Номер 3.205, страница 198 - гдз по алгебре 9 класс учебник Арефьева, Пирютко

Алгебра, 9 класс Учебник, авторы: Арефьева Ирина Глебовна, Пирютко Ольга Николаевна, издательство Народная асвета, Минск, 2019, голубого цвета

Авторы: Арефьева И. Г., Пирютко О. Н.

Тип: Учебник

Издательство: Народная асвета

Год издания: 2019 - 2026

Цвет обложки: голубой, синий с графиком

ISBN: 978-985-03-3077-2

Допущено Министерством образования Республики Беларусь

Популярные ГДЗ в 9 классе

Глава 3. Дробно-рациональные уравнения и неравенства. Параграф 13. Дробно-рациональные неравенства. Метод интервалов для решения рациональных неравенств - номер 3.205, страница 198.

№3.205 (с. 198)
Условие. №3.205 (с. 198)
скриншот условия
Алгебра, 9 класс Учебник, авторы: Арефьева Ирина Глебовна, Пирютко Ольга Николаевна, издательство Народная асвета, Минск, 2019, голубого цвета, страница 198, номер 3.205, Условие

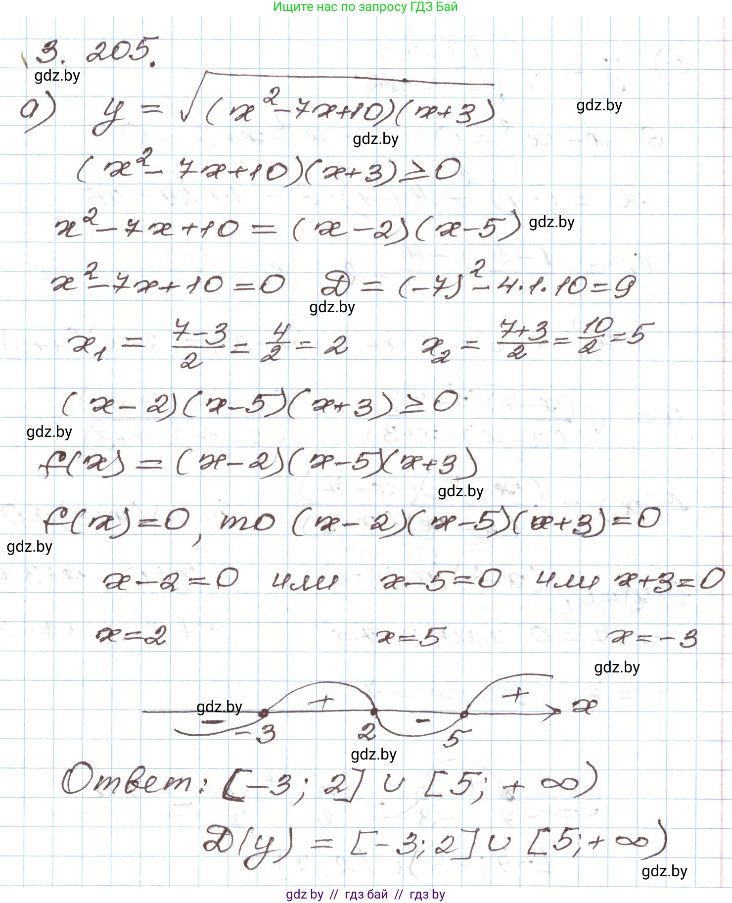
3.205. Найдите область определения функции:

а) $y=\sqrt{(x^2-7x+10)(x+3)};$

б) $y=\sqrt{\frac{x^2-49}{6-x-x^2}}.$

Решение. №3.205 (с. 198)
Алгебра, 9 класс Учебник, авторы: Арефьева Ирина Глебовна, Пирютко Ольга Николаевна, издательство Народная асвета, Минск, 2019, голубого цвета, страница 198, номер 3.205, Решение Алгебра, 9 класс Учебник, авторы: Арефьева Ирина Глебовна, Пирютко Ольга Николаевна, издательство Народная асвета, Минск, 2019, голубого цвета, страница 198, номер 3.205, Решение (продолжение 2)
Решение 2. №3.205 (с. 198)

a) Область определения функции $y = \sqrt{(x^2 - 7x + 10)(x + 3)}$ задается условием, что выражение под знаком квадратного корня должно быть неотрицательным:

$(x^2 - 7x + 10)(x + 3) \ge 0$

Сначала разложим на множители квадратный трехчлен $x^2 - 7x + 10$. Для этого найдем его корни, решив квадратное уравнение:

$x^2 - 7x + 10 = 0$

Используя теорему Виета, находим корни: сумма корней равна 7, а их произведение равно 10. Следовательно, корнями являются $x_1 = 2$ и $x_2 = 5$.

Таким образом, разложение на множители имеет вид: $x^2 - 7x + 10 = (x - 2)(x - 5)$.

Теперь исходное неравенство можно переписать так:

$(x + 3)(x - 2)(x - 5) \ge 0$

Для решения этого неравенства воспользуемся методом интервалов. На числовой оси отметим точки, в которых выражение обращается в ноль: $x = -3$, $x = 2$, $x = 5$. Эти точки разбивают числовую прямую на четыре интервала.

Определим знак выражения на каждом из интервалов:

  • При $x > 5$ (например, при $x=6$): $(6+3)(6-2)(6-5) > 0$. Знак «+».
  • При $2 < x < 5$ (например, при $x=3$): $(3+3)(3-2)(3-5) < 0$. Знак «-».
  • При $-3 < x < 2$ (например, при $x=0$): $(0+3)(0-2)(0-5) > 0$. Знак «+».
  • При $x < -3$ (например, при $x=-4$): $(-4+3)(-4-2)(-4-5) < 0$. Знак «-».

Поскольку неравенство нестрогое ($\ge 0$), нас интересуют интервалы со знаком «+», а также точки, в которых выражение равно нулю. Таким образом, решением является объединение промежутков.

Ответ: $x \in [-3, 2] \cup [5, +\infty)$.

б) Область определения функции $y = \sqrt{\frac{x^2 - 49}{6 - x - x^2}}$ находится из условия, что подкоренное выражение должно быть неотрицательным, а знаменатель дроби не должен быть равен нулю.

$\begin{cases} \frac{x^2 - 49}{6 - x - x^2} \ge 0 \\ 6 - x - x^2 \neq 0 \end{cases}$

Эти два условия можно объединить в одно неравенство, которое мы решим методом интервалов.

Разложим числитель и знаменатель на множители.

Числитель: $x^2 - 49 = (x - 7)(x + 7)$. Корни числителя: $x = -7$, $x = 7$.

Знаменатель: $6 - x - x^2$. Найдем корни уравнения $6 - x - x^2 = 0$. Умножим обе части на -1:

$x^2 + x - 6 = 0$

По теореме Виета, сумма корней равна -1, а произведение равно -6. Корнями являются $x_1 = 2$ и $x_2 = -3$.

Следовательно, знаменатель можно разложить как $-(x - 2)(x + 3)$.

Неравенство принимает вид:

$\frac{(x - 7)(x + 7)}{-(x - 2)(x + 3)} \ge 0$

Домножим обе части неравенства на -1, при этом знак неравенства изменится на противоположный:

$\frac{(x - 7)(x + 7)}{(x - 2)(x + 3)} \le 0$

Решим полученное неравенство методом интервалов. На числовой оси отметим корни числителя ($x=-7$, $x=7$) и корни знаменателя ($x=-3$, $x=2$). Корни знаменателя будут выколотыми точками, так как знаменатель не может быть равен нулю, а корни числителя — закрашенными, так как неравенство нестрогое.

Определим знак дроби на каждом интервале:

  • При $x > 7$ (например, при $x=8$): $\frac{(+)(+)}{(+)(+)} > 0$. Знак «+».
  • При $2 < x < 7$ (например, при $x=3$): $\frac{(-)(+)}{(+)(+)} < 0$. Знак «-».
  • При $-3 < x < 2$ (например, при $x=0$): $\frac{(-)(+)}{(-)(+)} > 0$. Знак «+».
  • При $-7 < x < -3$ (например, при $x=-4$): $\frac{(-)(+)}{(-)(-)} < 0$. Знак «-».
  • При $x < -7$ (например, при $x=-8$): $\frac{(-)(-)}{(-)(-)} > 0$. Знак «+».

Нас интересуют интервалы со знаком «-», а также точки, где числитель равен нулю. Объединяя полученные промежутки, получаем решение.

Ответ: $x \in [-7, -3) \cup (2, 7]$.

Помогло решение? Оставьте отзыв в комментариях ниже.

Присоединяйтесь к Телеграм-группе @gdz_by_belarus

Присоединиться

Мы подготовили для вас ответ c подробным объяснением домашего задания по алгебре за 9 класс, для упражнения номер 3.205 расположенного на странице 198 к учебнику 2019 года издания для учащихся школ и гимназий.

Теперь на нашем сайте ГДЗ.ТОП вы всегда легко и бесплатно найдёте условие с правильным ответом на вопрос «Как решить ДЗ» и «Как сделать» задание по алгебре к упражнению №3.205 (с. 198), авторов: Арефьева (Ирина Глебовна), Пирютко (Ольга Николаевна), учебного пособия издательства Народная асвета.