Номер 3.207, страница 198 - гдз по алгебре 9 класс учебник Арефьева, Пирютко

Алгебра, 9 класс Учебник, авторы: Арефьева Ирина Глебовна, Пирютко Ольга Николаевна, издательство Народная асвета, Минск, 2019, голубого цвета

Авторы: Арефьева И. Г., Пирютко О. Н.

Тип: Учебник

Издательство: Народная асвета

Год издания: 2019 - 2026

Цвет обложки: голубой, синий с графиком

ISBN: 978-985-03-3077-2

Допущено Министерством образования Республики Беларусь

Глава 3. Дробно-рациональные уравнения и неравенства. Параграф 13. Дробно-рациональные неравенства. Метод интервалов для решения рациональных неравенств - номер 3.207, страница 198.

№3.207 (с. 198)
Условие. №3.207 (с. 198)
скриншот условия
Алгебра, 9 класс Учебник, авторы: Арефьева Ирина Глебовна, Пирютко Ольга Николаевна, издательство Народная асвета, Минск, 2019, голубого цвета, страница 198, номер 3.207, Условие

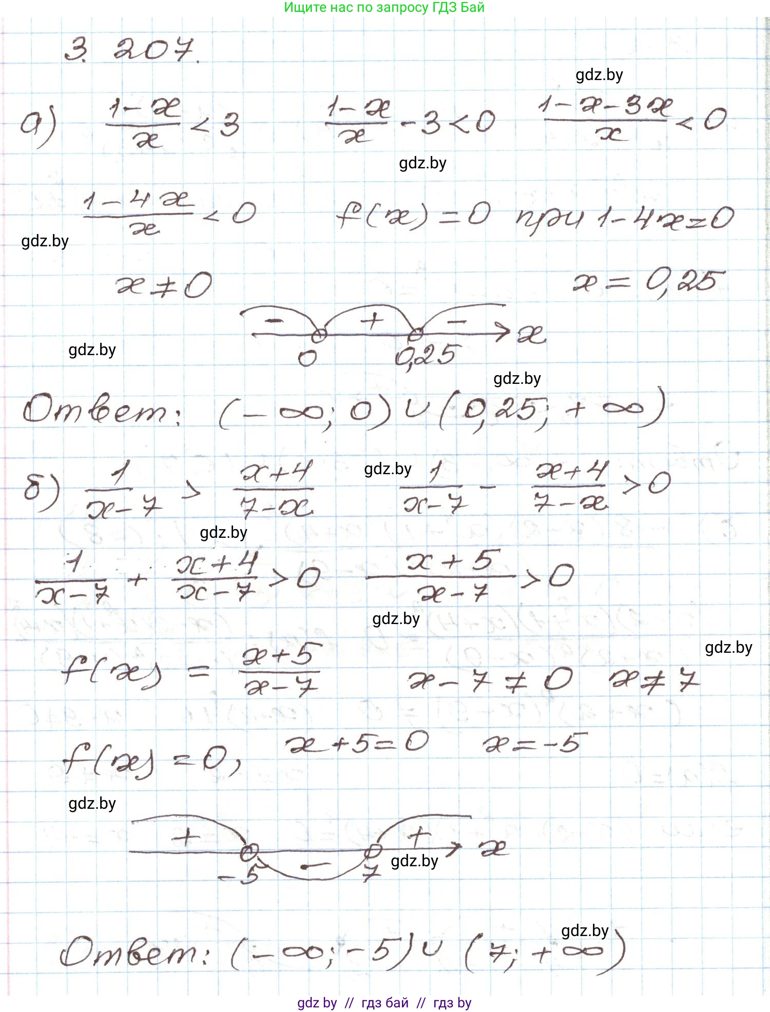
3.207. Решите неравенство:

а) $ \frac{1-x}{x} < 3; $

б) $ \frac{1}{x-7} > \frac{x+4}{7-x}; $

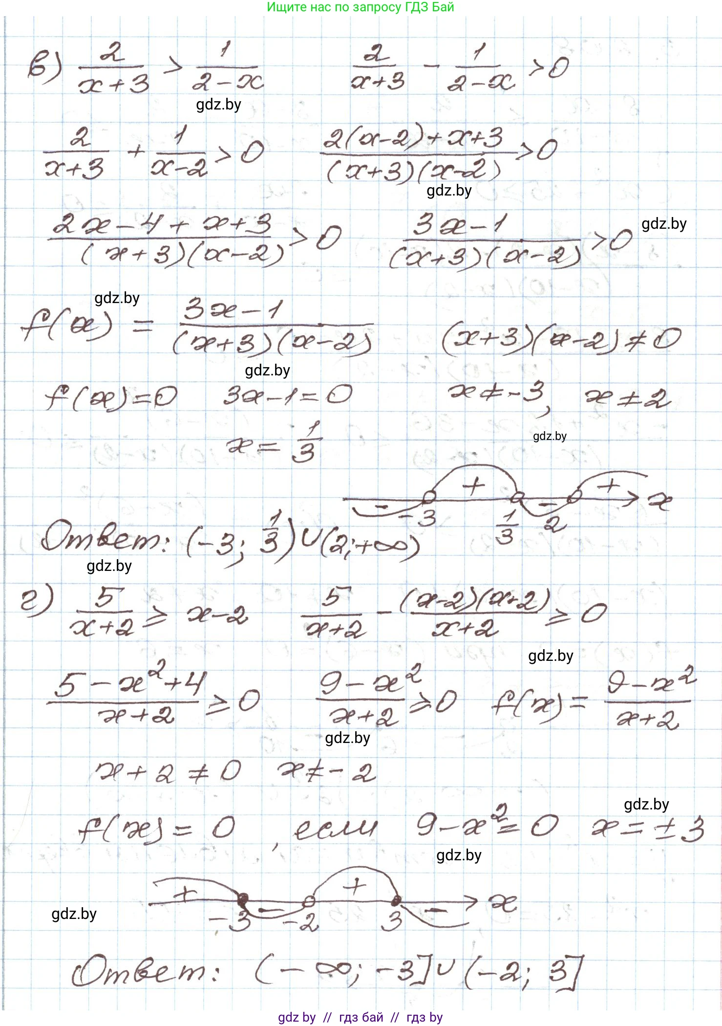
В) $ \frac{2}{x+3} > \frac{1}{2-x}; $

Г) $ \frac{5}{x+2} \ge x-2. $

Решение. №3.207 (с. 198)
Алгебра, 9 класс Учебник, авторы: Арефьева Ирина Глебовна, Пирютко Ольга Николаевна, издательство Народная асвета, Минск, 2019, голубого цвета, страница 198, номер 3.207, Решение Алгебра, 9 класс Учебник, авторы: Арефьева Ирина Глебовна, Пирютко Ольга Николаевна, издательство Народная асвета, Минск, 2019, голубого цвета, страница 198, номер 3.207, Решение (продолжение 2)
Решение 2. №3.207 (с. 198)

а) Решим неравенство $\frac{1-x}{x} < 3$.

1. Перенесем все члены неравенства в левую часть:

$\frac{1-x}{x} - 3 < 0$

2. Приведем левую часть к общему знаменателю:

$\frac{1-x - 3x}{x} < 0$

$\frac{1-4x}{x} < 0$

3. Решим полученное неравенство методом интервалов. Для этого найдем корни числителя и знаменателя.

  • Корень числителя: $1-4x=0 \implies 4x=1 \implies x=\frac{1}{4}$
  • Корень знаменателя: $x=0$

4. Отметим точки $0$ и $\frac{1}{4}$ на числовой оси. Так как неравенство строгое, точки будут выколотыми. Эти точки разбивают ось на три интервала: $(-\infty, 0)$, $(0, \frac{1}{4})$ и $(\frac{1}{4}, \infty)$.

5. Определим знак выражения $\frac{1-4x}{x}$ в каждом интервале:

  • При $x \in (-\infty, 0)$ (например, $x=-1$): $\frac{1-4(-1)}{-1} = -5 < 0$. Интервал подходит.
  • При $x \in (0, \frac{1}{4})$ (например, $x=0.1$): $\frac{1-4(0.1)}{0.1} = 6 > 0$. Интервал не подходит.
  • При $x \in (\frac{1}{4}, \infty)$ (например, $x=1$): $\frac{1-4(1)}{1} = -3 < 0$. Интервал подходит.

Объединяя интервалы, где выражение отрицательно, получаем решение.

Ответ: $x \in (-\infty, 0) \cup (\frac{1}{4}, \infty)$.


б) Решим неравенство $\frac{1}{x-7} > \frac{x+4}{7-x}$.

1. Заметим, что знаменатель второй дроби $7-x = -(x-7)$. Перепишем неравенство:

$\frac{1}{x-7} > \frac{x+4}{-(x-7)}$

$\frac{1}{x-7} > -\frac{x+4}{x-7}$

2. Перенесем все члены в левую часть:

$\frac{1}{x-7} + \frac{x+4}{x-7} > 0$

3. Сложим дроби с одинаковым знаменателем:

$\frac{1+x+4}{x-7} > 0$

$\frac{x+5}{x-7} > 0$

4. Решим неравенство методом интервалов. Корни числителя и знаменателя:

  • Корень числителя: $x+5=0 \implies x=-5$
  • Корень знаменателя: $x-7=0 \implies x=7$

5. Отметим выколотые точки $-5$ и $7$ на числовой оси. Они разбивают ось на интервалы: $(-\infty, -5)$, $(-5, 7)$ и $(7, \infty)$.

6. Определим знак выражения $\frac{x+5}{x-7}$ в каждом интервале:

  • При $x \in (-\infty, -5)$ (например, $x=-6$): $\frac{-6+5}{-6-7} = \frac{-1}{-13} > 0$. Интервал подходит.
  • При $x \in (-5, 7)$ (например, $x=0$): $\frac{0+5}{0-7} < 0$. Интервал не подходит.
  • При $x \in (7, \infty)$ (например, $x=8$): $\frac{8+5}{8-7} = 13 > 0$. Интервал подходит.

Ответ: $x \in (-\infty, -5) \cup (7, \infty)$.


в) Решим неравенство $\frac{2}{x+3} > \frac{1}{2-x}$.

1. Перенесем все члены в левую часть:

$\frac{2}{x+3} - \frac{1}{2-x} > 0$

2. Приведем дроби к общему знаменателю $(x+3)(2-x)$:

$\frac{2(2-x) - 1(x+3)}{(x+3)(2-x)} > 0$

3. Упростим числитель:

$\frac{4-2x-x-3}{(x+3)(2-x)} > 0$

$\frac{1-3x}{(x+3)(2-x)} > 0$

4. Решим методом интервалов. Корни числителя и знаменателя:

  • Корень числителя: $1-3x=0 \implies x=\frac{1}{3}$
  • Корни знаменателя: $x+3=0 \implies x=-3$ и $2-x=0 \implies x=2$

5. Отметим выколотые точки $-3$, $\frac{1}{3}$ и $2$ на числовой оси. Они разбивают ось на интервалы: $(-\infty, -3)$, $(-3, \frac{1}{3})$, $(\frac{1}{3}, 2)$ и $(2, \infty)$.

6. Определим знак выражения $\frac{1-3x}{(x+3)(2-x)}$ в каждом интервале:

  • При $x \in (-\infty, -3)$ (например, $x=-4$): $\frac{1-3(-4)}{(-4+3)(2-(-4))} = \frac{13}{(-1)(6)} < 0$. Не подходит.
  • При $x \in (-3, \frac{1}{3})$ (например, $x=0$): $\frac{1}{(3)(2)} > 0$. Подходит.
  • При $x \in (\frac{1}{3}, 2)$ (например, $x=1$): $\frac{1-3}{(1+3)(2-1)} = \frac{-2}{4} < 0$. Не подходит.
  • При $x \in (2, \infty)$ (например, $x=3$): $\frac{1-9}{(3+3)(2-3)} = \frac{-8}{-6} > 0$. Подходит.

Ответ: $x \in (-3, \frac{1}{3}) \cup (2, \infty)$.


г) Решим неравенство $\frac{5}{x+2} \ge x-2$.

1. Перенесем все члены в левую часть:

$\frac{5}{x+2} - (x-2) \ge 0$

2. Приведем к общему знаменателю:

$\frac{5 - (x-2)(x+2)}{x+2} \ge 0$

3. Упростим числитель, используя формулу разности квадратов:

$\frac{5 - (x^2-4)}{x+2} \ge 0$

$\frac{5 - x^2 + 4}{x+2} \ge 0$

$\frac{9 - x^2}{x+2} \ge 0$

$\frac{(3-x)(3+x)}{x+2} \ge 0$

4. Решим методом интервалов. Корни числителя и знаменателя:

  • Корни числителя: $3-x=0 \implies x=3$ и $3+x=0 \implies x=-3$. Так как неравенство нестрогое, эти точки включаются в решение.
  • Корень знаменателя: $x+2=0 \implies x=-2$. Эта точка исключается из решения.

5. Отметим точки на числовой оси: $-3$ (закрашенная), $-2$ (выколотая), $3$ (закрашенная). Они разбивают ось на интервалы: $(-\infty, -3]$, $[-3, -2)$, $(-2, 3]$ и $[3, \infty)$.

6. Определим знак выражения $\frac{(3-x)(3+x)}{x+2}$ в каждом интервале:

  • При $x \in (-\infty, -3]$ (например, $x=-4$): $\frac{(3-(-4))(3-4)}{-4+2} = \frac{7(-1)}{-2} > 0$. Подходит.
  • При $x \in (-3, -2)$ (например, $x=-2.5$): $\frac{(3-(-2.5))(3-2.5)}{-2.5+2} < 0$. Не подходит.
  • При $x \in (-2, 3]$ (например, $x=0$): $\frac{(3)(3)}{2} > 0$. Подходит.
  • При $x \in (3, \infty)$ (например, $x=4$): $\frac{(3-4)(3+4)}{4+2} = \frac{(-1)(7)}{6} < 0$. Не подходит.

Ответ: $x \in (-\infty, -3] \cup (-2, 3]$.

Помогло решение? Оставьте отзыв в комментариях ниже.

Присоединяйтесь к Телеграм-группе @gdz_by_belarus

Присоединиться

Мы подготовили для вас ответ c подробным объяснением домашего задания по алгебре за 9 класс, для упражнения номер 3.207 расположенного на странице 198 к учебнику 2019 года издания для учащихся школ и гимназий.

Теперь на нашем сайте ГДЗ.ТОП вы всегда легко и бесплатно найдёте условие с правильным ответом на вопрос «Как решить ДЗ» и «Как сделать» задание по алгебре к упражнению №3.207 (с. 198), авторов: Арефьева (Ирина Глебовна), Пирютко (Ольга Николаевна), учебного пособия издательства Народная асвета.