frac{1}{2}$
Решение второго неравенства: $x \in (-\infty, \mathbf{2}\frac{1}{2}]$.

3) Найдем пересечение полученных решений.
Решение системы — это пересечение множеств $x \in (-2, 1) \cup (3, \infty)$ и $x \in (-\infty, \mathbf{2}\frac{1}{2}]$.
Изобразив множества на числовой оси, видим, что их пересечением является интервал $(-2, 1)$.

Ответ: $(-2, 1)$.


б) $$ \begin{cases} \frac{x-5}{x} \le 0, \\ (x-2)(x-3) > 0; \end{cases} $$ Решим каждое неравенство системы по отдельности.

1) Решим первое неравенство: $\frac{x-5}{x} \le 0$.
Используем метод интервалов. Нуль числителя: $x=5$ (включается в решение). Нуль знаменателя: $x=0$ (исключается).
Точки $0$ и $5$ делят числовую ось на интервалы: $(-\infty, 0)$, $(0, 5]$, $[5, \infty)$.
Определим знаки дроби в каждом интервале:

  • При $x \in (5, \infty)$: $\frac{+}{+} > 0$.
  • При $x \in (0, 5)$: $\frac{-}{+} < 0$.
  • При $x \in (-\infty, 0)$: $\frac{-}{-} > 0$.

Выбираем интервал, где значение дроби меньше или равно нулю.
Решение первого неравенства: $x \in (0, 5]$.

2) Решим второе неравенство: $(x-2)(x-3) > 0$.
Корни выражения: $x=2$ и $x=3$. График функции $y=(x-2)(x-3)$ — парабола, ветви которой направлены вверх. Значения функции положительны при $x$ вне отрезка между корнями.
Решение второго неравенства: $x \in (-\infty, 2) \cup (3, \infty)$.

3) Найдем пересечение решений: $x \in (0, 5] \cap ((-\infty, 2) \cup (3, \infty))$.
Пересечение $(0, 5]$ с $(-\infty, 2)$ дает интервал $(0, 2)$.
Пересечение $(0, 5]$ с $(3, \infty)$ дает полуинтервал $(3, 5]$.
Объединяя эти результаты, получаем решение системы.

Ответ: $(0, 2) \cup (3, 5]$.


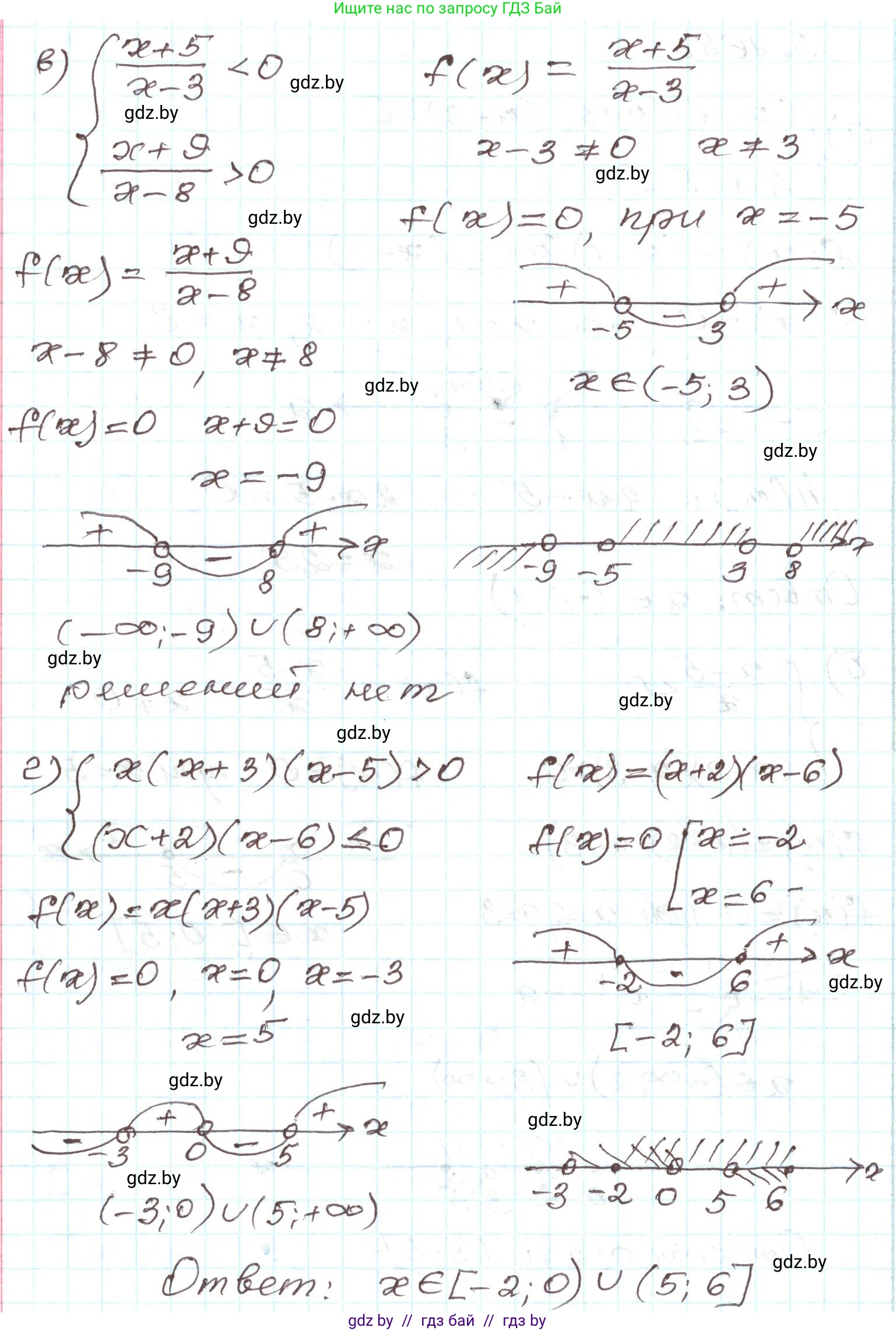
в) $$ \begin{cases} \frac{x+5}{x-3} < 0, \\ \frac{x+9}{x-8} > 0; \end{cases} $$ Решим каждое неравенство системы по отдельности.

1) Решим первое неравенство: $\frac{x+5}{x-3} < 0$.
Используем метод интервалов. Нуль числителя: $x=-5$. Нуль знаменателя: $x=3$. Обе точки исключены, так как неравенство строгое.
Знаки дроби на интервалах $(-\infty, -5)$, $(-5, 3)$, $(3, \infty)$ чередуются: +, -, +.
Выбираем интервал со знаком "-".
Решение первого неравенства: $x \in (-5, 3)$.

2) Решим второе неравенство: $\frac{x+9}{x-8} > 0$.
Используем метод интервалов. Нуль числителя: $x=-9$. Нуль знаменателя: $x=8$. Обе точки исключены.
Знаки дроби на интервалах $(-\infty, -9)$, $(-9, 8)$, $(8, \infty)$ чередуются: +, -, +.
Выбираем интервалы со знаком "+".
Решение второго неравенства: $x \in (-\infty, -9) \cup (8, \infty)$.

3) Найдем пересечение решений: $x \in (-5, 3) \cap ((-\infty, -9) \cup (8, \infty))$.
Интервал $(-5, 3)$ не имеет общих точек с множеством $(-\infty, -9) \cup (8, \infty)$.
Следовательно, пересечение является пустым множеством.

Ответ: $\emptyset$.


г) $$ \begin{cases} x(x+3)(x-5) > 0, \\ (x+2)(x-6) \le 0. \end{cases} $$ Решим каждое неравенство системы по отдельности.

1) Решим первое неравенство: $x(x+3)(x-5) > 0$.
Используем метод интервалов. Корни: $x=0$, $x=-3$, $x=5$. Точки исключены.
Знаки выражения на интервалах $(-\infty, -3)$, $(-3, 0)$, $(0, 5)$, $(5, \infty)$ чередуются: -, +, -, +.
Выбираем интервалы со знаком "+".
Решение первого неравенства: $x \in (-3, 0) \cup (5, \infty)$.

2) Решим второе неравенство: $(x+2)(x-6) \le 0$.
Корни: $x=-2$, $x=6$. Точки включены. График $y=(x+2)(x-6)$ — парабола с ветвями вверх. Значения функции неположительны на отрезке между корнями.
Решение второго неравенства: $x \in [-2, 6]$.

3) Найдем пересечение решений: $x \in ((-3, 0) \cup (5, \infty)) \cap [-2, 6]$.
Пересечение $(-3, 0)$ с $[-2, 6]$ дает $[-2, 0)$.
Пересечение $(5, \infty)$ с $[-2, 6]$ дает $(5, 6]$.
Объединяя эти результаты, получаем решение системы.

Ответ: $[-2, 0) \cup (5, 6]$.

Помогло решение? Оставьте отзыв в комментариях ниже.

Присоединяйтесь к Телеграм-группе @gdz_by_belarus

Присоединиться

Мы подготовили для вас ответ c подробным объяснением домашего задания по алгебре за 9 класс, для упражнения номер 3.168 расположенного на странице 193 к учебнику 2019 года издания для учащихся школ и гимназий.

Теперь на нашем сайте ГДЗ.ТОП вы всегда легко и бесплатно найдёте условие с правильным ответом на вопрос «Как решить ДЗ» и «Как сделать» задание по алгебре к упражнению №3.168 (с. 193), авторов: Арефьева (Ирина Глебовна), Пирютко (Ольга Николаевна), учебного пособия издательства Народная асвета.