Номер 3.214, страница 199 - гдз по алгебре 9 класс учебник Арефьева, Пирютко

Алгебра, 9 класс Учебник, авторы: Арефьева Ирина Глебовна, Пирютко Ольга Николаевна, издательство Народная асвета, Минск, 2019, голубого цвета

Авторы: Арефьева И. Г., Пирютко О. Н.

Тип: Учебник

Издательство: Народная асвета

Год издания: 2019 - 2026

Цвет обложки: голубой, синий с графиком

ISBN: 978-985-03-3077-2

Допущено Министерством образования Республики Беларусь

Популярные ГДЗ в 9 классе

Глава 3. Дробно-рациональные уравнения и неравенства. Параграф 13. Дробно-рациональные неравенства. Метод интервалов для решения рациональных неравенств - номер 3.214, страница 199.

№3.214 (с. 199)
Условие. №3.214 (с. 199)
скриншот условия
Алгебра, 9 класс Учебник, авторы: Арефьева Ирина Глебовна, Пирютко Ольга Николаевна, издательство Народная асвета, Минск, 2019, голубого цвета, страница 199, номер 3.214, Условие

$x + 4 < 6 - x$

3.214*

Найдите сумму натуральных решений неравенства

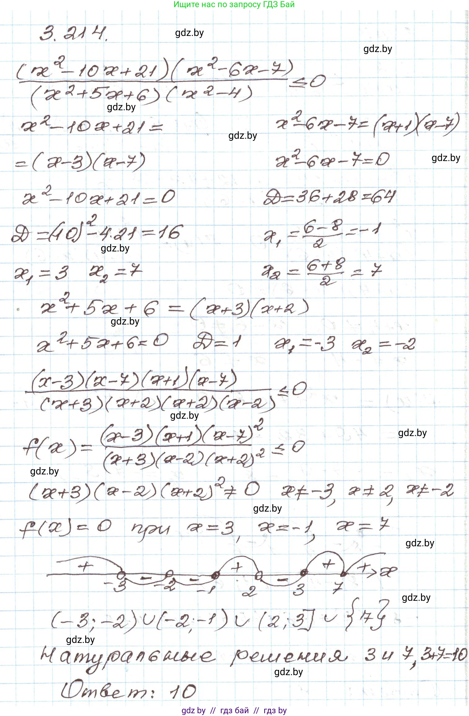
$\frac{(x^2 - 10x + 21)(x^2 - 6x - 7)}{(x^2 + 5x + 6)(x^2 - 4)} \le 0.$

Решение. №3.214 (с. 199)
Алгебра, 9 класс Учебник, авторы: Арефьева Ирина Глебовна, Пирютко Ольга Николаевна, издательство Народная асвета, Минск, 2019, голубого цвета, страница 199, номер 3.214, Решение
Решение 2. №3.214 (с. 199)

Для решения данного дробно-рационального неравенства необходимо разложить на множители квадратные трехчлены в числителе и знаменателе, а затем применить метод интервалов.

1. Факторизация многочленов

Разложим каждый многочлен на линейные множители, найдя его корни:

  • $x^2 - 10x + 21 = 0$. По теореме Виета, корни $x_1=3, x_2=7$. Следовательно, $x^2 - 10x + 21 = (x-3)(x-7)$.
  • $x^2 - 6x - 7 = 0$. По теореме Виета, корни $x_1=-1, x_2=7$. Следовательно, $x^2 - 6x - 7 = (x+1)(x-7)$.
  • $x^2 + 5x + 6 = 0$. По теореме Виета, корни $x_1=-2, x_2=-3$. Следовательно, $x^2 + 5x + 6 = (x+2)(x+3)$.
  • $x^2 - 4$ разложим по формуле разности квадратов: $x^2 - 4 = (x-2)(x+2)$.

2. Преобразование неравенства

Подставим полученные разложения в исходное неравенство:

$$ \frac{(x-3)(x-7)(x+1)(x-7)}{(x+2)(x+3)(x-2)(x+2)} \le 0 $$

Сгруппируем одинаковые множители, чтобы учесть их кратность:

$$ \frac{(x+1)(x-3)(x-7)^2}{(x+3)(x-2)(x+2)^2} \le 0 $$

3. Решение методом интервалов

Найдем точки, в которых числитель или знаменатель обращаются в ноль (критические точки):

  • Нули числителя (точки, где выражение равно 0): $x = -1, x = 3, x = 7$. Так как неравенство нестрогое ($\le$), эти точки являются частью решения.
  • Нули знаменателя (точки, где выражение не определено): $x = -3, x = -2, x = 2$. Эти точки должны быть исключены из решения (выколотые точки).

Отметим все точки на числовой оси и определим знаки выражения на получившихся интервалах. Важно учесть, что множители $(x-7)^2$ и $(x+2)^2$ всегда неотрицательны, поэтому при переходе через точки $x=7$ и $x=-2$ знак дроби не меняется.

Проанализировав знаки на интервалах, находим, что выражение отрицательно или равно нулю при следующих значениях $x$:

$$ x \in (-3, -2) \cup (-2, -1] \cup (2, 3] \cup \{7\} $$

4. Нахождение суммы натуральных решений

Натуральные числа — это целые положительные числа ($1, 2, 3, \ldots$). Выберем натуральные числа из полученного множества решений:

  • Из промежутка $(2, 3]$ натуральным решением является число $3$.
  • Изолированная точка $\{7\}$ также является натуральным решением.

Таким образом, натуральные решения данного неравенства — это числа 3 и 7.

Сумма этих решений составляет: $3 + 7 = 10$.

Сумма натуральных решений неравенства: Ответ: 10

Помогло решение? Оставьте отзыв в комментариях ниже.

Присоединяйтесь к Телеграм-группе @gdz_by_belarus

Присоединиться

Мы подготовили для вас ответ c подробным объяснением домашего задания по алгебре за 9 класс, для упражнения номер 3.214 расположенного на странице 199 к учебнику 2019 года издания для учащихся школ и гимназий.

Теперь на нашем сайте ГДЗ.ТОП вы всегда легко и бесплатно найдёте условие с правильным ответом на вопрос «Как решить ДЗ» и «Как сделать» задание по алгебре к упражнению №3.214 (с. 199), авторов: Арефьева (Ирина Глебовна), Пирютко (Ольга Николаевна), учебного пособия издательства Народная асвета.